Mapping of Meteorological Observations over the Island of Ireland to Enhance the Understanding and Prediction of Rain Erosion in Wind Turbine Blades
Abstract
:1. Introduction
2. Methodology
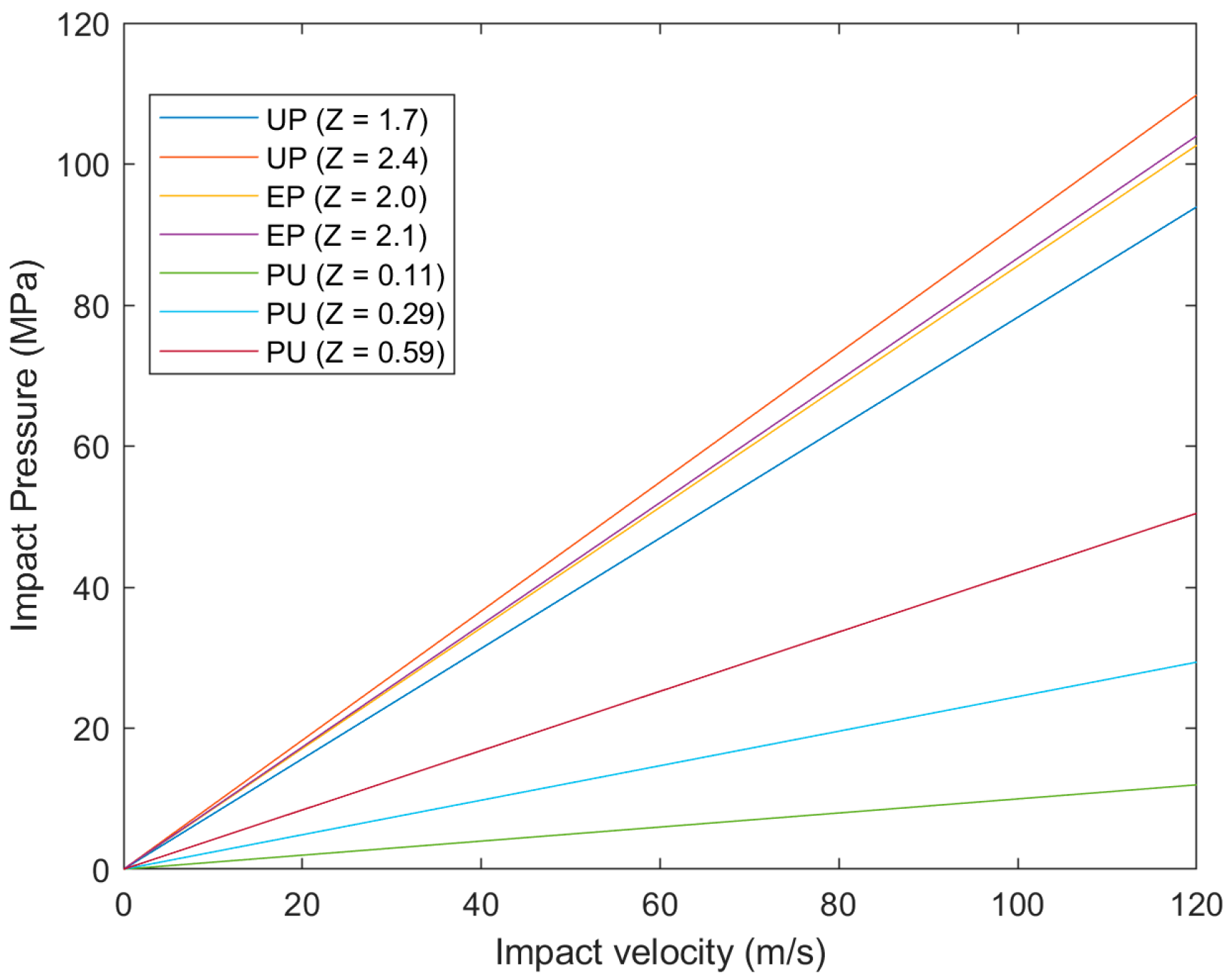
2.1. Rain Erosion Modelling
2.2. Rain Texture Model
2.3. Weather Station Data Analysis
2.4. Rainwater Composition
3. Results
3.1. Wind
3.1.1. Geographical Variation
3.1.2. Annual Variation
3.2. Temperature
3.2.1. Geographical Variation
3.2.2. Annual Variation
3.3. Humidity
3.3.1. Geographical Variation
3.3.2. Annual Variation
3.4. Composition
3.4.1. Acidity
3.4.2. Salinity
4. Discussion
4.1. Wind
4.2. Temperature
4.3. Humidity
4.4. Composition
4.5. Galway Wind Park
5. Conclusions
- Limited data time resolution likely led to over estimates in both rain kinetic energy and impact numbers, which in some cases could be 10 and 82% higher, respectively.
