Rooftop PV: Potential and Impacts in a Complex Territory
Abstract
:1. Introduction
2. Materials and Methods
2.1. The Cluster Approach
- A linear correlation between couples of attributes (each value representing a characteristic of the settlement) allows to exclude features that are strongly correlated and thus do not provide significant new information.
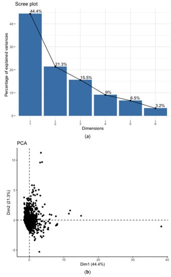
- A principal component analysis (PCA) determines whether linear relationships between all attributes exist and points out peculiar individual situations.
- The clustering of remaining data partitions the settlements into sets with very similar urban (and, thus, energy) features.
- The settlement closest to the center of gravity of each cluster is examined in depth to determine its key features (in the case at hand, the available roof surface and its potential productivity).
- The results obtained for this “central” settlement are extrapolated to its entire cluster, using the most significant attribute.
2.2. Application to Lombardy
- Population (number);
- Altitude of the urban center (m a.s.l.);
- Land area (km2);
- Urban surface area (km2);
- Density of the urban area (inhabitants per square km–inh km−2;
- Six classes of the number of dwellings per building (one—Class 1, two—Class 2, three or four—Class 3, five to eight—Class 5, nine to 15—Class 9, 16 or more—Class 16).
- (1)
- The most reasonable number of clusters was identified, comparing the values of 30 indices of distance in the data (R function NbClust). Then the hybrid clustering algorithm was applied (hkmeans function) using NbClust results as input;
- (2)
- The resulting clusters were validated using internal measures to evaluate the goodness of the partitioning obtained. These measures, formulated to reflect the compactness, connectedness, and separation of the obtained partitions, use internal information from the clustering process (e.g., minimum or maximum distance between objects or between clusters) to evaluate the goodness of fit of the clusters without referring to a priori or external information.Such measures were:
- The average distance within each cluster M of m elements, which must be as small as possible:
- The average distance between each couple of clusters M and P (of m and p elements, respectively), which must be as large as possible:
- The average silhouette width of the cluster measures how similar an object i is to other objects in its cluster compared to those in the neighboring cluster. Its value is between 1 and −1, with a value of 1 indicating a perfect partition. The average silhouette width of the observation i is defined by the formula:where is the average dissimilarity between i and all other points of the cluster to which it belongs and is the dissimilarity between i and its “neighbor” cluster.
- (3)
- Finally, the outermost cluster has been graphically identified and excluded from the sample data to be processed in the following iteration.
3. Results
- Cluster 7 contains the most populated cities with medium-to-large land area and diverse housing types with numerous vertical buildings.
- Cluster 6 comprises municipalities in high mountains, not necessarily of small size, but mainly characterized by low density and a very large land area. The prevailing building typology are single family or duplex;
- Cluster 5 contains the cities belonging to metropolitan areas, similar to those in Cluster 7 but with a much smaller land area;
- Cluster 4 groups the remaining sparsely populated mountain communities which differ from Cluster 6 in population and land area;
- Cluster 3 contains municipalities of the low hilly territory predominantly in southern-eastern Lombardy, which have a highly populated, concentrated and diverse urban area over a very large land extension;
- Cluster 2 is predominantly characterized by average size municipalities with mostly single or two-family housing type;
- Cluster 1 comprises the remaining municipalities of medium size, both in terms of inhabitants and extension, with quite inhomogeneous housing types.
4. Discussion
- The paper by Bodis et al. [24] combines statistical (Eurostat) and satellite data (European Settlement Map-ESM) to quantify the rooftop area available for PV systems and assesses the technical potential for rooftop photovoltaic electricity production by applying PVGIS, at a spatial resolution of 100m across the European Union.
- ENergy Systems Potential Renewable Energy Sources (ENSPRESO) [28] provides a report of potential energy values implemented for three different solar plant capacities (low 85 kW/m2, medium 170 kW/m2, high 300 kW/m2) processed through JRC-EU-TIMES model at national (NUTS1) and regional (NUTS2) levels for the period 2010–2050.
