Reactive Power Injection to Mitigate Frequency Transients Using Grid Connected PV Systems
Abstract
1. Introduction
2. The Proposed Ancillary Service
2.1. Scope and Comparison with VSG
2.2. Working Principle
3. Numerical Simulations: Comparison between Proposed Method and VSG
3.1. The Microgrid under Test
3.2. Control Methods
3.2.1. Proposed Q/f Control
3.2.2. VSG Control
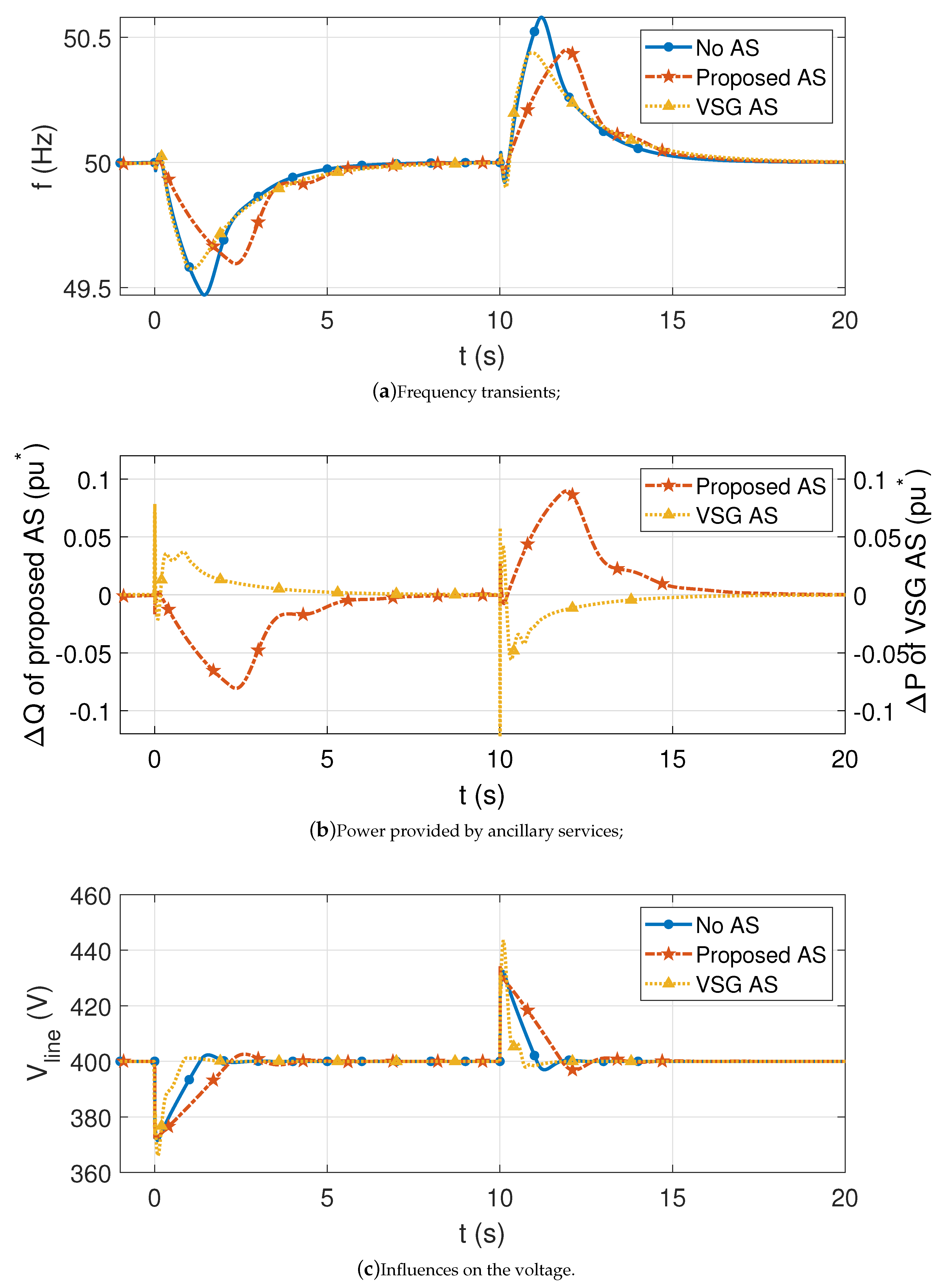
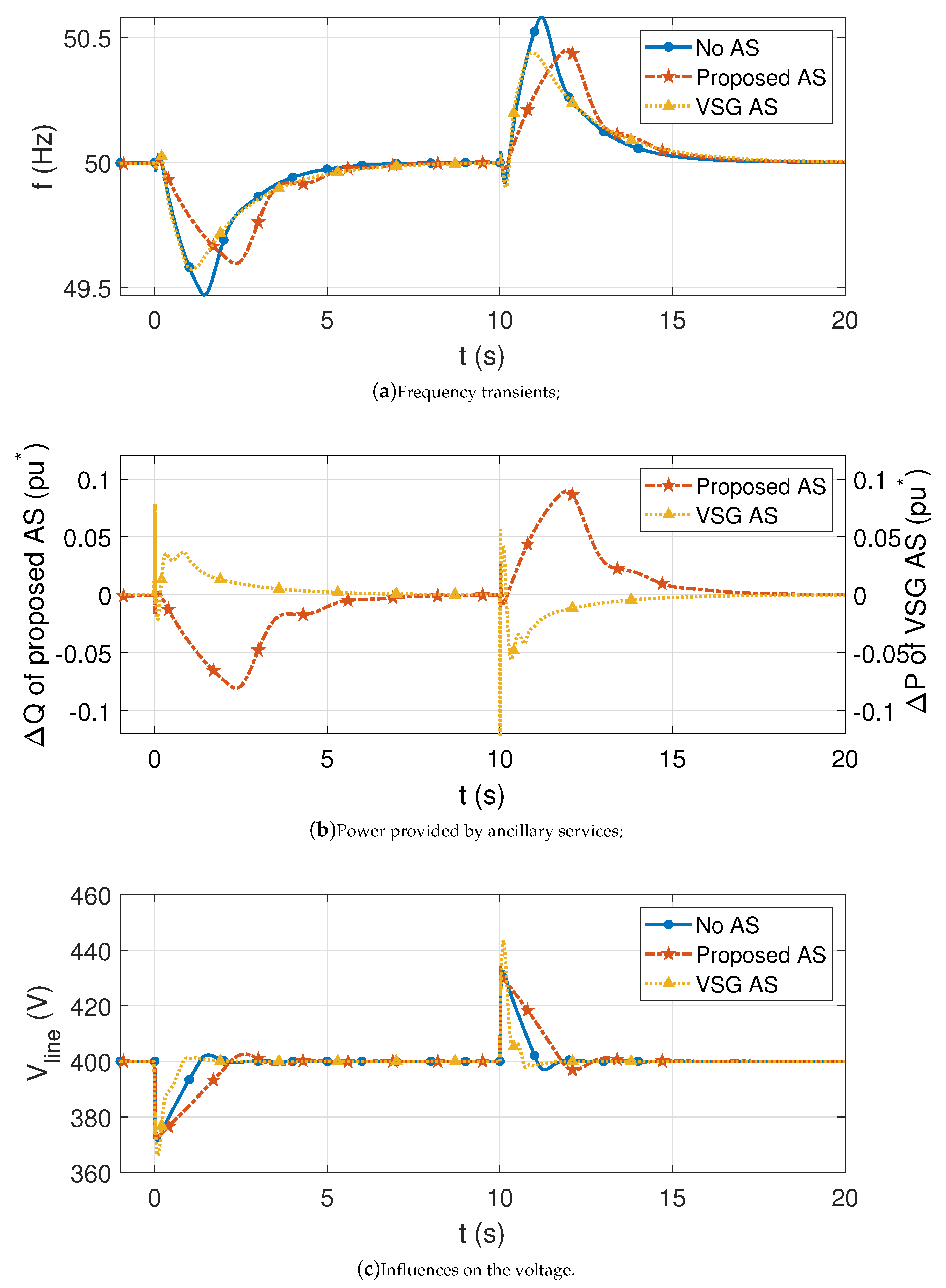
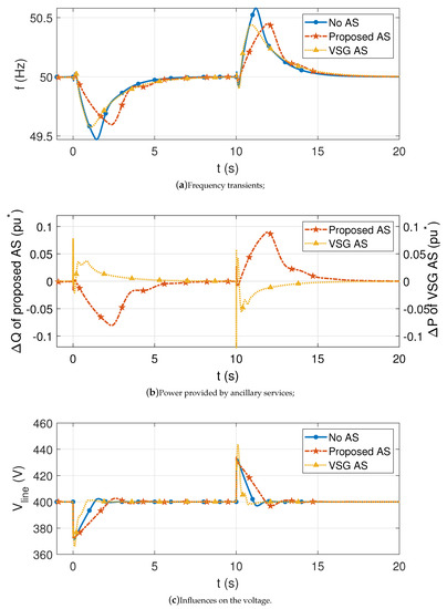
3.2.3. Test Condition and Results
3.2.4. Stability Analisys of the Proposed Q/f Control
4. CHIL Simulation Results
4.1. CHIL Platform of Microgrid
4.1.1. Real-Time Microgrid
4.1.2. Interface and Real-Time Control
4.2. Exposed Control Problem
4.3. Final Test Results
5. Conclusions
Author Contributions
Funding
Conflicts of Interest
References
- Chicco, G.; Mancarella, P. Distributed multi-generation: A comprehensive view. Renew. Sustain. Energy Rev. 2009, 13, 535–551. [Google Scholar] [CrossRef]
- Llaria, A.; Curea, O.; Jiménez, J.; Camblong, H. Survey on microgrids: Unplanned islanding and related inverter control techniques. Renew. Energy 2011, 36, 2052–2061. [Google Scholar] [CrossRef]
- Georgilakis, P.S.; Hatziargyriou, N.D. A review of power distribution planning in the modern power systems era: Models, methods and future research. Electr. Power Syst. Res. 2015, 121, 89–100. [Google Scholar] [CrossRef]
- D’Arco, S.; Suul, J.A.; Fosso, O.B. A Virtual Synchronous Machine implementation for distributed control of power converters in SmartGrids. Electr. Power Syst. Res. 2015, 122, 180–197. [Google Scholar] [CrossRef]
- Lopes, J.P.; Hatziargyriou, N.; Mutale, J.; Djapic, P.; Jenkins, N. Integrating distributed generation into electric power systems: A review of drivers, challenges and opportunities. Electr. Power Syst. Res. 2007, 77, 1189–1203, Distributed Generation. [Google Scholar] [CrossRef]