- The reduced number of stations reduced the accuracy of the models and monthly estimates. There was also a lack of weather station data from higher altitudes, which created bigger uncertainties for extrapolating the models.
- Data were measured at ground height or at 10m for wind speed. In future, it would be desirable to either use a conversion to estimate hub height parameters or to measure data at closer altitudes to hub height.
- The wind turbine RPM curve used was not necessarily applicable. As RPM curves are highly dependent on wind characteristics, this may cause more or less degradation than predicted here, producing uncertainty in the model.
- The limited number of chemical analysis stations meant that understanding geographical and annual variations proved difficult. More stations or the use of a chemical deposition model would have improved the understanding of rain composition and how this varies.
- Linear regression was likely unsuitable for modelling these impact condition parameters. In future, either nonlinear regression models or the use of RADAR or numerical weather prediction models to estimate erosion would provide a better understanding of impact conditions geospatially and annually.
Author Contributions
Funding
Institutional Review Board Statement
Informed Consent Statement
Data Availability Statement
Acknowledgments
Conflicts of Interest
Abbreviations
| RET | Rain Erosion Test |
| RH | Relative Humidity |
| EMEP | European Monitoring and Evaluation Programme |
| NI | Northern Ireland |
| ROI | Republic of Ireland |
| R | Coefficient of Determination |
| RPM | Revolutions per Minute |
| UP | Unsaturated Polyester |
| EP | Epoxy |
| PU | Polyurethane |
| A | Athenry |
| BA | Ballyhaise |
| BE | Belmullet |
| C | Casement |
| CL | Claremorris |
| CA | Cork Airport |
| DA | Dublin Airport |
| D | Dunsany |
| F | Finner |
| G | Gurteen |
| J | Johnstownii |
| KA | Knock Airport |
| MA | Mace Head |
| MH | Malin Head |
| MP | Moore Park |
| MD | Mt Dillon |
| MU | Mullingar |
| N | Newport |
| OP | Oak Park |
| R | Roches Point |
| SA | Shannon Airport |
| SI | Sherkin Island |
| V | Valentia |
| P | Impact Pressure (Pa) |
| Density of water (kgm) | |
| Density of the Target Material (kgm) | |
| Speed of Sound in water (ms) | |
| Speed of Sound in the Target Material (ms) | |
| V | Tip Speed/Impact Velocity (ms) |
| Acoustic Impedance (Pa s m) | |
| n | Number of impacts |
| Number of impacts at a given speed range, annually | |
| Number of impacts at rated speed, annually | |
| Number of impacts at rated speed, over a specified period | |
| Expected rain droplet density at a given rain intensity (Droplets m) | |
| I | Rain Intensity (mmhr) |
| Wind turbine Revolutions per Minute | |
| D | Wind Turbine Diameter (m) |
| v | Swept Volume (m) |
| A | Blade Tip Frontal area (m) |
| Kinetic Energy (J) | |
| T | Mean Temperature (°C) |
| H | Mean Relative Humidity (%) |
| X | Longitude (°E) |
| Y | Latitude (°N) |
| Z | Altitude (m) |
References
- Macdonald, H.; Infield, D.; Nash, D.H.; Stack, M.M. Mapping hail meteorological observations for prediction of erosion in wind turbines. Wind Energy 2016, 19, 777–784. [Google Scholar] [CrossRef] [Green Version]
- Macdonald, J.; Stack, M. Some thoughts on modelling hail impact on surfaces. J. Bio- Tribo-Corros. 2021, 7, 1–7. [Google Scholar] [CrossRef]
- Macdonald, H.; Nash, D.; Stack, M.M. Repeated impact of simulated hail ice on glass fibre composite materials. Wear 2019, 432, 102926. [Google Scholar] [CrossRef]
- Zidane, I.F.; Swadener, G.; Ma, X.; Shehadeh, M.F.; Salem, M.H.; Saqr, K.M. Performance of a wind turbine blade in sandstorms using a CFD-BEM based neural network. J. Renew. Sustain. Energy 2020, 12, 053310. [Google Scholar] [CrossRef]
- Godfrey, M.; Siederer, O.; Zekonyte, J.; Barbaros, I.; Wood, R. The effect of temperature on the erosion of polyurethane coatings for wind turbine leading edge protection. Wear 2021, 476, 203720. [Google Scholar] [CrossRef]
- Liu, G.; Cen, H.; Zeng, Q.; Tian, W.; Li, L. Erosion Mechanism and Simulation Analysis of Wind Turbine Blade Coating. In Proceedings of the 2019 4th International Conference on Mechanical, Control and Computer Engineering (ICMCCE), Hohhot, China, 24–26 October 2019; pp. 1036–10364. [Google Scholar]
- Keegan, M.H.; Nash, D.; Stack, M. Wind Turbine Blade Leading Edge Erosion: An Investigation of Rain Droplet and Hailstone Impact Induced Damage Mechanisms. Ph.D. Thesis, University of Strathclyde, Glasgow, UK, 2014. [Google Scholar]
- Fiore, G.; Selig, M.S. Simulation of damage for wind turbine blades due to airborne particles. Wind Eng. 2015, 39, 399–418. [Google Scholar] [CrossRef]
- Dalili, N.; Edrisy, A.; Carriveau, R. A review of surface engineering issues critical to wind turbine performance. Renew. Sustain. Energy Rev. 2009, 13, 428–438. [Google Scholar] [CrossRef]
- Kiely, G. Climate change in Ireland from precipitation and streamflow observations. Adv. Water Resour. 1999, 23, 141–151. [Google Scholar] [CrossRef]
- Wood, K. Blade Repair: Closing the Maintenance Gap. Compos. Technol. 2011, 9. Available online: https://www.compositesworld.com/articles/blade-repair-closing-the-maintenance-gap (accessed on 23 July 2021).