5. Conclusions
Author Contributions
Funding
Data Availability Statement
Conflicts of Interest
References
- Intergovernmental Panel for Climate Change. Summary for Policymakers. Global Warming of 1.5 °C. In An IPCC Special Report on the Impacts of Global Warming of 1.5 °C above Pre-Industrial Levels and Related Global Greenhouse Gas Emission Pathways, in the Context of Strengthening the Global Response to the Threat of Climate Change, Sustainable Development, and Efforts to Eradicate Poverty; IPCC: Geneva, Switzerland, 2018; ISBN 978-92-9169-151-7. [Google Scholar]
- European Commission. EU Energy in Figures: Statistical Pocketbook 2018; EC: Luxemburg, 2018; ISBN 978-92-79-88735-2. [Google Scholar]
- Falk, J.; Gaffney, O.; Bhowmik, A.K.; Bergmark, P.; Galaz, V.; Gaskell, N.; Henningsson, S.; Höjer, M.; Jacobson, L.; Jónás, K.; et al. Exponential Roadmap 1.5. Future Earth; Exponential Roadmap Initiative: Stockholm, Sweden, 2019. [Google Scholar]
- United Nation Department of Economic and Social Affairs, Population Division. World Urbanization Prospect: The 2014 Revision; UN: New York, NY, USA, 2014. [Google Scholar]
- United Nation Human Settlements Program. Cities and Climate Change: Policy Directions; UN: New York, NY, USA, 2011. [Google Scholar]
- Kammen, D.; Sunter, D. City-integrated renewable energy for urban sustainability. Science 2016, 352, 922–927. [Google Scholar] [CrossRef] [Green Version]
- Ekins-Daukes, N.J. Solar Energy for Heat and Electricity: The Potential for Mitigating Climate Change; Briefing Paper N.1; Grantham Institute for Climate Change: London, UK, 2009. [Google Scholar]
- Jäger, K.; Isabella, O.; Smets, A.H.M.; van Swaaij, R.A.C.M.M.; Zeman, M. Solar Energy—Fundamentals, Technology and Systems; Delft University of Technology: Delft, The Netherlands, 2014. [Google Scholar]
- Jäger-Waldau, A. PV Status Report 2019; EUR 29938 EN; JRC118058; Publications Office of the European Union: Luxembourg, 2019; ISBN 978-92-76-12608-9. [Google Scholar] [CrossRef]
- Huld, T.; Amillo, A.M.G. Estimating PV Module Performance over Large Geographical Regions: The Role of Irradiance, Air Temperature, Wind Speed and Solar Spectrum. Energies 2015, 8, 5159–5181. [Google Scholar] [CrossRef] [Green Version]
- Hosenuzzaman, M.; Rahim, N.A.; Selvaraj, J.; Malek, A.B.M.A.; Nahar, A. Global prospects, progress, policies, and environmental impact of solar photovoltaic power generation. Renew. Sustain. Energy Rev. 2015, 41, 284–297. [Google Scholar] [CrossRef]
- Chow, T.T. A review on photovoltaic/thermal hybrid solar technology. Appl. Energy 2010, 87, 365–379. [Google Scholar] [CrossRef]
- Enongene, K.E.; Abanda, E.H.; Otene, I.J.J.; Obi, S.I.; Okafor, C. The potential of solar photovoltaic systems for residential homes in Lagos city of Nigeria. J. Environ. Manag. 2019, 244, 247–256. [Google Scholar] [CrossRef]
- Peng, J.; Lu, L. Investigation on the development potential of rooftop PV system in Hong Kong and its environmental benefits. Renew. Sustain. Energy Rev. 2013, 27, 149–162. [Google Scholar] [CrossRef]
- Gutschner, M.; Nowak, S.; Ruoss, D.; Toggweiler, P.; Schoen, T. Potential for Building Integrated Photovoltaics. 2002. Available online: https://iea-pvps.org/wp-content/uploads/2020/01/rep7_04.pdf (accessed on 19 June 2021).
