Experimental Study of Thermal Properties and Dynamic Viscosity of Graphene Oxide/Oil Nano-Lubricant
Abstract
1. Introduction
2. Experimental
2.1. Materials and Methods
2.2. Preparation of Nano Lubricant
2.3. Measurement of Thermal Conductivity
2.4. Measurement of Viscosity
2.5. Measurement of the Flash Point
2.6. Measurement of Pure Point and Freezing Point
3. Results
3.1. Stability of Nano-Lubricant
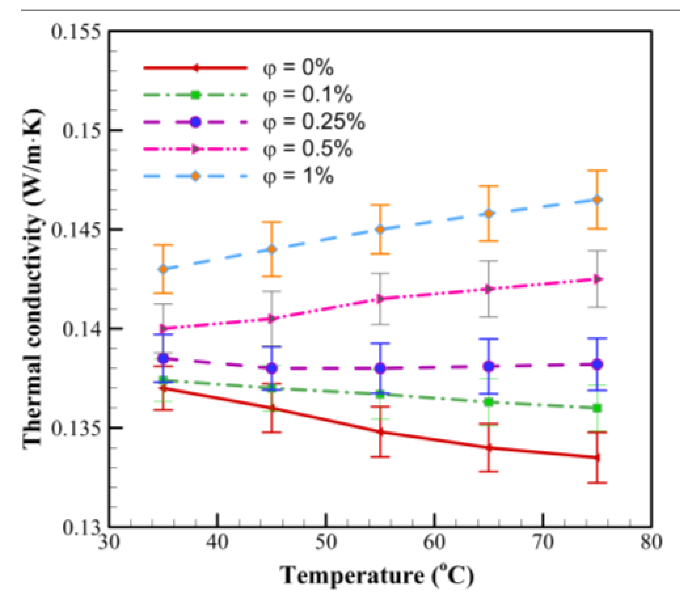
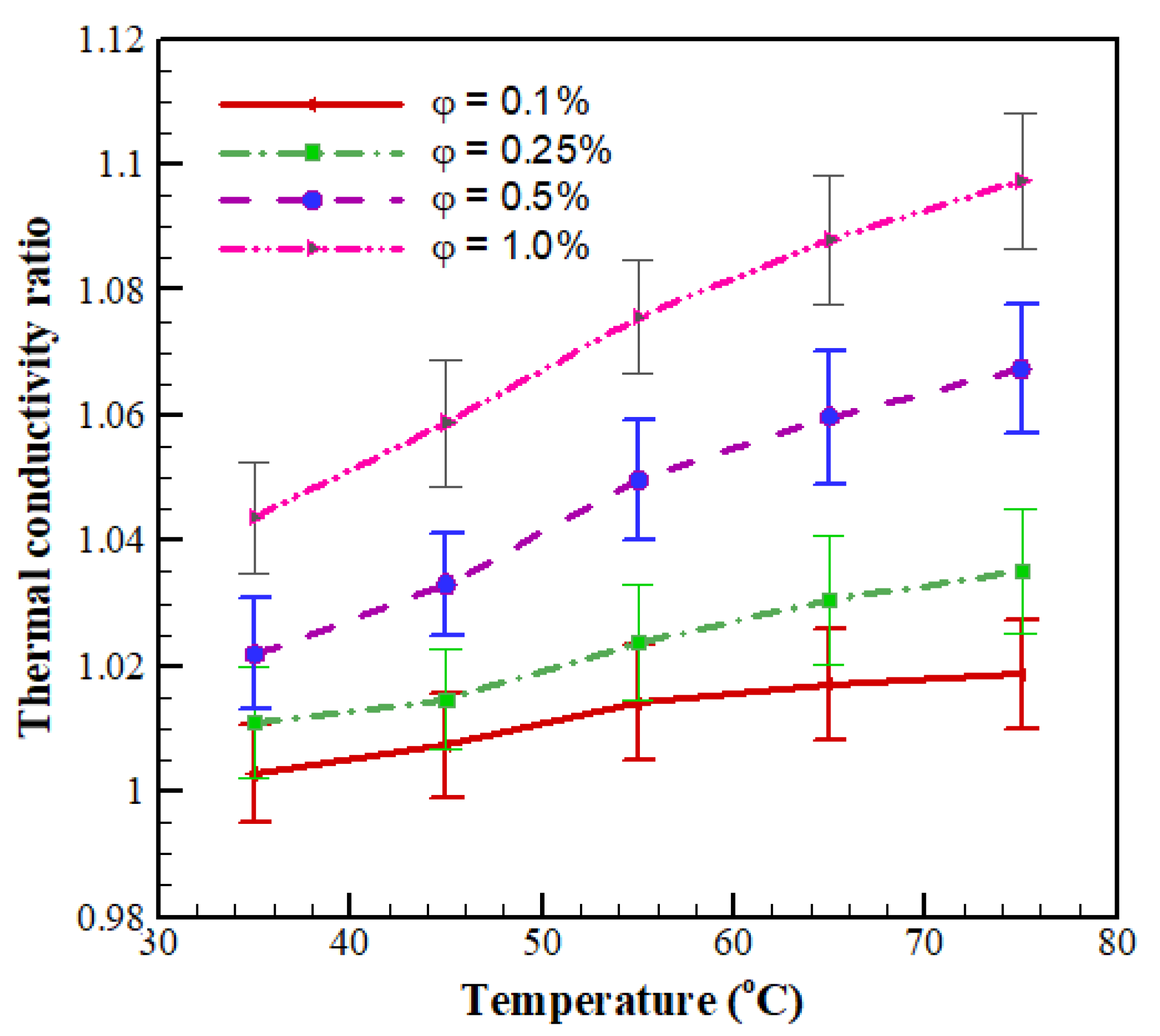
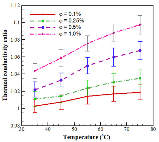
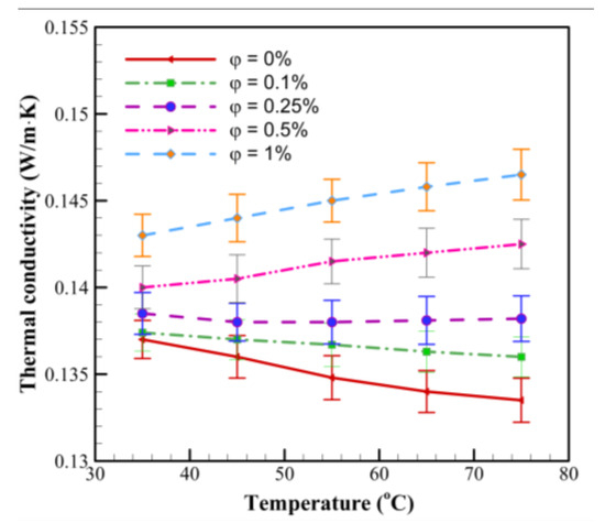
3.2. The Effect of Temperature and Volume Fraction on Thermal Conductivity
3.3. Rheological Behavior of the Nano Lubricant
3.4. The Effect of Temperature and Volume Fraction on Viscosity
3.5. The Result of the Flash Point
3.6. The Results of Freezing Point and Cloud Point
4. Conclusions
- The thermal conductivity of nano lubricant increases by temperature and volume fraction. The volume fraction is more effective in improving thermal conductivity than temperature.
- The highest increase in thermal conductivity of nano lubricant (9.73% improvement compared to the base oil) was observed at 75 °C and a volume fraction of 1%.
- The viscosity of the nano lubricant increases due to the use of nanoparticles. These variations will not positively influence the system. In contrast, the viscosity decreases sharply with increasing temperature at all volume fractions. Viscosity fluctuations are considerable and it seems that the increase in viscosity caused by nanoparticles does not have a meaningful effect.
- The viscosity of the nano lubricant was increased to a maximum rate of 1.36 in the volume fraction of 1%. This value was recorded at 35 °C.
- The flash point indicates the performance of the oil in hot seasons and especially at elevated temperatures. By adding nanoparticles, the flash point increased from 235 °C to 254 °C. This feature improves the oil performance at high temperatures.
- The results of cloud point and freezing point show that the oil performance has improved in cold temperatures. In most cases, the values of cloud point and freezing point improve, respectively, by 13.3 and 12.9%. Under these conditions, this nano lubricant can be used instead of base oil at lower temperatures.
- Finally, given the thermal properties of this nano lubricant over the base oil, it seems to perform more efficiently under warmer and colder working conditions.