- Law, H.; Koutsos, V. Leading edge erosion of wind turbines: Effect of solid airborne particles and rain on operational wind farms. Wind Energy 2020, 23, 1955–1965. [Google Scholar] [CrossRef]
- Ashrafizadeh, H.; Mertiny, P.; McDonald, A. Evaluation of the effect of temperature on mechanical properties and wear resistance of polyurethane elastomers. Wear 2016, 368, 26–38. [Google Scholar] [CrossRef]
- Bartolomé, L.; Teuwen, J. Prospective challenges in the experimentation of the rain erosion on the leading edge of wind turbine blades. Wind Energy 2019, 22, 140–151. [Google Scholar] [CrossRef] [Green Version]
- Speight, J.G. Chapter 14—Monomers, Polymers, and Plastics. In Handbook of Industrial Hydrocarbon Processes, 2nd ed.; Gulf Professional Publishing: Houston, TX, USA, 2019. [Google Scholar]
- Padsalgikar, A. Plastics in Medical Devices for Cardiovascular Applications; William Andrew: Norwich, NY, USA, 2017. [Google Scholar]
- Prime, R.B. Dynamic Mechanical Analysis of Thermosetting Materials. 2005. Available online: https://ruc.udc.es/dspace/bitstream/handle/2183/11489/CC-80%20art%2013.pdf?sequence=1 (accessed on 23 July 2021).
- Storm, B.K. Surface protection and coatings for wind turbine rotor blades. In Advances in Wind Turbine Blade Design and Materials; Woodhead Publishing: Cambridge, UK, 2013; pp. 387–412. [Google Scholar]
- Pugh, K.; Nash, J.; Reaburn, G.; Stack, M. On analytical tools for assessing the raindrop erosion of wind turbine blades. Renew. Sustain. Energy Rev. 2020, 137, 110611. [Google Scholar] [CrossRef]
- Boubakri, A.; Elleuch, K.; Guermazi, N.; Ayedi, H. Investigations on hygrothermal aging of thermoplastic polyurethane material. Mater. Des. 2009, 30, 3958–3965. [Google Scholar] [CrossRef]
- Yang, X.F.; Li, J.; Croll, S.; Tallman, D.; Bierwagen, G. Degradation of low gloss polyurethane aircraft coatings under UV and prohesion alternating exposures. Polym. Degrad. Stab. 2003, 80, 51–58. [Google Scholar] [CrossRef]
- Frank, O. Material wear and erosion at the surface of plastics caused by weathering. Die Angew. Makromol. Chem. Appl. Macromol. Chem. Phys. 1990, 176, 43–53. [Google Scholar] [CrossRef]
- Alessi, S.; Pitarresi, G.; Spadaro, G. Effect of hydrothermal ageing on the thermal and delamination fracture behaviour of CFRP composites. Compos. Part B Eng. 2014, 67, 145–153. [Google Scholar] [CrossRef]
- Oğuz, Z.; Erkliğ, A.; Bozkurt, Ö. Effects of Hydrothermal Seawater Aging on the Mechanical Properties and Water Absorption of Glass/Aramid/Epoxy Hybrid Composites. Int. Polym. Process. 2021, 36, 79–93. [Google Scholar] [CrossRef]
- Pugh, K.; Rasool, G.; Stack, M.M. Some thoughts on mapping tribological issues of wind turbine blades due to effects of onshore and offshore raindrop erosion. J. Bio- Tribo-Corros. 2018, 4, 50. [Google Scholar] [CrossRef] [Green Version]
- Pugh, K.; Stack, M.M. Rain erosion maps for wind turbines based on geographical locations: A case study in Ireland and Britain. J. Bio-Tribo-Corros. 2021, 7, 34. [Google Scholar] [CrossRef]
- Rasool, G.; Middleton, A.C.; Stack, M.M. Mapping Raindrop Erosion of GFRP Composite Wind Turbine Blade Materials: Perspectives on Degradation Effects in Offshore and Acid Rain Environmental Conditions. J. Tribol. 2020, 142, 061701. [Google Scholar] [CrossRef]
- DNVGL. DNVGL-RP-0171: Testing of Rotor Blade Erosion Protection Systems. Recommended Practice 2018. Available online: https://rules.dnv.com/docs/pdf/DNV/RP/2018-02/DNVGL-RP-0171.pdf (accessed on 22 October 2018).