- Hong, T.; Leee, M.; Koo, C.; Jeong, K.; Kim, J. Development of method for estimating the rooftop solar PV potential by analyzing the available rooftop area using Hillshade analysis. Appl. Energy 2017, 194, 320–332. [Google Scholar] [CrossRef]
- Hofierka, J.; Kanuk, J. Assessment of photovoltaic potential in urban area using open-sorce solar radiation tools. Renew. Energy 2009, 34, 2206–2214. [Google Scholar] [CrossRef]
- Bergamasco, L.; Asinari, P. Scalable methodology for the photovoltaic solar energy potential assessment based on available roof surface area: Further improvements by otho-image analysis and application to Turin (Italy). Sol. Energy 2011, 85, 2741–2756. [Google Scholar] [CrossRef] [Green Version]
- Brito, M.C.; Gomes, N.; Santos, T.; Tenedorio, J.A. Photovoltaic potential in a Lisbon suburb using LiDAR data. Sol. Energy 2012, 86, 283–288. [Google Scholar] [CrossRef]
- Jakubiec, J.A.; Reinhart, C.F. A method for predicting city-wide electirsity ganes from photovoltaic panels based on LiDAR and GIS data combined with hourly Daysim simulations. Sol. Energy 2013, 93, 127–143. [Google Scholar] [CrossRef]
- Kodysh, J.B.; Omitaomu, O.A.; Bhaduri, B.L.; Neish, B.S. Methodology for estimating solar potential on multiple building rooftops for photovoltaic systems. Sustain. Cities Soc. 2013, 8, 31–41. [Google Scholar] [CrossRef]
- Miranda, R.F.C.; Szklo, A.; Schaeffer, R. Techinical-economic potential of PV system on brazilian rooftops. Renew. Energy 2015, 75, 694–713. [Google Scholar] [CrossRef]
- Rosas-Flores, J.A.; Zenon-Olvera, E.; Galvez, D.M. Potential energy saving in urban and rural households of Mexico with solar photovoltaic system using geographical information system. Renew. Sustain. Energy Rev. 2019, 116, 109412. [Google Scholar] [CrossRef]
- Bodis, K.; Kougias, I.; Jager-Waldau, A.; Taylor, N.; Szabo, S. A high-resolution geospatial assessment of the rooftop solar photovoltaic potential in the European Union. Renew. Sustain. Energy Rev. 2019, 114, 109309. [Google Scholar] [CrossRef]
- Mangiante, M.J.; Whung, P.; Zhou, L.; Porter, R.; Cepada, A.; Campirano, E.J.; Lincon, D.J.; Lawrence, R.; Torres, M. Economic and technical assessment of rooftop solar photovoltaic potential in Brownsville, Texas, USA. Comput. Environ. Urban Syst. 2020, 80, 101450. [Google Scholar] [CrossRef]
- Muller, J.; Trutnevyte, E. Spatial projections of solar PV installations at subnational level: Accuracy testing of regression models. Appl. Energy 2020, 265, 114747. [Google Scholar] [CrossRef]
- Zhang, Y.; Ren, J.; Pu, Y.; Wang, P. Solar energy potential assessment: A framework to integrate geographic, technological and economic indices for a potential analysis. Renew. Energy 2020, 149, 577–586. [Google Scholar] [CrossRef]
- Ruiz, P.; Nijs, W.; Tarvydas, D.; Sgobbi, A.; Zucker, A.; Pilli, R.; Jonsson, R.; Camia, A.; Thiel, C.; Hoyer-Klick, C.; et al. ENSPRESO—An open, EU-28 wide, transparent and coherent database of wind, solar and biomass energy potentials. Energy Strategy Rev. 2019, 26, 100379. [Google Scholar] [CrossRef]
- Castellanos, S.; Sunter, D.; Kammen, D. Rooftop solar photovoltaic potential in cities: How scalable are assessment approach? Environ. Res. Lett. 2017, 12, 125005. [Google Scholar] [CrossRef]
- ENEA. Rapporto Annuale Efficienza Energetica—Analisi e risultati delle policy di efficienza energetica del nostro Paese. In Agenzia Nazionale per le Nuove Tecnologie, l’energia e lo Sviluppo Economico Sostenibile; ENEA: Rome, Italy, 2019; ISBN 978-88-8286-382-2019. (In Italian) [Google Scholar]
- Regione Lombardia. Programma Energetico Ambientale Regionale (PEAR). Available online: https://regione.lombardia.it (accessed on 23 May 2020). (In Italian).
- PVGIS. Photovoltaic Geographical Information System. 2017. Available online: https://ec.europa.eu/jrc/en/pvgis (accessed on 23 March 2021).
- DUSAF. Destination of Agricultural and Forest Land Use, Geoportale Lombardia—Download Dati. Available online: http://www.geoportale.regione.lombardia.it (accessed on 1 December 2019).
- CENED. Available online: http://www.cened.it/opendata-cened-2.0 (accessed on 20 February 2020).
