Influence of Thermal Phenomena on the Characteristics of Selected Electronics Networks
Abstract
1. Introduction
2. Compact Electrothermal Models of Semiconductor Devices
- (a)
- the relationship between currents and voltages of the modeled device, in which the internal temperature of this device is present;
- (b)
- the dependence of the power dissipated in a semiconductor device on their terminal voltages and currents;
- (c)
- the dependence of the device internal temperature on the power dissipated in it.
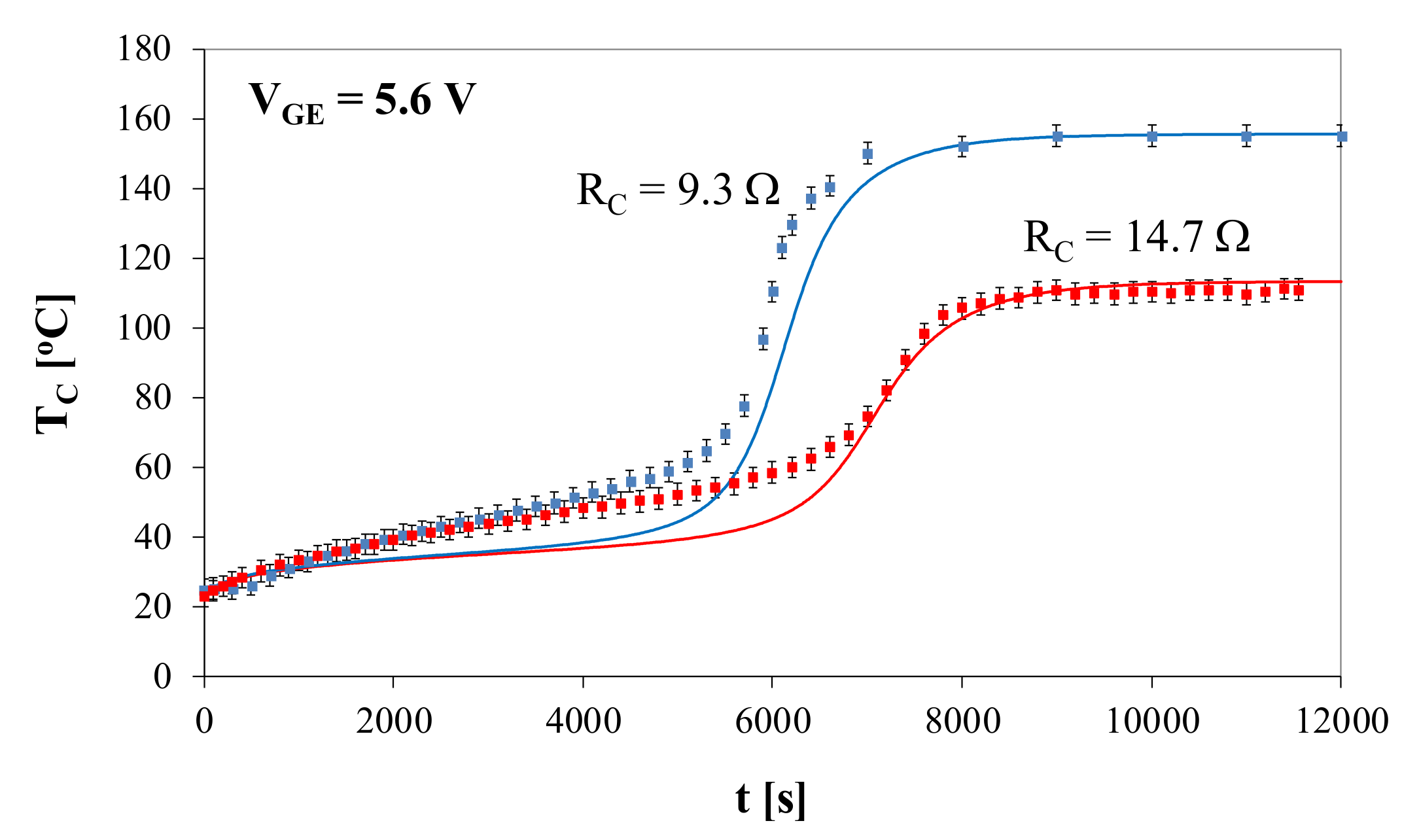
3. Non-Isothermal Characteristics of Selected Transistors
4. Non-Isothermal Characteristics of Electronics Networks
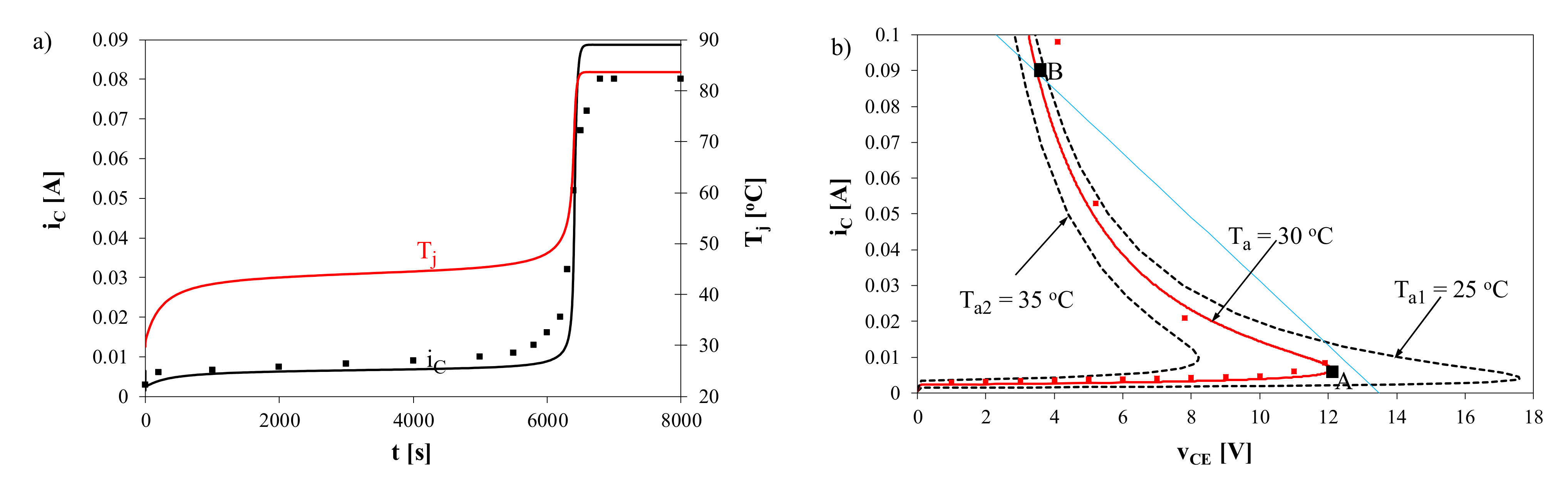
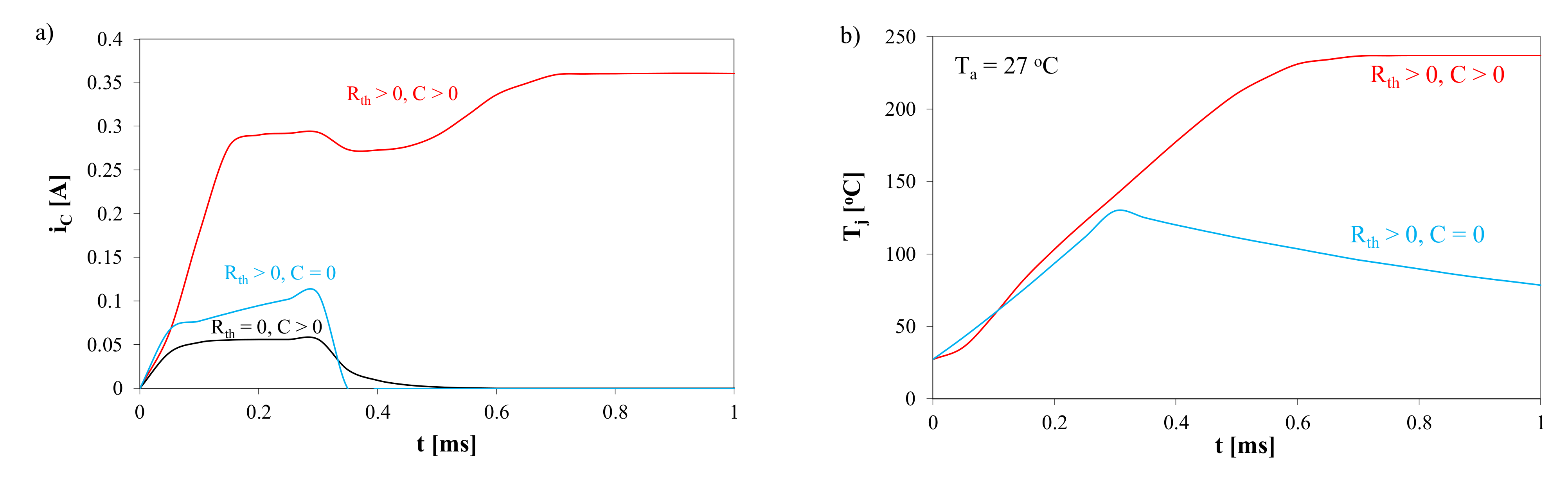
4.1. Transistor Switch
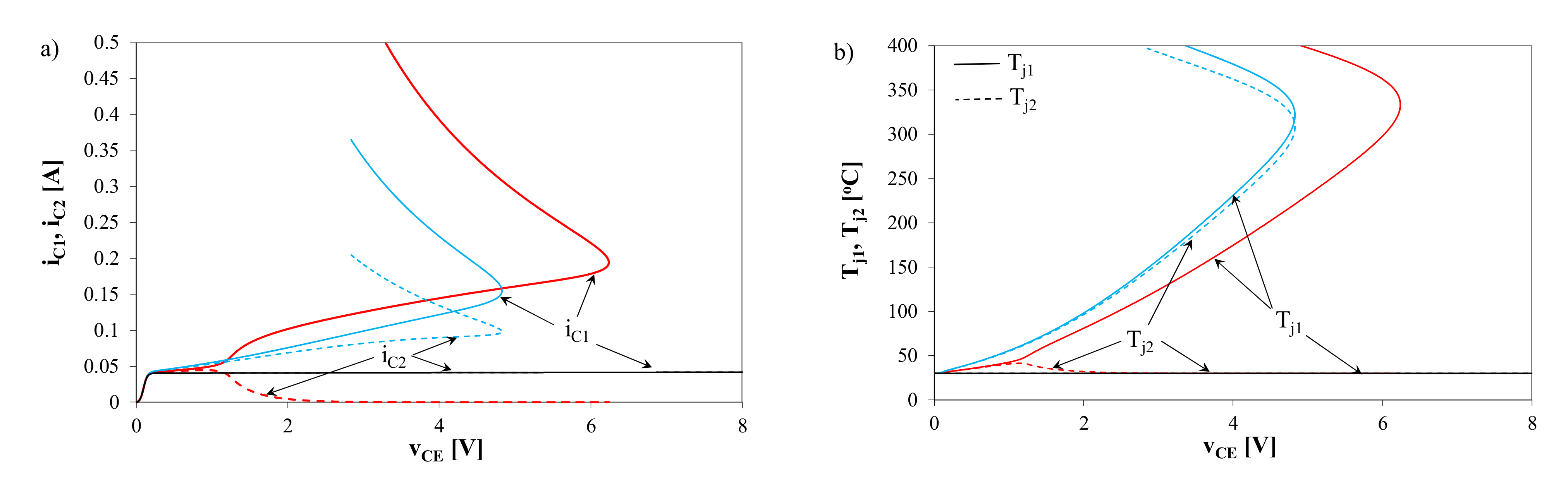
4.2. Two Parallelly Connected BJTs
- (a)
- both the transistors are perfectly cooled and thermal resistance of each is zero (black lines),
- (b)
- the transistors are not thermally coupled, and their self thermal resistances are Rth1 = 250 K/W for transistor T1 and Rth2 = 240 K/W for transistor T2 (red lines),
- (c)
- the transistors are thermally coupled, their self thermal resistances are Rth1 = 250 K/W and Rth2 = 240 K/W, respectively, and the transfer thermal resistance between them is Rth12 = 220 K/W (blue lines).