- Carrasco, J.M.; Franquelo, L.G.; Bialasiewicz, J.T.; Galvan, E.; PortilloGuisado, R.C.; Prats, M.A.M.; Leon, J.I.; Moreno-Alfonso, N. Power-Electronic Systems for the Grid Integration of Renewable Energy Sources: A Survey. IEEE Trans. Ind. Electron. 2006, 53, 1002–1016. [Google Scholar] [CrossRef]
- Blaabjerg, F.; Teodorescu, R.; Liserre, M.; Timbus, A.V. Overview of Control and Grid Synchronization for Distributed Power Generation Systems. IEEE Trans. Ind. Electron. 2006, 53, 1398–1409. [Google Scholar] [CrossRef]
- Rocabert, J.; Luna, A.; Blaabjerg, F.; Rodríguez, P. Control of Power Converters in AC Microgrids. IEEE Trans. Power Electron. 2012, 27, 4734–4749. [Google Scholar] [CrossRef]
- Hossain, M.A.; Pota, H.R.; Hossain, M.J.; Blaabjerg, F. Evolution of microgrids with converter-interfaced generations: Challenges and opportunities. Int. J. Electr. Power Energy Syst. 2019, 109, 160–186. [Google Scholar] [CrossRef]
- Yang, Y.; Blaabjerg, F.; Wang, H. Low-Voltage Ride-Through of Single-Phase Transformerless Photovoltaic Inverters. IEEE Trans. Ind. Appl. 2014, 50, 1942–1952. [Google Scholar] [CrossRef]
- Stetz, T.; Marten, F.; Braun, M. Improved Low Voltage Grid-Integration of Photovoltaic Systems in Germany. IEEE Trans. Sustain. Energy 2013, 4, 534–542. [Google Scholar] [CrossRef]
- Hossain, M.; Pota, H.; Hossain, M.; Haruni, A. Active power management in a low-voltage islanded microgrid. Int. J. Electr. Power Energy Syst. 2018, 98, 36–47. [Google Scholar] [CrossRef]
- Engler, A.; Soultanis, N. Droop control in LV-grids. In Proceedings of the 2005 International Conference on Future Power Systems, Amsterdam, NL, USA, 18 November 2005; p. 6. [Google Scholar] [CrossRef]