- Guariso, G.; Sangiorgio, M. Multi-objective planning of building stock renovation. Energy Policy 2019, 130, 101–110. [Google Scholar] [CrossRef]
- ISTAT. Censimento Popolazione e Abitazioni 2011. Available online: http://dati-censimentopopolazione.istat.it/Index.aspx (accessed on 2 December 2020).
- ISTAT. Censimento Agricoltura 2010. Available online: http://dati-censimentoagricoltura.istat.it/Index.aspx (accessed on 1 December 2019).
- ISTAT. Statistiche Annuali. Available online: http://dati.istat.it (accessed on 2 December 2020).
- Kassambara, A. Practical Guide to Cluster Analysis in R—Unsupervised Machine Learning. 2017. Available online: http://www.stdha.com (accessed on 6 June 2021).
- EPISCOPE e TABULA Online Webtool 2018. Available online: http://webtool.building-typology.eu (accessed on 10 February 2020).
- Corrado, V.; Ballarini, I.; Corgnati, S.P. Building Typology Brochure—Italy. In Fascicolo Sulla Tipologia Edilizia Italiana; Politecnico di Torino: Torino, Italy, 2014; ISBN 978-88-8202-065-1. [Google Scholar]
- Corrado, V.; Ballarini, I.; Corgnati, S.P.; Talà, N. National Scientific Report on the TABULA Activities in Italy; Politecnico di Torino: Torino, Italy, 2012; ISBN 978-88-8202-039-2. [Google Scholar]
- DBTR. Database Topografico Regionale, Geoportale Lombardia—Download Dati. Available online: http://www.geoportale.regione.lombardia.it (accessed on 20 December 2019). (In Italian).
- ENEA. Progettare e Installare un Impianto Fotovoltaico; ENEA: Rome, Italy, 2008. (In Italian)
- GSE. Statistiche Regionali 2019; Gestore Servizi Energetici: Rome, Italy, 2020. (In Italian) [Google Scholar]
- Agrillo, A.; Surace, V.; Liberatore, P. Rapporto Statistico—Solare Fotovoltaico 2019; GSE: Rome, Italy, 2020. (In Italian) [Google Scholar]
- ISPRA. Emissioni Nazionali di gas Serra: Indicatori di Efficienza e Decarbonizzazione nei Principali Paesi Europei; Rapporti 295/2018; ISPRA: Rome, Italy, 2018; ISBN 978-88-448-0914-0. (In Italian)
- ISPRA. Fattori di Emissione Atmosferica di Gas a Effetto Serra nel Settore Elettrico Nazionale e nei Principali Paesi Europei; Rapporti 303/2019; ISPRA: Rome, Italy, 2019; ISBN 978-88-448-0945-4. (In Italian)
- INEMAR. Inventario Emissioni Aria. 2018. Available online: http://www.inemar.eu (accessed on 6 March 2020). (In Italian).
- SIRENA. Sistema Informativo Regionale ENergia Ambiente. 2018. Available online: http://sirena20.energialombardia.eu (accessed on 6 March 2020).
- TERNA. Contesto ed Evoluzione del Sistema Elettrico; TERNA: Rome, Italy, 2019. (In Italian) [Google Scholar]
- EMBER. EUA (EU ETS) Futures Price. 2021. Available online: https://ember-climate.org/data/carbon-price-viewer/ (accessed on 16 June 2021).
- PV Upscale—Urban Scale Photovoltaic Systems. Intelligent Energy Europe. Available online: https://pvupscale.org (accessed on 20 June 2021).