Author Contributions
Funding
Institutional Review Board Statement
Informed Consent Statement
Data Availability Statement
Conflicts of Interest
References
- Shahnazar, S.; Bagheri, S.; Hamid, S.B.A. Enhancing lubricant properties by nanoparticle additives. Int. J. Hydrog. Energy 2016, 41, 3153–3170. [Google Scholar] [CrossRef]
- Singh, Y.; Negi, P.; Badhotiya, G.K. Friction and wear analysis of TiO2 particles blended with Sal oil. Mater. Today Proc. 2021. [Google Scholar] [CrossRef]
- Hamze, S.; Cabaleiro, D.; Estellé, P. Graphene-based nanofluids: A comprehensive review about rheological behavior and dynamic viscosity. J. Mol. Liq. 2020, 325, 115207. [Google Scholar] [CrossRef]
- ShashaVali, S.; Patil, A. Experimental investigation of tribological properties of TiO2 nanoparticles in engine oil. Mater. Today Proc. 2021. [Google Scholar] [CrossRef]
- Du, C.; Nguyen, Q.; Malekahmadi, O.; Mardani, A.; Jokar, Z.; Babadi, E.; D’Orazio, A.; Karimipour, A.; Li, Z.; Bach, Q.V. Thermal conductivity enhancement of nanofluid by adding multiwalled carbon nanotubes: Characterization and numerical modeling patterns. Math. Methods Appl. Sci. 2020. [Google Scholar] [CrossRef]
- Huo, M.; Wu, H.; Xie, H.; Zhao, J.; Su, G.; Jia, F.; Li, Z.; Lin, F.; Li, S.; Zhang, H. Understanding the role of water-based nanolubricants in micro flexible rolling of aluminium. Tribol. Int. 2020, 151, 106378. [Google Scholar] [CrossRef]
- Wang, B.; Wang, X.; Lou, W.; Hao, J. Thermal conductivity and rheological properties of graphite/oil nanofluids. Colloids Surf. A Phys. Eng. Asp. 2012, 414, 125–131. [Google Scholar] [CrossRef]
- Pico, D.F.M.; da Silva, L.R.R.; Mendoza, O.S.H.; Filho, E.P.B. Experimental study on thermal and tribological performance of diamond nanolubricants applied to a refrigeration system using R32. Int. J. Heat Mass Transf. 2020, 152, 119493. [Google Scholar] [CrossRef]
- Vakili-Nezhaad, G.; Dorany, A. Investigation of the effect of multiwalled carbon nanotubes on the viscosity index of lube oil cuts. Chem. Eng. Commun. 2009, 196, 997–1007. [Google Scholar] [CrossRef]
- Ali, M.K.A.; Xianjun, H.; Abdelkareem, M.A.; Gulzar, M.; Elsheikh, A. Novel approach of the graphene nanolubricant for energy saving via anti-friction/wear in automobile engines. Tribol. Int. 2018, 124, 209–229. [Google Scholar] [CrossRef]
- Hatami, M.; Hasanpour, M.; Jing, D. Recent developments of nanoparticles additives to the consumables liquids in internal combustion engines: Part II: Nano-lubricants. J. Mol. Liq. 2020, 319, 114156. [Google Scholar] [CrossRef]
- Gong, H.; Yu, C.; Zhang, L.; Xie, G.; Guo, D.; Luo, J. Intelligent lubricating materials: A review. Compos. Part B Eng. 2020, 202, 108450. [Google Scholar] [CrossRef]
- Owuna, F. Stability of vegetable based oils used in the formulation of ecofriendly lubricants—A review. Egypt. J. Pet. 2020, 29, 251–256. [Google Scholar] [CrossRef]
- Li, Z.; D’Orazio, A.; Karimipour, A.; Bach, Q.-V. Thermo-hydraulic performance of a lubricant containing zinc oxide nano-particles: A two-phase oil. J. Energy Resour. Technol. 2020, 142. [Google Scholar] [CrossRef]
- Zheng, Y.; Wang, S.; D’Orazio, A.; Karimipour, A.; Afrand, M. Forecasting and optimization of the viscosity of nano-oil containing zinc oxide nanoparticles using the response surface method and sensitivity analysis. J. Energy Resour. Technol. 2020, 142, 1–8. [Google Scholar] [CrossRef]