- Yu, X.; Khambadkone, A.M.; Wang, H.; Terence, S.T.S. Control of Parallel-Connected Power Converters for Low-Voltage Microgrid—Part I: A Hybrid Control Architecture. IEEE Trans. Power Electron. 2010, 25, 2962–2970. [Google Scholar] [CrossRef]
- Moradi, M.H.; Eskandari, M.; Hosseinian, S.M. Cooperative control strategy of energy storage systems and micro sources for stabilizing microgrids in different operation modes. Int. J. Electr. Power Energy Syst. 2016, 78, 390–400. [Google Scholar] [CrossRef]
- Vandoorn, T.L.; Kooning, J.D.D.; Meersman, B.; Zwaenepoel, B. Control of storage elements in an islanded microgrid with voltage-based control of DG units and loads. Int. J. Electr. Power Energy Syst. 2015, 64, 996–1006. [Google Scholar] [CrossRef]
- De Brabandere, K.; Bolsens, B.; Van den Keybus, J.; Woyte, A.; Driesen, J.; Belmans, R. A Voltage and Frequency Droop Control Method for Parallel Inverters. IEEE Trans. Power Electron. 2007, 22, 1107–1115. [Google Scholar] [CrossRef]
- Guerrero, J.M.; De Vicuna, L.G.; Matas, J.; Castilla, M.; Miret, J. Output impedance design of parallel-connected UPS inverters with wireless load-sharing control. IEEE Trans. Ind. Electron. 2005, 52, 1126–1135. [Google Scholar] [CrossRef]
- He, J.; Li, Y.W. Analysis, Design, and Implementation of Virtual Impedance for Power Electronics Interfaced Distributed Generation. IEEE Trans. Ind. Appl. 2011, 47, 2525–2538. [Google Scholar] [CrossRef]
- Kim, J.; Guerrero, J.M.; Rodriguez, P.; Teodorescu, R.; Nam, K. Mode Adaptive Droop Control With Virtual Output Impedances for an Inverter-Based Flexible AC Microgrid. IEEE Trans. Power Electron. 2011, 26, 689–701. [Google Scholar] [CrossRef]
- Anderson, P.M.; Fouad, A.A. Power System Control and Stability; IEEE Press: Piscataway, NJ, US, 2003. [Google Scholar]