- Beltman, B.; Rouwenhorst, G.; Whilde, A.; Cate, M.T. Chemical composition of rain in western Ireland. Ir. Nat. J. 1993, 24, 267–274. [Google Scholar]
- O’Hogain, S.; Reid, A.; McCarton, L.; Pender, J.; McNtyre, N. Water Savings and Rainwater Harvesting–Pilot Project in Ireland. In Proceedings of the European Water and Wastewater Management (EWWM) Conference, Newcastle, UK, 12–14 September 2007; Technological University Dublin: Dublin, Ireland, 2007. [Google Scholar]
- Aherne, J.; Farrell, E. Deposition of sulphur, nitrogen and acidity in precipitation over Ireland: Chemistry, spatial distribution and long-term trends. Atmos. Environ. 2002, 36, 1379–1389. [Google Scholar] [CrossRef]
- Tsyro, S.; Aas, W.; Soares, J.; Sofiev, M.; Berge, H.; Spindler, G. Modelling of sea salt concentrations over Europe: Key uncertainties and comparison with observations. Atmos. Chem. Phys. 2011, 11, 10367–10388. [Google Scholar] [CrossRef] [Green Version]
- Simpson, D.; Benedictow, A.; Berge, H.; Bergström, R.; Emberson, L.D.; Fagerli, H.; Flechard, C.R.; Hayman, G.D.; Gauss, M.; Jonson, J.E.; et al. The EMEP MSC-W Chemical Transport Model-Technical Description 2012. Available online: https://doi.org/10.5194/acp-12-7825-2012 (accessed on 22 June 2020).
- Georgiou, S.; Gaussiat, N.; Lewis, H.; Georgiou, S. Dynamic modelling of the orographic enhancement of precipitation in the UK. In Proceedings of the 6th European Conference on Radar in Meteorology and Hydrology, Sibiu, Romania, 6–10 September 2010. [Google Scholar]
- Best, A. The size distribution of raindrops. Q. J. R. Meteorol. Soc. 1950, 76, 16–36. [Google Scholar] [CrossRef]
- Fairman, J.G., Jr.; Schultz, D.M.; Kirshbaum, D.J.; Gray, S.L.; Barrett, A.I. A radar-based rainfall climatology of Great Britain and Ireland. Weather 2015, 70, 153–158. [Google Scholar] [CrossRef] [Green Version]
- Fairman, J.G., Jr.; Schultz, D.M.; Kirshbaum, D.J.; Gray, S.L.; Barrett, A.I. Climatology of size, shape, and intensity of precipitation features over Great Britain and Ireland. J. Hydrometeorol. 2017, 18, 1595–1615. [Google Scholar] [CrossRef]
- Letson, F.; Barthelmie, R.J.; Pryor, S.C. RADAR-derived precipitation climatology for wind turbine blade leading edge erosion. Wind Energy Sci. 2020, 5, 331–347. [Google Scholar] [CrossRef] [Green Version]
- Tilg, A.M.; Hasager, C.B.; Kirtzel, H.J.; Hummelshøj, P. Brief communication: Nowcasting of precipitation for leading-edge-erosion-safe mode. Wind Energy Sci. 2020, 5, 977–981. [Google Scholar] [CrossRef]
- Copyright Met Éirann. Data Presented Here Has Been Modified, as Described in This Article. This Data is Published under a Creative Commons Attribution 4.0 International (CC BY 4.0). Met Éireann Does Not Accept Any Liability Whatsoever for Any Error or Omission in the Data, Their Availability, or for Any Loss or Damage Arising from Their Use. Available online: https://creativecommons.org/licenses/by/4.0/ (accessed on 7 August 2020).