4.3. Differential Amplifier
5. Conclusions
Author Contributions
Funding
Institutional Review Board Statement
Informed Consent Statement
Data Availability Statement
Conflicts of Interest
References
- Rashid, M.H. Power Electronic Handbook; Butterworth-Heinemann: Oxford, UK, 2007. [Google Scholar]
- Perret, R. Power Electronics Semiconductor Devices; John Wiley & Sons: Hoboken, NJ, USA, 2009. [Google Scholar]
- Tietze, U.; Schenk, C.; Gamm, E. Electronic Circuits, Handbook for Design and Application; Springer: Heidelberg, Germany, 2008. [Google Scholar]
- Lasance, C.J.M.; Poppe, A. Thermal Management for LED Applications; Springer Science + Business Media: New York, NY, USA, 2014. [Google Scholar]
- Castellazzi, A.; Gerstenmaier, Y.C.; Kraus, R.; Wachutka, G.K.M. Reliability analysis and modeling of power MOSFETs in the 42-V-PowerNet. IEEE Trans. Power Electron. 2006, 21, 603–612. [Google Scholar] [CrossRef]
- D’alessandro, V.; Catalano, A.P.; Scognamillo, C.; Codecasa, L.; Zampardi, P.J. Analysis of electrothermal effects in devices and arrays in InGaP/GaAs HBT technology. Electronics 2021, 10, 757. [Google Scholar] [CrossRef]
- Mawby, P.A.; Igic, P.M.; Towers, M.S. Physically based compact device models for circuit modelling applications. Microelectron. J. 2001, 32, 433–447. [Google Scholar] [CrossRef]
- Sharmaand, D.K.; Ramanathan, K.V. Modeling Thermal Effects on MOS I-V Characteristics. IEEE Electron Devices Lett. 1983, 4, 362–364. [Google Scholar] [CrossRef]
- Wachutka, G.K. Rigorous thermodynamic treatment of heat generation and conduction in semiconductor device modeling. IEEE Trans. Comput. Aided Des. Integr. Circuits Syst. 1990, 9, 1141–1149. [Google Scholar] [CrossRef]
- Janke, W.; Hapka, A.; Oleksy, M. DC characteristics of the SiC Schottky diodes. Bull. Pol. Acad. Sci. Tech. Sci. 2011, 59, 183–188. [Google Scholar] [CrossRef][Green Version]
- Choi, S.; Shim, S.; Shin, Y. Electrothermal Analysis with Nonconvective Boundary Conditions. IEEE Trans. Circuits Syst. II Express Briefs 2018, 65, 1044–1048. [Google Scholar] [CrossRef]
- Codecasa, L.; D’Amore, D.; Maffezzoni, P. Compact modeling of electrical devices for electrothermal analysis. IEEE Trans. Circuits Syst. I Fundam. Theory Appl. 2003, 50, 465–476. [Google Scholar] [CrossRef]
- Harris, T.R.; Priyadarshi, S.; Melamed, S.; Ortega, C.; Manohar, R.; Dooley, S.R.; Kriplani, N.M.; Davis, W.R.; Franzon, P.D.; Steer, M.B. Transient Electrothermal Analysis of Three-Dimensional Integrated Circuits. IEEE Trans. Compon. Packag. Manuf. Technol. 2012, 2, 660–667. [Google Scholar] [CrossRef]
- Vermeersch, B.; de Mey, G. Device level electrothermal analysis of integrated resistors. In Proceedings of the 14th International Conference on Mixed Design of Integrated Circuits and Systems: MIXDES 2007, Ciechocinek, Poland, 21–23 June 2007; pp. 375–380. [Google Scholar]
- Storti-Gajani, G.; Brambilla, A.; Premoli, A. Electrothermal dynamics of circuits: Analysis and simulations. IEEE Trans. Circuits Syst. I Fundam. Theory Appl. 2001, 48, 997–1005. [Google Scholar] [CrossRef]
