A Multi-Tone Rectenna System for Wireless Power Transfer
Abstract
1. Introduction
1.1. Challenges, Opportunities, and Applications
1.2. State-of-the-Art
1.3. Related Work
2. Architecture Overview and Design
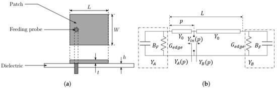
2.1. Antenna Design
| Algorithm 1: Design procedure of a squared patch antenna |
![]() |
2.2. Equivalent RLC Resonator Circuit
2.3. Rectifier Efficiency Calculation
2.4. Analytical Model of the Proposed WPT System
3. Simulation
3.1. Simulation Model
3.2. Comparison with Respect to the State-of-the-Art: Simulation Results
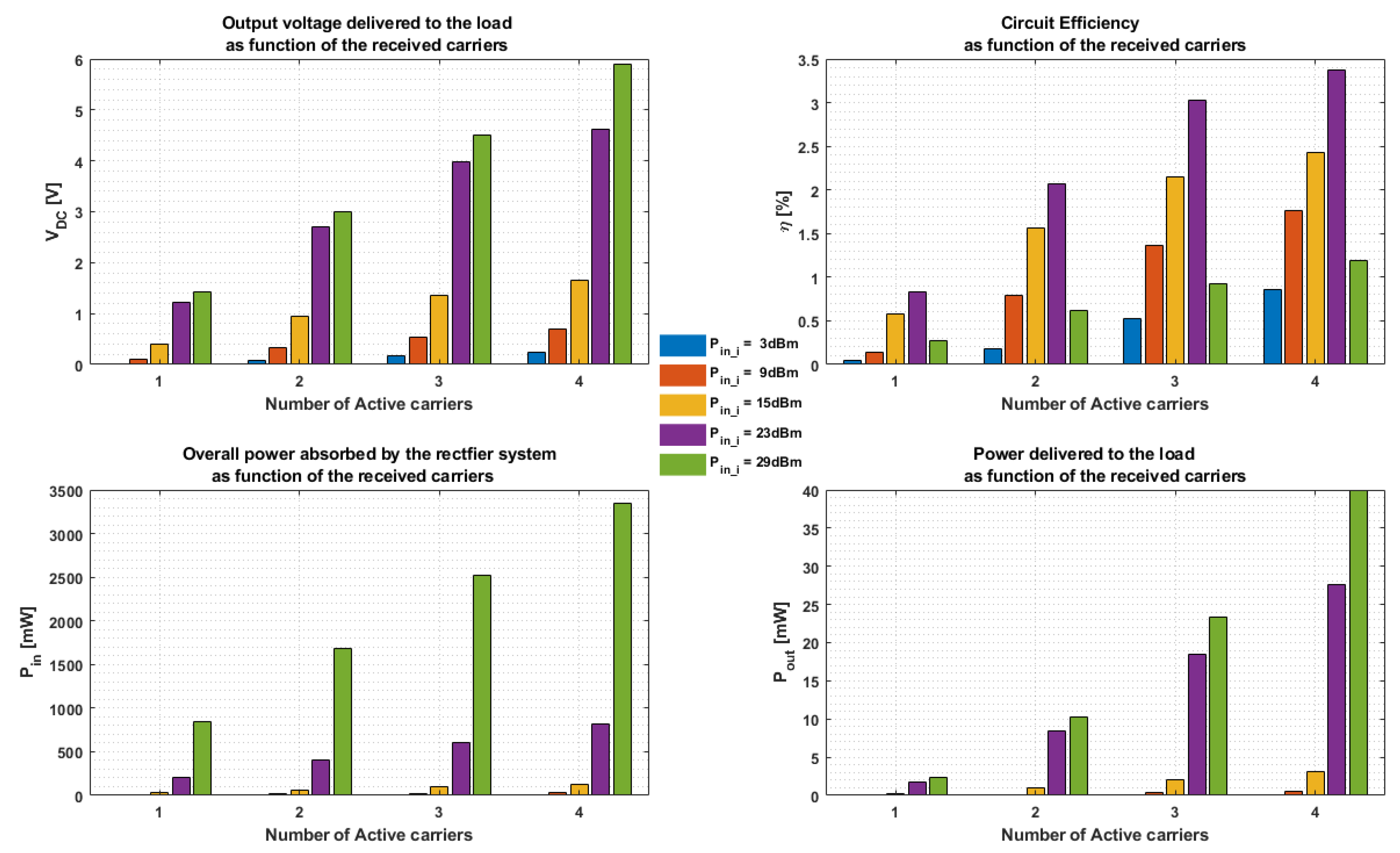
3.3. Characterization of the Proposed Model
4. Validation and Measurements
4.1. Rectennas Design and Characterization
4.2. Experimental Results
5. Conclusions and Future Perspectives
Author Contributions
Funding
Conflicts of Interest
References
- Akan, O.B.; Cetinkaya, O.; Koca, C.; Ozger, M. Internet of Hybrid Energy Harvesting Things. IEEE Internet Things J. 2018, 5, 736–746. [Google Scholar] [CrossRef]
- Ciccia, S.; Giordanengo, G.; Vecchi, G. Energy Efficiency in IoT Networks: Integration of Reconfigurable Antennas in Ultra Low-Power Radio Platforms Based on System-on-Chip. IEEE Internet Things J. 2019, 6, 6800–6810. [Google Scholar] [CrossRef]
- Congedo, F.; Monti, G.; Tarricone, L.; Bella, V. A 2.45-GHz Vivaldi Rectenna for the Remote Activation of an End Device Radio Node. IEEE Sens. J. 2013, 13, 3454–3461. [Google Scholar] [CrossRef]
- Mishra, D.; De, S.; Jana, S.; Basagni, S.; Chowdhury, K.; Heinzelman, W. Smart RF energy harvesting communications: Challenges and opportunities. IEEE Commun. Mag. 2004, 53, 70–78. [Google Scholar] [CrossRef]
- Kim, S.; Vyas, R.; Bito, J.; Niotaki, K.; Collado, A.; Georgiadis, A.; Tentzeris, M.M. Ambient RF Energy-Harvesting Technologies for Self-Sustainable Standalone Wireless Sensor Platforms. Proc. IEEE 2014, 102, 1649–1666. [Google Scholar] [CrossRef]
- Cetinkaya, O.; Akan, O.B. Electric-Field Energy Harvesting in Wireless Networks. IEEE Wirel. Commun. 2017, 24, 34–41. [Google Scholar] [CrossRef]
- Visser, H.J.; Vullers, R.J.M. RF Energy Harvesting and Transport for Wireless Sensor Network Applications: Principles and Requirements. Proc. IEEE 2013, 101, 1410–1423. [Google Scholar] [CrossRef]
- Vyas, R.J.; Cook, B.B.; Kawahara, Y.; Tentzeris, M.M. E-WEHP: A Batteryless Embedded Sensor-Platform Wirelessly Powered From Ambient Digital-TV Signals. IEEE Trans. Microw. Theory Tech. 2013, 61, 2491–2505. [Google Scholar] [CrossRef]
- Kang, S.; Lee, H.; Jang, S.; Kim, H.; Lee, I. Dynamic Time Switching for MIMO Wireless Information and Power Transfer. IEEE Trans. Commun. 2019, 67, 3978–3990. [Google Scholar] [CrossRef]
- Vita, G.D.; Iannaccone, G. Design criteria for the RF section of UHF and microwave passive RFID transponders. IEEE Trans. Microw. Theory Tech. 2005, 53, 2978–2990. [Google Scholar] [CrossRef]