- Beauducel, F. READHGT: Import/Download NASA SRTM Data Files (.HGT). 2021. Available online: https://www.mathworks.com/matlabcentral/fileexchange/36379-readhgt-import-download-nasa-srtm-data-files-hgt (accessed on 19 March 2021).
- MATLAB. Version 9.7.0.1190202 (R2019b); The MathWorks Inc.: Natick, MA, USA, 2019. [Google Scholar]
- Springer, G.S. Erosion by Liquid Impact; John Wiley and Sons: New York, NY, USA, 1976. [Google Scholar]
- Eisenberg, D.; Laustsen, S.; Stege, J. Wind turbine blade coating leading edge rain erosion model: Development and validation. Wind Energy 2018, 21, 942–951. [Google Scholar] [CrossRef]
- MatWeb. Overview of Materials for Epoxy Cure Resin. Available online: http://www.matweb.com/search/datasheet.aspx?matguid=956da5edc80f4c62a72c15ca2b923494 (accessed on 14 January 2021).
- MatWeb. Overview of Materials for Polyester (Thermoset)-Rigid. Available online: http://www.matweb.com/search/datasheet.aspx?matguid=1d92ed366503454ba49b8a44099f90de (accessed on 14 January 2021).
- Slot, H.; Gelinck, E.; Rentrop, C.; Van Der Heide, E. Leading edge erosion of coated wind turbine blades: Review of coating life models. Renew. Energy 2015, 80, 837–848. [Google Scholar] [CrossRef]
- Herring, R.; Dyer, K.; Howkins, P.; Ward, C. Characterisation of the offshore precipitation environment to help combat leading edge erosion of wind turbine blades. Wind Energy Sci. 2020, 5, 1399–1409. [Google Scholar] [CrossRef]
- Thurai, M.; Bringi, V.; Gatlin, P.N.; Petersen, W.A.; Wingo, M.T. Measurements and modeling of the full rain drop size distribution. Atmosphere 2019, 10, 39. [Google Scholar] [CrossRef] [Green Version]
- Amirzadeh, B.; Louhghalam, A.; Raessi, M.; Tootkaboni, M. A computational framework for the analysis of rain-induced erosion in wind turbine blades, part I: Stochastic rain texture model and drop impact simulations. J. Wind Eng. Ind. Aerodyn. 2017, 163, 33–43. [Google Scholar] [CrossRef] [Green Version]
- Fitzgerald, D. Estimation of Point Rainfall Frequencies; Technical Report; Met Éireann: Dublin, Ireland, 2007. [Google Scholar]
- Hu, W.; Wang, X.; Chen, W.; Wang, Y.; Liu, Z.; Tan, J.; Pryor, S.; Barthelmie, R. A computational model of wind turbine blade erosion induced by raindrop impact. J. Phys. Conf. Ser. 2020, 1452, 012048. [Google Scholar] [CrossRef]
- Field, J.; Seward, C.; Pickles, C.; Coad, E.; Watt, M. Studies of Rain Erosion Mechanisms in a Range of IR Transmitting Ceramics-Including Coated Samples; Technical Report; Cambridge Univ (United Kingdom) Cavendish Lab.: Cambridge, UK, 1994. [Google Scholar]
- Verma, A.S.; Castro, S.G.; Jiang, Z.; Hu, W.; Teuwen, J.J. Leading edge erosion of wind turbine blades: Effects of blade surface curvature on rain droplet impingement kinematics. J. Phys. Conf. Ser. 2020, 1618, 052003. [Google Scholar] [CrossRef]
- Tørseth, K.; Aas, W.; Breivik, K.; Fjæraa, A.M.; Fiebig, M.; Hjellbrekke, A.G.; Lund Myhre, C.; Solberg, S.; Yttri, K.E. Introduction to the European Monitoring and Evaluation Programme (EMEP) and observed atmospheric composition change during 1972–2009. Atmos. Chem. Phys. 2012, 12, 5447–5481. [Google Scholar] [CrossRef] [Green Version]
- Martin, D.; O’Dowd, C. Ireland’s Atmospheric Composition and Climate Change Network; Climate Change, Irish Environmental Protection Agency: Johnstown Castle, Ireland, 2020. [Google Scholar]
- Environmental Protection Agency (EPA), Ireland. EPA Data Can Be Downloaded Directly via Envision Using the Data Download Option, Or Can Be Downloaded Using the EPA Database Download Section of the GeoPortal. Data That Is Produced Directly by the EPA Is Free for Use under the Conditions of under the Conditions of Creative Commons Attribution License 4.0. Available online: https://gis.epa.ie/ (accessed on 5 August 2020).