- Li, X.; Li, D.H.; Qi, F.; Packwood, M.; Luo, H.Z.; Wang, Y.G.; Dai, X.P.; Luo, H.H.; Liu, G.Y. EM-Electrothermal Analysis of Semiconductor Power Modules. IEEE Trans. Compon. Packag. Manuf. Technol. 2019, 9, 1495–1503. [Google Scholar] [CrossRef]
- Cheng, A.Q.; Chen, S.T.; Zeng, H.; Ding, D.Z.; Chen, R.S. Transient Analysis for Electrothermal Properties in Nanoscale Transistors. IEEE Trans. Electron Devices 2018, 65, 3930–3935. [Google Scholar] [CrossRef]
- Rashid, M. SPICE for Power Electronics and Electronic Power, 3rd ed.; Taylor and Francis Group: Oxfordshire, UK, 2016. [Google Scholar]
- Basso, C. Switch-Mode Power Supply SPICE Cookbook; McGraw-Hill: New York, NY, USA, 2001. [Google Scholar]
- Wilamowski, B.; Jager, R.C. Computerized Circuit Analysis Using SPICE Programs; McGraw-Hill: New York, NY, USA, 1997. [Google Scholar]
- Zarębski, J.; Górecki, K. SPICE-aided modelling of dc characteristics of power bipolar transistors with selfheating taken into account. Int. J. Numer. Model. Electron. Netw. Devices Fields 2009, 22, 422–433. [Google Scholar] [CrossRef]
- Górecki, P.; Górecki, K.; Zarębski, J. Accurate circuit-level modelling of IGBTs with thermal phenomena taken into account. Energies 2021, 14, 2372. [Google Scholar] [CrossRef]
- Starzak, Ł.; Zubert, M.; Janicki, M.; Torzewicz, T.; Napieralska, M.; Jabłoński, G.; Napieralski, A. Behavioral approach to SiC MPS diode electrothermal model generation. IEEE Trans. Electron Devices 2013, 60, 630–638. [Google Scholar] [CrossRef]
- Marcault, E.; Massol, J.L.; Tounsi, P.; Dorkel, J.M. Distributed electrothermal modelling methodology for MOS gated power devices simulations. In Proceedings of the 20th International Conference on Mixed Design of Integrated Circuits and Systems, MIXDES 2013, Gdynia, Poland, 20–22 June 2013; pp. 301–305. [Google Scholar]
- Wu, R.; Wang, H.; Pedersen, K.B.; Ma, K.; Ghimire, P.; Iannuzzo, F.; Blaabjerg, F. A Temperature-Dependent Thermal Model of IGBT Modules Suitable for Circuit-Level Simulations. IEEE Trans. Ind. Appl. 2016, 52, 3306–3314. [Google Scholar] [CrossRef]
- Codecasa, L.; d’Alessandro, V.; Magnani, A.; Irace, A. Circuit-based electrothermal simulation of power devices by an ultrafast nonlinear MOS approach. IEEE Trans. Power Electron. 2016, 31, 5906–5916. [Google Scholar] [CrossRef]
- Bagnoli, P.E.; Casarosa, C.; Ciampi, M.; Dallago, E. Thermal resistance analysis by induced transient (TRAIT) method for power electronic devices thermal characterization. IEEE Trans. Power Electron. I Fundam. Theory 1998, 13, 1208–1219. [Google Scholar] [CrossRef]
- Schweitzer, D.; Ender, F.; Hantos, G.; Szabo, P.G. Thermal transient characterization of semiconductor devices with multiple heat-sources—Fundamentals for a new thermal standard. Microelectron. J. 2015, 46, 174–182. [Google Scholar] [CrossRef]