- Pulendran, S.; Tate, J. Energy storage system control for prevention of transient under-frequency load shedding. In Proceedings of the 2017 IEEE Power Energy Society General Meeting, Chicago, IL, USA, 16–20 July 2017; p. 1. [Google Scholar] [CrossRef]
- Wen, Y.; Li, W.; Huang, G.; Liu, X. Frequency dynamics constrained unit commitment with battery energy storage. In Proceedings of the 2017 IEEE Power Energy Society General Meeting, Chicago, IL, USA, 16–20 July 2017; p. 1. [Google Scholar] [CrossRef]
- Barcellona, S.; Huo, Y.; Niu, R.; Piegari, L.; Ragaini, E. Control strategy of virtual synchronous generator based on virtual impedance and band-pass damping. In Proceedings of the 2016 International Symposium on Power Electronics, Electrical Drives, Automation and Motion (SPEEDAM), Anacapri, Italy, 22–24 June 2016; pp. 1354–1362. [Google Scholar] [CrossRef]
- Liu, J.; Hossain, M.; Lu, J.; Rafi, F.; Li, H. A hybrid AC/DC microgrid control system based on a virtual synchronous generator for smooth transient performances. Electr. Power Syst. Res. 2018, 162, 169–182. [Google Scholar] [CrossRef]
- Tan, J.; Zhang, Y. Coordinated Control Strategy of a Battery Energy Storage System to Support a Wind Power Plant Providing Multi-Timescale Frequency Ancillary Services. IEEE Trans. Sustain. Energy 2017, 8, 1140–1153. [Google Scholar] [CrossRef]
- Johnson, J.; Neely, J.C.; Delhotal, J.J.; Lave, M. Photovoltaic Frequency–Watt Curve Design for Frequency Regulation and Fast Contingency Reserves. IEEE J. Photovolt. 2016, 6, 1611–1618. [Google Scholar] [CrossRef]
- Ochoa, D.; Martinez, S. Fast-Frequency Response Provided by DFIG-Wind Turbines and its Impact on the Grid. IEEE Trans. Power Syst. 2017, 32, 4002–4011. [Google Scholar] [CrossRef]
- Schleif, F.R.; Hunkins, H.D.; Martin, G.E.; Hattan, E.E. Excitation Control to Improve Powerline Stability. IEEE Trans. Power Appar. Syst. 1968, PAS-87, 1426–1434. [Google Scholar] [CrossRef]