- Department for Environment, Food and Rural Affairs (DEFRA). © Crown 2021 Copyright Defra. Licenced under the Open Government Licence (OGL). Available online: uk-air.defra.gov.uk (accessed on 5 May 2020).
- Wilby, R.L.; Noone, S.; Murphy, C.; Matthews, T.; Harrigan, S.; Broderick, C. An evaluation of persistent meteorological drought using a homogeneous Island of Ireland precipitation network. Int. J. Climatol. 2016, 36, 2854–2865. [Google Scholar] [CrossRef] [Green Version]
- Fealy, R.; Mills, G. Deriving Lamb weather types suited to regional climate studies: A case study on the synoptic origins of precipitation over Ireland. Int. J. Climatol. 2018, 38, 3439–3448. [Google Scholar] [CrossRef]
- Global Wind Atlas 3.0, a Free, Web Based Application Developed, Owned and Operated by the Technical University of Denmark (DTU). The Global Wind Atlas 3.0 Is Released in Partnership with the World Bank Group, Utilizing Data Provided by Vortex, Using Funding Provided by the Energy Sector Management Assistance Program (ESMAP). Available online: https://globalwindatlas.info (accessed on 23 July 2021).
- Hasager, C.; Vejen, F.; Bech, J.; Skrzypiński, W.; Tilg, A.M.; Nielsen, M. Assessment of the rain and wind climate with focus on wind turbine blade leading edge erosion rate and expected lifetime in Danish Seas. Renew. Energy 2020, 149, 91–102. [Google Scholar] [CrossRef]
- Keegan, M.H.; Nash, D.; Stack, M. Modelling rain drop impact on offshore wind turbine blades. In Proceedings of the ASME Turbo Expo 2012, Copenhagen, Denmark, 11–15 June 2012. [Google Scholar]
- Ledingham, J.; Archer, D.; Lewis, E.; Fowler, H.; Kilsby, C. Contrasting seasonality of storm rainfall and flood runoff in the UK and some implications for rainfall-runoff methods of flood estimation. Hydrol. Res. 2019, 50, 1309–1323. [Google Scholar] [CrossRef]
- Sinden, G. Characteristics of the UK wind resource: Long-term patterns and relationship to electricity demand. Energy Policy 2007, 35, 112–127. [Google Scholar] [CrossRef]
- Baker, R.; Walker, S.; Wade, J. Annual and seasonal variations in mean wind speed and wind turbine energy production. Sol. Energy 1990, 45, 285–289. [Google Scholar] [CrossRef]
- Met Eirann. Climate of Ireland. Available online: https://www.met.ie/climate/climate-of-ireland (accessed on 21 January 2021).
- Bech, J.I.; Hasager, C.B.; Bak, C. Extending the life of wind turbine blade leading edges by reducing the tip speed during extreme precipitation events. Wind Energy Sci. 2018, 3, 729–748. [Google Scholar] [CrossRef] [Green Version]
- Hasager, C.; Bech, J.I.; Kusano, Y.; Sjöholm, M.; Mikkelsen, T.; Bak, C.; Skrzypinski, W.; Fæster, S.; DTU, A.M.T.; DMI, F.V.; et al. Rain and Erosion on Turbine Blades. Science Meets industry Bergen. 2018. Available online: http://www.norcowe.no/doc//konferanser/2018/SMIBergenPres/1320%20Charlotte%20Hasager%20-%20Rain%20and%20erosion%20on%20turbine%20blades.pdf (accessed on 26 June 2021).
- Met Eirann. Rainfall Climate of Ireland. Available online: https://www.met.ie/climate/what-we-measure/rainfall (accessed on 21 January 2021).
- Wind Logger. How Does Cold Weather Affect Wind Speed? 2019. Available online: https://www.windlogger.com/blogs/news/how-does-cold-weather-affect-wind-speed (accessed on 23 June 2021).