- D’Alessandro, V.; Rinaldi, N. A critical review of thermal models for electro-thermal simulation. Solid State Electron. 2002, 46, 487–496. [Google Scholar] [CrossRef]
- Górecki, K.; Górecki, P. Modelling dynamic characteristics of the IGBT with thermal phenomena taken into account. Microelectron. Int. 2017, 34, 160–164. [Google Scholar] [CrossRef]
- Shahjalal, M.; Ahmed, M.R.; Lu, H.; Bailey, C.; Forsyth, A.J. An Analysis of the Thermal Interaction Between Components in Power Converter Applications. IEEE Trans. Power Electron. 2020, 35, 9082–9094. [Google Scholar] [CrossRef]
- Górecki, K. Modelling mutual thermal interactions between power LEDs in SPICE. Microelectron. Reliab. 2015, 55, 389–395. [Google Scholar] [CrossRef]
- Górecki, P.; Górecki, K. Measurements and computations of internal temperatures of the IGBT and the diode situated in the common case. Electronics 2021, 10, 210. [Google Scholar] [CrossRef]
- Yuan, W.B.; He, Y.G.; Li, B.; Zhou, J.B.; Ma, Z.Q.; Li, C.C. Improved Cauer thermal network considering thermal coupling effects of multi-chip modules. IET Power Electron. 2020, 13, 3706–3716. [Google Scholar] [CrossRef]
- Nemeth, K. On the Analysis of Nonlinear Resistive Networks Considering the Effect of Temperature. IEEE J. Solid State Circuits 1976, 11, 550–552. [Google Scholar] [CrossRef]
- Vogelsong, R.S.; Brzezinski, C. Simulation of Thermal Effects in Electrical Systems. In Proceedings of the Fourth Annual IEEE Applied Power Electronics Conference and Exposition, Baltimore, MD, USA, 13–17 March 1989; pp. 353–356. [Google Scholar]
- Bielefeld, J.; Pelz, G.; Abel, H.B.; Zimmer, G. Dynamic SPICE-Simulation of the Electrothermal Behavior of SOI MOSFET’s. IEEE Trans. Electron Devices 1995, 42, 1968–1974. [Google Scholar] [CrossRef]
- Riccio, M.; de Falco, G.; Mirone, P.; Maresca, L.; Tedesco, M.; Breglio, G.; Irace, A. Accurate SPICE Modeling of Reverse-Conducting IGBTs Including Self-Heating Effects. IEEE Trans. Power Electron. 2017, 32, 3088–3098. [Google Scholar] [CrossRef]
- D’Alessandro, V.; Catalano, A.P.; Codecasa, L.; Moser, B.; Zampardi, P.J. Modeling Thermal Coupling in Bipolar Power Amplifiers toward Dynamic Electrothermal Simulation. In Proceedings of the 2018 IEEE MTT-S International Conference on Numerical Electromagnetic and Multiphysics Modeling and Optimization (NEMO), Reykjavik, Iceland, 8–10 August 2018; pp. 1–4. [Google Scholar] [CrossRef]
- Zarębski, J.; Górecki, K. SPICE-Aided Modelling of the UC3842 Current Mode PWM Controller with Selfheating Taken into Account. Microelectron. Reliab. 2007, 47, 1145–1152. [Google Scholar] [CrossRef]
- Szekely, V. A New Evaluation Method of Thermal Transient Measurement Results. Microelectron. J. 1997, 28, 277–292. [Google Scholar] [CrossRef]
- Infineon, Transient Thermal Measurements and Thermal Equivalent Circuit Models, AN 2015-10, v. 1.2. 2020. Available online: https://www.infineon.com/dgdl/Infineon-Thermal_equivalent_circuit_models-ApplicationNotes-v01_02-EN.pdf?fileId=db3a30431a5c32f2011aa65358394dd2 (accessed on 29 January 2021).