- Larsen, E.V.; Chow, J.S. SVC Control Design Concepts for Dystem Dynamic Performance; IEEE Press: Piscataway, NJ, USA, 2003. [Google Scholar]
- Zhao, Q.; Jiang, J. Robust SVC controller design for improving power system damping. IEEE Trans. Power Syst. 1995, 10, 1927–1932. [Google Scholar] [CrossRef]
- Noroozian, M.; Ghandhari, M.; Andersson, G.; Gronquist, J.; Hiskens, I. A robust control strategy for shunt and series reactive compensators to damp electromechanical oscillations. IEEE Trans. Power Deliv. 2001, 16, 812–817. [Google Scholar] [CrossRef]
- Liu, Q.; Vittal, V.; Elia, N. LPV supplementary damping controller design for a thyristor controlled series capacitor (TCSC) device. IEEE Trans. Power Syst. 2006, 21, 1242–1249. [Google Scholar] [CrossRef]
- Zhang, S.; Vittal, V. Design of Wide-Area Power System Damping Controllers Resilient to Communication Failures. IEEE Trans. Power Syst. 2013, 28, 4292–4300. [Google Scholar] [CrossRef]
- Moeini, A.; Kamwa, I. Analytical Concepts for Reactive Power Based Primary Frequency Control in Power Systems. IEEE Trans. Power Syst. 2016, 31, 4217–4230. [Google Scholar] [CrossRef]
- Li, Y.; Li, Y.W. Power Management of Inverter Interfaced Autonomous Microgrid Based on Virtual Frequency-Voltage Frame. IEEE Trans. Smart Grid 2011, 2, 30–40. [Google Scholar] [CrossRef]
- Sun, M.; Jia, Q. A Novel Frequency Regulation Strategy for Single-Stage Grid-Connected PV Generation. In Proceedings of the 2018 2nd IEEE Conference on Energy Internet and Energy System Integration (EI2), Bejing, China, 20–22 October 2018; pp. 1–6. [Google Scholar] [CrossRef]
- Dspace Manual. Available online: http://www.dspace.com. (accessed on 1 December 2019).
- Typhoon Hil manual. Available online: https://www.typhoon-hil.com. (accessed on 1 December 2019).