- Huang, D.; Yan, P.; Xiao, X.; Zhu, J.; Tang, X.; Huang, A.; Cheng, J. The tri-pole relation among daily mean temperature, atmospheric moisture and precipitation intensity over China. Glob. Planet. Chang. 2019, 179, 1–9. [Google Scholar] [CrossRef]
- Ali, H.; Mishra, V. Contributions of dynamic and thermodynamic scaling in subdaily precipitation extremes in India. Geophys. Res. Lett. 2018, 45, 2352–2361. [Google Scholar] [CrossRef] [Green Version]
- Valiantzas, J.D. Simplified versions for the Penman evaporation equation using routine weather data. J. Hydrol. 2006, 331, 690–702. [Google Scholar] [CrossRef]
- Brimblecombe, P. Temporal humidity variations in the heritage climate of South East England. Herit. Sci. 2013, 1, 3. [Google Scholar] [CrossRef] [Green Version]
- Still, M.; Venzke, H.; Durst, F.; Melling, A. Influence of humidity on the convective heat transfer from small cylinders. Exp. Fluids 1998, 24, 141–150. [Google Scholar] [CrossRef]
- Kluska, K.; Piotrowicz, K.; Kasprzyk, I. The impact of rainfall on the diurnal patterns of atmospheric pollen concentrations. Agric. For. Meteorol. 2020, 291, 108042. [Google Scholar] [CrossRef]
- Zalakeviciute, R.; López-Villada, J.; Rybarczyk, Y. Contrasted effects of relative humidity and precipitation on urban PM2. 5 pollution in high elevation urban areas. Sustainability 2018, 10, 2064. [Google Scholar] [CrossRef] [Green Version]
- Csavina, J.; Field, J.; Félix, O.; Corral-Avitia, A.Y.; Sáez, A.E.; Betterton, E.A. Effect of wind speed and relative humidity on atmospheric dust concentrations in semi-arid climates. Sci. Total Environ. 2014, 487, 82–90. [Google Scholar] [CrossRef] [PubMed] [Green Version]
- ASTM International. ASTM G73-10(2017) Standard Test Method for Liquid Impingement Erosion Using Rotating Apparatus; ASTM International: West Conshohocken, PA, USA, 2017. [Google Scholar]






























| Location | Country | Type | Y (°N) | X (°E) | Z (m) | Data (Start–End) | Number of Years |
|---|---|---|---|---|---|---|---|
| Athenry (A) | ROI | W | 53.29 | −8.79 | 40 | 05/08/2010–01/08/2020 | 10 |
| Ballyhaise (BA) | ROI | W | 54.05 | −7.31 | 78 | 01/01/2004–01/09/2019 | 15.7 |
| Belmullet (BE) | ROI | W | 54.23 | −10.01 | 9 | 01/01/1989–01/09/2019 | 30.7 |
| Casement (C) | ROI | W | 53.31 | −6.44 | 91 | 01/01/1990–01/08/2020 | 30.6 |
| Claremorris (CL) | ROI | W | 53.71 | −8.99 | 68 | 01/01/1990–01/08/2020 | 30.6 |
| Cork Airport (CA) | ROI | W | 51.85 | −8.49 | 155 | 01/01/1990–01/08/2020 | 30.6 |
| Dublin Airport (DA) | ROI | W | 53.43 | −6.24 | 71 | 01/01/1990–01/08/2020 | 30.6 |
| Dunsany (D) | ROI | W | 53.52 | −6.66 | 83 | 31/12/2006–01/08/2020 | 13.6 |
| Finner (F) | ROI | W | 54.49 | −8.24 | 33 | 29/05/1997–01/08/2020 | 23.2 |
| Gurteen (G) | ROI | W | 53.05 | −8.01 | 75 | 31/12/2007–01/10/2019 | 11.8 |
| Glenveagh (GL) | ROI | C | 55.05 | −7.94 | 44 | 01/2010–12/2012 | 3 |
| Johnstownii (J) | ROI | W C | 52.30 | −6.50 | 62 | 01/01/2004– 01/09/2019 01/2010–12/2018 | 15.7 9 |
| Knock Airport (KA) | ROI | W | 53.91 | −8.82 | 201 | 31/07/1996–01/08/2020 | 24 |
| Mace Head (MA) | ROI | W | 53.33 | −9.90 | 21 | 01/08/2004–01/08/2020 | 16 |
| Malin Head (MH) | ROI | W C | 55.37 | −7.34 | 20 | 01/01/1989– 01/09/2019 01/2014– 12/2018 | 30.7 5 |
| Moore Park (MP) | ROI | W | 52.16 | −8.26 | 46 | 01/08/2003–01/08/2020 | 17 |
| Mt Dillon (MD) | ROI | W | 53.73 | −7.98 | 39 | 08/12/2006–01/08/2020 | 13.6 |
| Mullingar (MU) | ROI | W | 53.54 | −7.36 | 101 | 01/01/1990–01/08/2020 | 30.6 |
| Newport (N) | ROI | W | 53.92 | −9.57 | 22 | 31/12/2004–01/08/2020 | 15.6 |