- Sofia, J.W. Analysis of thermal transient data with synthesized dynamic-models for semiconductor-devices. IEEE Trans. Compon. Packag. Manuf. Technol. Part A 1995, 18, 39–47. [Google Scholar] [CrossRef]
- Oettinger, F.F.; Blackburn, D.L.; Rubin, S. Thermal Characterization of Power Transistors. IEEE Trans. Electron Devices 1976, 23, 831–838. [Google Scholar] [CrossRef]
- Górecki, K.; Górecki, P. Nonlinear compact thermal model of the IGBT dedicated to SPICE. IEEE Trans. Power Electron. 2020, 35, 13420–13428. [Google Scholar] [CrossRef]
- Posobkiewicz, K.; Górecki, K. Influence of selected factors on thermal parameters of the components of forced cooling systems of electronic devices. Electronics 2021, 10, 340. [Google Scholar] [CrossRef]
- APPA TECHNOLOGY CORPORATION. Digital Multimeter APPA 207 Instruction Manual. 2000. Available online: http://www.appatech.com (accessed on 10 June 2021).
- Series 2600 A System SourceMeter® Instruments, Keithley. Available online: https://www.testequipmenthq.com/datasheets/KEITHLEY-2612A-Datasheet.pdf (accessed on 10 June 2021).
- 2N3055, MJ2955, Complementary Silicon Power Transistors, datasheet, On-Semiconductor. Available online: https://pdf1.alldatasheet.pl/datasheet-pdf/view/117133/ONSEMI/2N3055.html (accessed on 10 June 2021).
- IRG4PC40UD, Insulated Gate Bipolar Transistor with Ultrafast Soft Recovery Diode, Data Sheet, International Rectifier. Available online: http://www.irf.com/product-info/datasheets/data/irg4pc40ud.pdf (accessed on 10 June 2021).
- Hefner, A.R. Dynamic electro-thermal model for the IGBT. IEEE Trans. Ind. Appl. 1994, 30, 394–405. [Google Scholar] [CrossRef]
- Zarębski, J.; Górecki, K. The electrothermal large-signal model of power MOS transistors for SPICE. IEEE Trans. Power Electron 2010, 25, 1265–1274. [Google Scholar] [CrossRef]
- IGBT Module PSI 25/06 2002 Catalogue data Powersem (Schwabach). Available online: https://www.powersem.net/IGBT_Modules/Ecoline/PSHI%2025-06.pdf (accessed on 10 June 2021).
- Górecki, P.; Górecki, K. Modelling dc characteristics of the IGBT module with thermal phenomena taken into account. In Proceedings of the 13th IEEE International Conference on Compatibility, Power Electronics and Power Engineering IEEE CPE POWERENG 2019, Sonderborg, Denmark, 23–25 April 2019. [Google Scholar] [CrossRef]
- Optex PT-3S Manual. Available online: https://www.manualslib.com/manual/1396191/Optex-Pt-3s.html?page=2#manual, (accessed on 29 July 2021).


















Publisher’s Note: MDPI stays neutral with regard to jurisdictional claims in published maps and institutional affiliations. |
© 2021 by the authors. Licensee MDPI, Basel, Switzerland. This article is an open access article distributed under the terms and conditions of the Creative Commons Attribution (CC BY) license (https://creativecommons.org/licenses/by/4.0/).
Share and Cite
Górecki, K.; Zarębski, J.; Górecki, P. Influence of Thermal Phenomena on the Characteristics of Selected Electronics Networks. Energies 2021, 14, 4750. https://doi.org/10.3390/en14164750
Górecki K, Zarębski J, Górecki P. Influence of Thermal Phenomena on the Characteristics of Selected Electronics Networks. Energies. 2021; 14(16):4750. https://doi.org/10.3390/en14164750
Chicago/Turabian StyleGórecki, Krzysztof, Janusz Zarębski, and Paweł Górecki. 2021. "Influence of Thermal Phenomena on the Characteristics of Selected Electronics Networks" Energies 14, no. 16: 4750. https://doi.org/10.3390/en14164750
APA StyleGórecki, K., Zarębski, J., & Górecki, P. (2021). Influence of Thermal Phenomena on the Characteristics of Selected Electronics Networks. Energies, 14(16), 4750. https://doi.org/10.3390/en14164750