- Timofeeva, E.V.; Moravek, M.R.; Singh, D. Improving the heat transfer efficiency of synthetic oil with silica nanoparticles. J. Colloid Interface Sci. 2011, 364, 71–79. [Google Scholar] [CrossRef]
- Neha Deepak, S.; Nathi Ram, C. Physio-chemical study of traditional lubricant SAE 20 W40 and virgin coconut oil using TiO2 nano-additives. Mater. Today Proc. 2021, 42, 1024–1029. [Google Scholar] [CrossRef]
- Ilyas, S.U.; Pendyala, R.; Narahari, M.; Susin, L. Stability, rheology and thermal analysis of functionalized alumina-thermal oil-based nanofluids for advanced cooling systems. Energy Convers. Manag. 2017, 142, 215–229. [Google Scholar] [CrossRef]
- Ma, J.; Shahsavar, A.; Al-Rashed, A.A.A.A.; Karimipour, A.; Yarmand, H.; Rostami, S. Viscosity, cloud point, freezing point and flash point of zinc oxide/SAE50 nanolubricant. J. Mol. Liq. 2020, 298, 112045. [Google Scholar] [CrossRef]
- Ettefaghi, E.-o.-I.; Ahmadi, H.; Rashidi, A.; Nouralishahi, A.; Mohtasebi, S.S. Preparation and thermal properties of oil-based nanofluid from multi-walled carbon nanotubes and engine oil as nano-lubricant. Int. Commun. Heat Mass Transf. 2013, 46, 142–147. [Google Scholar] [CrossRef]
- Marcano, D.C.; Kosynkin, D.V.; Berlin, J.M.; Sinitskii, A.; Sun, Z.; Slesarev, A.; Alemany, L.B.; Lu, W.; Tour, J.M. Improved synthesis of graphene oxide. ACS Nano 2010, 4, 4806–4814. [Google Scholar] [CrossRef] [PubMed]
- Eastman, J.A.; Choi, S.; Li, S.; Yu, W.; Thompson, L. Anomalously increased effective thermal conductivities of ethylene glycol-based nanofluids containing copper nanoparticles. Appl. Phys. Lett. 2001, 78, 718–720. [Google Scholar] [CrossRef]
- Ranjbarzadeh, R.; Akhgar, A.; Musivand, S.; Afrand, M. Effects of graphene oxide-silicon oxide hybrid nanomaterials on rheological behavior of water at various time durations and temperatures: Synthesis, preparation and stability. Powder Technol. 2018, 335, 375–387. [Google Scholar] [CrossRef]
- Sadeghinezhad, E.; Mehrali, M.; Saidur, R.; Mehrali, M.; Latibari, S.T.; Akhiani, A.R.; Metselaar, H.S.C. A comprehensive review on graphene nanofluids: Recent research, development and applications. Energy Convers. Manag. 2016, 111, 466–487. [Google Scholar] [CrossRef]
- Newton, R.G. Scattering Theory of Waves and Particles; Springer Science & Business Media: Berlin/Heidelberg, Germany, 2013. [Google Scholar]
- Chon, C.; Kihm, K. Thermal conductivity enhancement of nanofluids by Brownian motion. Trans. Am. Soc. Mech. Eng. J. Heat Transf. 2005, 127, 810. [Google Scholar] [CrossRef]
- Yang, B. Thermal conductivity equations based on Brownian motion in suspensions of nanoparticles (nanofluids). J. Heat Transf. 2008, 130. [Google Scholar] [CrossRef]
- Yu, W.; Choi, S. The role of interfacial layers in the enhanced thermal conductivity of nanofluids: A renovated Maxwell model. J. Nanoparticle Res. 2003, 5, 167–171. [Google Scholar] [CrossRef]
- Yang, L.; Mao, M.; Huang, J.-n.; Ji, W. Enhancing the thermal conductivity of SAE 50 engine oil by adding zinc oxide nano-powder: An experimental study. Powder Technol. 2019, 356, 335–341. [Google Scholar] [CrossRef]
- Rehman, W.U.; Merican, Z.M.A.; Bhat, A.H.; Hoe, B.G.; Sulaimon, A.A.; Akbarzadeh, O.; Khan, M.S.; Mukhtar, A.; Saqib, S.; Hameed, A.; et al. Synthesis, characterization, stability and thermal conductivity of multi-walled carbon nanotubes (MWCNTs) and eco-friendly jatropha seed oil based nanofluid: An experimental investigation and modeling approach. J. Mol. Liq. 2019, 293, 111534. [Google Scholar] [CrossRef]