| Oak Park (OP) | ROI | W C | 52.86 | −6.92 | 62 | 01/08/2003– 01/08/2020 01/2010–12/2011 01/2014–12/2018 | 17 7 |
| Roches Point (R) | ROI | W | 51.79 | −8.24 | 40 | 01/01/1990–01/08/2020 | 30.6 |
| Shannon Airport (SA) | ROI | W | 52.69 | −8.92 | 15 | 01/01/1990–01/08/2020 | 30.6 |
| Sherkin Island (SI) | ROI | W | 51.48 | −9.43 | 21 | 30/04/2004–01/08/2020 | 16.3 |
| Valentia (V) | ROI | W C | 51.94 | −10.24 | 24 | 01/01/1989– 01/09/2019 01/2010–12/2018 | 30.7 9 |
| Beaghs Burn (BB) | NI | C | 55.09 | −6.17 | 252 | 01/2010–12/2018 | 9 |
| Hillsborough (H) | NI | C | 54.45 | −6.08 | 120 | 01/2010–12/2018 | 9 |
| Lough Navar (LN) | NI | C | 54.44 | −7.90 | 130 | 01/2010–12/2018 | 9 |
| Temperature vs. Tip Speed | Statistical Variable | Range (All Speeds) | Range (Rated Speed) | Values between 8 °C and 10 °C (All Speeds) | Values between 8 °C and 10 °C (Rated Speed) |
|---|---|---|---|---|---|
| Rainfall Hours | mean | 7.3–14.5 °C | 7.7–10.2 °C | 77% | 91% |
| median | 6.6–12.2 °C | 7.4–9.8 °C | 82% | 83% | |
| mean | 6.9–11.6 °C | 7.7–10.2 °C | 76% | 92% | |
| median | 7.0–12.2 °C | 7.4–9.8 °C | 81% | 83% |
| RH vs. Tip Speed | Statistical Variable | Range (All Speeds) | Range (Rated Speed) | Values between 85 and 90% (All Speeds) | Values between 85 and 90% (Rated Speed) |
|---|---|---|---|---|---|
| Rainfall Hours | mean | 83–97% | 83–94% | 35% | 70% |
| median | 84–98% | 84–96% | 26% | 74% | |
| mean | 84–97% | 84–94% | 33% | 78% | |
| median | 84–98% | 84–96% | 25% | 70% |
| Station | Year | ||||||||
|---|---|---|---|---|---|---|---|---|---|
| 2010 | 2011 | 2012 | 2013 | 2014 | 2015 | 2016 | 2017 | 2018 | |
| J | 5.32 | 5.40 | 5.70 | 5.68 | 5.64 | 5.69 | 5.70 | 5.88 | 5.75 |
| GL | 5.44 | 5.39 | 5.59 | ||||||
| MH | 5.42 | 5.49 | 5.64 | 5.69 | 5.77 | ||||
| OP | 5.96 | 6.21 | 5.96 | 6.05 | 6.01 | 5.89 | 6.05 | ||
| V | 5.60 | 5.42 | 5.37 | 5.45 | 5.4 | 5.37 | 5.40 | 5.48 | 5.42 |
| H | 5.96 | 5.92 | 5.93 | 5.88 | 5.94 | 6.05 | 5.98 | 6.36 | 6.47 |
| BB | 5.76 | 5.63 | 5.57 | 5.61 | 5.55 | 5.65 | 5.71 | 5.79 | 6.16 |
| LN | 5.51 | 5.77 | 5.66 | 5.57 | 5.44 | 5.80 | 5.83 | 5.97 | 6.51 |
Publisher’s Note: MDPI stays neutral with regard to jurisdictional claims in published maps and institutional affiliations. |
© 2021 by the authors. Licensee MDPI, Basel, Switzerland. This article is an open access article distributed under the terms and conditions of the Creative Commons Attribution (CC BY) license (https://creativecommons.org/licenses/by/4.0/).
Share and Cite
Nash, J.W.K.; Zekos, I.; Stack, M.M. Mapping of Meteorological Observations over the Island of Ireland to Enhance the Understanding and Prediction of Rain Erosion in Wind Turbine Blades. Energies 2021, 14, 4555. https://doi.org/10.3390/en14154555
Nash JWK, Zekos I, Stack MM. Mapping of Meteorological Observations over the Island of Ireland to Enhance the Understanding and Prediction of Rain Erosion in Wind Turbine Blades. Energies. 2021; 14(15):4555. https://doi.org/10.3390/en14154555
Chicago/Turabian StyleNash, James W. K., Iasonas Zekos, and Margaret M. Stack. 2021. "Mapping of Meteorological Observations over the Island of Ireland to Enhance the Understanding and Prediction of Rain Erosion in Wind Turbine Blades" Energies 14, no. 15: 4555. https://doi.org/10.3390/en14154555
APA StyleNash, J. W. K., Zekos, I., & Stack, M. M. (2021). Mapping of Meteorological Observations over the Island of Ireland to Enhance the Understanding and Prediction of Rain Erosion in Wind Turbine Blades. Energies, 14(15), 4555. https://doi.org/10.3390/en14154555