- Lee, J.W.; Phan, N.D.; Vo, D.H.T.; Duong, V.H. A Fully Integrated EPC Gen-2 UHF-Band Passive Tag IC Using an Efficient Power Management Technique. IEEE Trans. Ind. Electron. 2014, 61, 2922–2932. [Google Scholar] [CrossRef]
- Valenta, C.R.; Durgin, G.D. Harvesting Wireless Power: Survey of Energy-Harvester Conversion Efficiency in Far-Field, Wireless Power Transfer Systems. IEEE Microw. Mag. 2013, 15, 108–120. [Google Scholar]
- Curina, C.; Ciccia, S.; Righero, M.; Giordanengo, G.; Vecchi, G. Antenna impedance optimization for wireless power transfer applications. In Proceedings of the IEEE International Symposium on Antennas and Propagation and USNC-URSI Radio Science Meeting, Boston, MA, USA, 8–13 July 2018. [Google Scholar]
- Sun, H.; Guo, X.Y.; He, M.; Zhong, Z. Design of a High-Efficiency 2.45-GHz Rectenna for Low-Input-Power Energy Harvesting. IEEE Antennas Wirel. Propag. Lett. 2012, 11, 929–932. [Google Scholar]
- Karthaus, U.; Fischer, M. Fully integrated passive UHF RFID transponder IC with 16.7-μW minimum RF input power. IEEE J. Solid-State Circuits 2003, 38, 1602–1608. [Google Scholar] [CrossRef]
- Olgun, U.; Chen, C.C.; Volakis, J.L. Investigation of Rectenna Array Configurations for Enhanced RF Power Harvesting. IEEE Antennas Wirel. Propag. Lett. 2011, 10, 262–265. [Google Scholar] [CrossRef]
- Chen, Y.S.; Chiu, C.W. Maximum Achievable Power Conversion Efficiency Obtained Through an Optimized Rectenna Structure for RF Energy Harvesting. IEEE Trans. Antennas Propag. 2017, 65, 2305–2317. [Google Scholar] [CrossRef]
- Siniscalchi, M.; Pieruccioni, A.; Vanzini, F.; Reyes, L.; Barboni, L. Schottky Diode Assessment for Implementing a Rectenna for Radio-Triggered Wireless Sensor Networks. IEEE Microw. Wirel. Compon. Lett. 2017, 27, 763–765. [Google Scholar] [CrossRef]
- Marian, V.; Vollaire, C.; Verdier, J.; Allard, B. Potentials of an Adaptive Rectenna Circuit. IEEE Antennas Wirel. Propag. Lett. 2011, 10, 1393–1396. [Google Scholar] [CrossRef]
- Belo, D.; Ribeiro, D.C.; Pinho, P.; Carvalho, N.B. A Selective, Tracking, and Power Adaptive Far-Field Wireless Power Transfer System. IEEE Trans. Microw. Theory Tech. 2019, 67, 3856–3866. [Google Scholar] [CrossRef]
- Xie, F.; Yang, G.M.; Geyi, W. Optimal Design of an Antenna Array for Energy Harvesting. IEEE Antennas Wirel. Propag. Lett. 2013, 12, 155–158. [Google Scholar] [CrossRef]
- Karimkashi, S.; Kishk, A.A. Focused Microstrip Array Antenna Using a Dolph-Chebyshev Near-Field Design. IEEE Trans. Antennas Propag. 2009, 57, 3813–3820. [Google Scholar] [CrossRef]
- Song, C.; Huang, Y.; Zhou, J.; Zhang, J.; Yuan, S.; Carter, P. A High-Efficiency Broadband Rectenna for Ambient Wireless Energy Harvesting. IEEE Trans. Antennas Propag. 2013, 63, 3486–3495. [Google Scholar] [CrossRef]
- Pavone, D.; Buonanno, A.; D’Urso, M.; Corte, F.D. Design Considerations for Radio Frequency Energy Harvesting Devices. Prog. Electromagn. Res. B 2012, 45, 19–35. [Google Scholar] [CrossRef]