- Esmaeilzadeh, F.; Teja, A.S.; Bakhtyari, A. The thermal conductivity, viscosity, and cloud points of bentonite nanofluids with n-pentadecane as the base fluid. J. Mol. Liq. 2020, 300, 112307. [Google Scholar] [CrossRef]
- Kumar Yadav, S.; Vasu, V.; Kumar Paliwal, U. Experimental Study on Thermo-physical Properties of Nano-fluids based on Copper Nanoparticles. Mater. Today Proc. 2019, 18, 525–532. [Google Scholar] [CrossRef]
- Mousavi, S.B.; Heris, S.Z.; Estellé, P. Viscosity, tribological and physicochemical features of ZnO and MoS2 diesel oil-based nanofluids: An experimental study. Fuel 2021, 293, 120481. [Google Scholar] [CrossRef]
- Motahari, K.; Moghaddam, M.A.; Moradian, M. Experimental investigation and development of new correlation for influences of temperature and concentration on dynamic viscosity of MWCNT-SiO2 (20-80)/20W50 hybrid nano-lubricant. Chin. J. Chem. Eng. 2018, 26, 152–158. [Google Scholar] [CrossRef]















| Physical Property | Value |
|---|---|
| Appearance color | Black |
| Morphology shape | Nanosheet |
| Diameter (µm) | ~2 |
| Purity (%) | 99.5 |
| density (kg/m3) | ~1000 |
| Thickness (nm) | 3.4–7 |
| Number of layers | 6–10 |
| Characteristic | Value |
|---|---|
| Kinematic viscosity at 100 °C | 1.8 × 10−5 (m2/s) |
| Viscosity Index (VI) | 90 |
| Flash point | 246 (°C) |
| Pour point | −9 (°C) |
| Total base number (TBN) | 4.1 (mg KOH/g) |
| Density at 15 °C | 906 (kg/cm3) |
| Specific heat capacity | 1900 (J/(kg∙°C)) |
| Sample | Solid Volume Fraction (%) | (g) | (g) |
| 1 | 0.00 | 0.000 | 49.83 |
| 2 | 0.10 | 0.055 | 49.77 |
| 3 | 0.25 | 0.137 | 49.69 |
| 4 | 0.50 | 0.275 | 49.55 |
| 5 | 1.00 | 0.550 | 49.28 |
| Reference | Base-Fluid | Nanoparticles | Volume Fraction Range (%) | Maximum Thermal Conductivity Enhancement (%) | Temperature Range (°C) |
|---|---|---|---|---|---|
| Present work | SAE 50 | GO | 0.1–1 | 9.73 at 75 °C | 35–75 |
| [29] | SAE 50 engine oil | ZnO | 0.125–1.5 | 8.74 at 55 °C | 25–55 |
| [30] | Jatropha seed oil | MWCNTs | 0.2–0.8 wt% | 6.76 at 65 °C | 25–65 |
| [20] | SAE 20 W50 | MWCNTs | 0.1–0.5 wt% | 22.7 at 20 °C | Just 20 |
| [31] | Drilling oil | Bentonite | 1–2 | 8.05 at 25.6 °C | 25.6–120.1 |
| [32] | Vegetable oil | Cu | 0.1–0.5 | 13.97 at 30 °C | Just 30 |
Publisher’s Note: MDPI stays neutral with regard to jurisdictional claims in published maps and institutional affiliations. |
© 2021 by the authors. Licensee MDPI, Basel, Switzerland. This article is an open access article distributed under the terms and conditions of the Creative Commons Attribution (CC BY) license (https://creativecommons.org/licenses/by/4.0/).
Share and Cite
Ranjbarzadeh, R.; Chaabane, R. Experimental Study of Thermal Properties and Dynamic Viscosity of Graphene Oxide/Oil Nano-Lubricant. Energies 2021, 14, 2886. https://doi.org/10.3390/en14102886
Ranjbarzadeh R, Chaabane R. Experimental Study of Thermal Properties and Dynamic Viscosity of Graphene Oxide/Oil Nano-Lubricant. Energies. 2021; 14(10):2886. https://doi.org/10.3390/en14102886
Chicago/Turabian StyleRanjbarzadeh, Ramin, and Raoudha Chaabane. 2021. "Experimental Study of Thermal Properties and Dynamic Viscosity of Graphene Oxide/Oil Nano-Lubricant" Energies 14, no. 10: 2886. https://doi.org/10.3390/en14102886
APA StyleRanjbarzadeh, R., & Chaabane, R. (2021). Experimental Study of Thermal Properties and Dynamic Viscosity of Graphene Oxide/Oil Nano-Lubricant. Energies, 14(10), 2886. https://doi.org/10.3390/en14102886