| Population | Altitude | Land Area | Urban Area | Density | Class 1 | Class 2 | Class 3 | Class 5 | Class 9 | Class 16 | |
|---|---|---|---|---|---|---|---|---|---|---|---|
| POPULATION | 1 | ||||||||||
| ALTITUDE | −0.06 | 1 | |||||||||
| LAND AREA | 0.27 | 0.22 | 1 | ||||||||
| URBAN AREA | 0.91 | −0.16 | 0.39 | 1 | |||||||
| DENSITY | 0.31 | −0.06 | −0.12 | 0.30 | 1 | ||||||
| CLASS 1 | 0.47 | −0.13 | 0.43 | 0.68 | 0.24 | 1 | |||||
| CLASS 2 | 0.48 | −0.13 | 0.38 | 0.73 | 0.39 | 0.86 | 1 | ||||
| CLASS 3 | 0.66 | −0.04 | 0.40 | 0.83 | 0.44 | 0.73 | 0.90 | 1 | |||
| CLASS 5 | 0.88 | −0.06 | 0.35 | 0.94 | 0.39 | 0.63 | 0.73 | 0.90 | 1 | ||
| CLASS 9 | 0.98 | −0.05 | 0.29 | 0.93 | 0.32 | 0.51 | 0.54 | 0.73 | 0.93 | 1 | |
| CLASS 16 | 0.99 | −0.03 | 0.25 | 0.86 | 0.25 | 0.38 | 0.37 | 0.57 | 0.82 | 0.96 | 1 |
| Population | Altitude | Land Surface | Density over Urban Area | Buildings Class 1 | Buildings Class 3 | Residential Rooftop | PV Area over Land Area | |
|---|---|---|---|---|---|---|---|---|
| [inh] | [m a.s.l.] | [km2] | [inh/km2] | # | # | [km2] | % | |
| CLUSTER 1 | 1930 | 115 | 13.62 | 1276 | 279 | 57 | 37.67 | 0.4% |
| CLUSTER 2 | 4506 | 261 | 7.88 | 2571 | 291 | 131 | 80.56 | 1.3% |
| CLUSTER 3 | 10,501 | 162 | 38.35 | 1994 | 1013 | 314 | 34.26 | 0.2% |
| CLUSTER 4 | 961 | 757 | 18.14 | 1704 | 251 | 92 | 10.96 | 0.1% |
| CLUSTER 5 | 17,212 | 199 | 9.32 | 4540 | 539 | 312 | 45.72 | 1.1% |
| CLUSTER 6 | 2894 | 1058 | 122.69 | 1550 | 455 | 312 | 3.18 | 0.02% |
| CLUSTER 7 | 66,155 | 175 | 39.19 | 3980 | 2836 | 1162 | 37.55 | 1.0% |
| PV Production [TWH] | Consumption [TWH] | Coverage % | |
|---|---|---|---|
| CLUSTER 1 | 1.86 | 0.95 | 196% |
| CLUSTER 2 | 3.88 | 3.42 | 113% |
| CLUSTER 3 | 1.64 | 2.02 | 81% |
| CLUSTER 4 | 0.52 | 0.25 | 208% |
| CLUSTER 5 | 2.21 | 2.59 | 85% |
| CLUSTER 6 | 0.15 | 0.06 | 237% |
| CLUSTER 7 | 1.83 | 2.01 | 91% |
| TOTAL | 12.11 | 11.46 |
| Emission Factors [MG/KWH] | Emissions Reduction [TON] | ||
|---|---|---|---|
| NITROGEN OXIDES | NOx | 227.4 | 2752.8 |
| SULFUR OXIDES | SOx | 63.6 | 769.9 |
| NON-METHANE VOLATILE ORGANIC COMPOUNDS | NMVOC | 83.8 | 1014.4 |
| AMMONIA | NH3 | 0.5 | 6.05 |
| PARTICULATE MATTER | PM10 | 5.4 | 65.4 |
Publisher’s Note: MDPI stays neutral with regard to jurisdictional claims in published maps and institutional affiliations. |
© 2021 by the authors. Licensee MDPI, Basel, Switzerland. This article is an open access article distributed under the terms and conditions of the Creative Commons Attribution (CC BY) license (https://creativecommons.org/licenses/by/4.0/).
Share and Cite
Bernasconi, D.; Guariso, G. Rooftop PV: Potential and Impacts in a Complex Territory. Energies 2021, 14, 3687. https://doi.org/10.3390/en14123687
Bernasconi D, Guariso G. Rooftop PV: Potential and Impacts in a Complex Territory. Energies. 2021; 14(12):3687. https://doi.org/10.3390/en14123687
Chicago/Turabian StyleBernasconi, Diana, and Giorgio Guariso. 2021. "Rooftop PV: Potential and Impacts in a Complex Territory" Energies 14, no. 12: 3687. https://doi.org/10.3390/en14123687
APA StyleBernasconi, D., & Guariso, G. (2021). Rooftop PV: Potential and Impacts in a Complex Territory. Energies, 14(12), 3687. https://doi.org/10.3390/en14123687