- Ren, W.; Steurer, M.; Baldwin, T.L. Improve the Stability and the Accuracy of Power Hardware-in-the-Loop Simulation by Selecting Appropriate Interface Algorithms. IEEE Trans. Ind. Appl. 2008, 44, 1286–1294. [Google Scholar] [CrossRef]
- Wang, J.; Song, Y.; Li, W.; Guo, J.; Monti, A. Development of a Universal Platform for Hardware In-the-Loop Testing of Microgrids. IEEE Trans. Ind. Inf. 2014, 10, 2154–2165. [Google Scholar] [CrossRef]
- Fitzgerald, A.E. Electric Machinery, 6th ed.; McGraw-Hill: New York, NY, USA, 2002. [Google Scholar]
















| SG Model Based VSG | Proposed Method | |
|---|---|---|
| working principle | ) or | |
| effective power | Q | |
| extra reserve? | Yes | No |
| expected effect | compensating load power | impeding voltage recovery |
| other features | responds to , early instability concerns | responds to , later high loop speed required |
| Common Base Values | |
|---|---|
| Base voltage | |
| Base angular frequency | |
| Synchronous Generator | |
| Base stator current | |
| Base impedance | |
| Base stator inductance | |
| PV Plant | |
| Base output current | |
| Base impedance | |
| Base inductance | |
| Base capacitance | |
| VSG | |
| Base output current | |
| Base impedance | |
| Base inductance | |
| Base capacitance | |
| Configuration | |||
| Rotor type | Salient-pole | Stator windings | wye connection |
| Pole pairs | 2 | Friction factor | 0.16 Nms |
| Moment of inertia | 3.553 | ||
| Nominal Ratings | |||
| Power | 250 kVA | Voltage(rms line-line) | 400 V |
| Frequency | 50 Hz | 0.1 | |
| Parameters (pu) | |||
| (base values are calculated in Table 2–Synchronous Generator) | |||
| Stator resistance | 0.026 | Stator leakage inductance | 0.090 |
| Magnetizing inductance (d) | 2.750 | Magnetizing inductance (q) | 2.350 |
| Field winding resistance | 0.094 | Field winding leakage inductance | 147.262 |
| Damping resistance (d) | 0.292 | Damping inductance (d) | 1.982 |
| Damping resistance (q) | 0.066 | Damping inductance (q) | 0.305 |
| Approximate model | PI regulator |
| Setpoint | Amplitude of line-line voltage = 566 (V) |
| Output Signal | Field voltage (V) |
| Proportional coefficient | 15 |
| Integral coefficient | 80 |
| Output range | [0, 240] (V) |
| Approximate model | PI regulator |
| Setpoint | Rotor angular frequency = 157 (rad/s) |
| Output Signal | Mechanical torque (Nm) |
| Proportional coefficient | 70 |
| Integral coefficient | 51 |
| Output range | [0, 1600] (Nm) |
| Nominal Ratings of the PV plant | |||
| Power | 100 kW | Voltage(rms line-line) | 400 V |
| Frequency | 50 Hz | Switching frequency | 20 kHz |
| Parameters of the PV array @ STC | |||
| Maximum Power | 100 kW | ||
| Voltage @ MPP | 273.5 V | Current @ MPP | 368.3 A |
| Parameters of the output LCL Filter (pu) | |||
| (base values are calculated in Table 2–PV Plant) | |||
| Inverter side inductor | Inverter side resistor | ||
| Grid side inductor | Grid side resistor | ||
| Shunt capacitor | 0.272 | Shunt resistor | 0.049 |
| Nominal Ratings of the VSG | |||
| Power | 25 kW | Voltage(rms line-line) | 400 V |
| Frequency | 50 Hz | DC side voltage | 1 kV |
| Parameters of the output LCL Filter (pu) | |||
| (base values are calculated in Table 2–VSG) | |||
| Inverter side inductor | Inverter side resistor | ||
| Grid side inductor | Grid side resistor | ||
| Shunt capacitor | 1.089 | Shunt resistor | 0.012 |
| R/km | L/km | |||
|---|---|---|---|---|
| 78 mΩ/km | 238 μH/km | 0.1 km | 0.3 km | 0.1 km |
© 2020 by the authors. Licensee MDPI, Basel, Switzerland. This article is an open access article distributed under the terms and conditions of the Creative Commons Attribution (CC BY) license (http://creativecommons.org/licenses/by/4.0/).
Share and Cite
Huo, Y.; Barcellona, S.; Piegari, L.; Gruosso, G. Reactive Power Injection to Mitigate Frequency Transients Using Grid Connected PV Systems. Energies 2020, 13, 1998. https://doi.org/10.3390/en13081998
Huo Y, Barcellona S, Piegari L, Gruosso G. Reactive Power Injection to Mitigate Frequency Transients Using Grid Connected PV Systems. Energies. 2020; 13(8):1998. https://doi.org/10.3390/en13081998
Chicago/Turabian StyleHuo, Yujia, Simone Barcellona, Luigi Piegari, and Giambattista Gruosso. 2020. "Reactive Power Injection to Mitigate Frequency Transients Using Grid Connected PV Systems" Energies 13, no. 8: 1998. https://doi.org/10.3390/en13081998
APA StyleHuo, Y., Barcellona, S., Piegari, L., & Gruosso, G. (2020). Reactive Power Injection to Mitigate Frequency Transients Using Grid Connected PV Systems. Energies, 13(8), 1998. https://doi.org/10.3390/en13081998