- Suh, Y.H.; Chang, K. A high-efficiency dual-frequency rectenna for 2.45- and 5.8-GHz wireless power transmission. IEEE Trans. Microw. Theory Tech. 2002, 50, 1784–1789. [Google Scholar] [CrossRef]
- Arrawatia, M.; Baghini, M.S.; Kumar, G. Broadband Bent Triangular Omnidirectional Antenna for RF Energy Harvesting. IEEE Antennas Wirel. Propag. Lett. 2016, 15, 36–39. [Google Scholar] [CrossRef]
- Hagerty, J.; Helmbrecht, F.; McCalpin, W.; Zane, R.; Popovic, Z. Recycling ambient microwave energy with broad-band rectenna arrays. IEEE Trans. Microw. Theory Tech. 2004, 52, 1014–1024. [Google Scholar] [CrossRef]
- Richards, W.; Lo, Y.; Harrison, D. An improved theory for microstrip antennas and applications. IEEE Trans. Microw. Theory Tech. 2004, 29, 38–46. [Google Scholar]
- Pozar, D.M. Microstrip antennas. Proc. IEEE 1992, 80, 79–91. [Google Scholar] [CrossRef]
- Dearnley, R.; Barel, A. A broad-band transmission line model for a rectangular microstrip antenna. IEEE Trans. Antennas Propag. 1989, 37, 6–15. [Google Scholar] [CrossRef]
- Milligan, T.A. Modern Antenna Design, Chapter Microstrip Antennas, 2nd ed.; John Wiley and Sons, Inc.: Hoboken, NJ, USA, 2005; pp. 285–334. [Google Scholar]
- Kara, M. The calculation of the input resistance of rectangular microstrip antenna elements with various substrate thicknesses. Microw. Opt. Technol. Lett. 1996, 13, 137–142. [Google Scholar] [CrossRef]
- Manteghi, M. Analytical Calculation of Impedance Matching for Probe-Fed Microstrip Patch Antenna. IEEE Trans. Antennas Propag. 2009, 57, 3972–3975. [Google Scholar] [CrossRef]
- Premoli, A.; Storace, M. Two-Port Ideal Power Transferitors: A Unified Introduction to Ideal Transformer and Gyrator. IEEE Trans. Circuits Syst. II Express Brief 2004, 51, 426–429. [Google Scholar] [CrossRef]











© 2020 by the authors. Licensee MDPI, Basel, Switzerland. This article is an open access article distributed under the terms and conditions of the Creative Commons Attribution (CC BY) license (http://creativecommons.org/licenses/by/4.0/).
Share and Cite
Ciccia, S.; Scionti, A.; Franco, G.; Giordanengo, G.; Terzo, O.; Vecchi, G. A Multi-Tone Rectenna System for Wireless Power Transfer. Energies 2020, 13, 2374. https://doi.org/10.3390/en13092374
Ciccia S, Scionti A, Franco G, Giordanengo G, Terzo O, Vecchi G. A Multi-Tone Rectenna System for Wireless Power Transfer. Energies. 2020; 13(9):2374. https://doi.org/10.3390/en13092374
Chicago/Turabian StyleCiccia, Simone, Alberto Scionti, Giuseppe Franco, Giorgio Giordanengo, Olivier Terzo, and Giuseppe Vecchi. 2020. "A Multi-Tone Rectenna System for Wireless Power Transfer" Energies 13, no. 9: 2374. https://doi.org/10.3390/en13092374
APA StyleCiccia, S., Scionti, A., Franco, G., Giordanengo, G., Terzo, O., & Vecchi, G. (2020). A Multi-Tone Rectenna System for Wireless Power Transfer. Energies, 13(9), 2374. https://doi.org/10.3390/en13092374


