Neutral Current Reduction in Three-Phase Four-Wire Distribution Feeders by Optimal Phase Arrangement Based on a Full-Scale Net Load Model Derived from the FTU Data
Abstract
1. Introduction
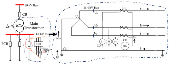
2. Problem Description and the Proposed Approach
2.1. The Solution Procedure of the Proposed Approach
2.2. Description of the Long Short Term Memory
2.3. Description of the Particle Swarm Optimization
2.4. The Computation Platform with the OpenDSS and Python
2.5. Optimal Phase Arrangement with the Multi-objective Function
3. Simulation and Analysis
3.1. Scenario and Simulation Parameter Setting
3.2. Numerical Results
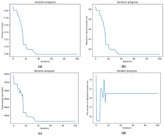
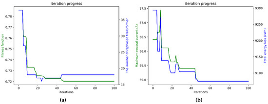
3.2.1. Iterative Convergence Trend
3.2.2. Neutral Current Profile
3.2.3. Line Current Profile
3.2.4. Bus Voltage Profile
3.2.5. Power Loss Profile
3.3. Discussion
4. Conclusions
Author Contributions
Funding
Acknowledgments
Conflicts of Interest
References
- Siddique, A.; Yadava, G.; Singh, B. Effects of voltage unbalance on induction motors. In Proceedings of the Conference Record of the 2004 IEEE International Symposium on Electrical Insulation ELINSL-04, Indianapolis, IN, USA, 19–22 September 2005; pp. 26–29. [Google Scholar]
- Weckx, S.; González, C.; Driesen, J. Reducing grid losses and voltage unbalance with PV inverters. In Proceedings of the 2014 IEEE PES General Meeting|Conference & Exposition; Institute of Electrical and Electronics Engineers (IEEE), National Harbor, MD, USA, 27–31 July 2014; pp. 1–5. [Google Scholar]
- Otcenasova, A.; Bolf, A.; Altus, J.; Regula, M. The Influence of Power Quality Indices on Active Power Losses in a Local Distribution Grid. Energies 2019, 12, 1389. [Google Scholar] [CrossRef]
- Farughian, A.; Kumpulainen, L.; Kauhaniemi, K. Earth Fault Location Using Negative Sequence Currents. Energies 2019, 12, 3759. [Google Scholar] [CrossRef]
- Lowczowski, K.; Lorenc, J.; Andruszkiewicz, J.; Nadolny, Z.; Zawodniak, J. Novel Earth Fault Protection Algorithm Based on MV Cable Screen Zero Sequence Current Filter. Energies 2019, 12, 3190. [Google Scholar] [CrossRef]
- Shao, W.; Bai, J.; Cheng, Y.; Zhang, Z.; Li, N. Research on a Faulty Line Selection Method Based on the Zero-Sequence Disturbance Power of Resonant Grounded Distribution Networks. Energies 2019, 12, 846. [Google Scholar] [CrossRef]
- Tu, C.-S.; Tsai, M.-T. Optimal Phase Arrangement of Distribution Transformers for System Unbalance Improvement and Loss Reduction. Energies 2020, 13, 545. [Google Scholar] [CrossRef]
- Chen, T.H.; Cherng, J.T. Optimal phase arrangement of distribution transformers connected to a primary feeder for system unbalance improvement and loss reduction using a genetic algorithm. In Proceedings of the 21st International Conference on Power Industry Computer Applications. Connecting Utilities. PICA 99. To the Millennium and Beyond (Cat. No. 99CH36351), Santa Clara, CA, USA, 21 May 1999; Volume 15, pp. 994–1000. [Google Scholar]
- Huang, M.-Y.; Chen, C.-S.; Lin, C.-H.; Kang, M.-S.; Chuang, H.-J.; Huang, C.-W. Three-phase balancing of distribution feeders using immune algorithm. IET Gener. Transm. Distrib. 2008, 2, 383–392. [Google Scholar] [CrossRef]
- Hooshmand, R.-A.; Soltani, S. Fuzzy Optimal Phase Balancing of Radial and Meshed Distribution Networks Using BF-PSO Algorithm. IEEE Trans. Power Syst. 2011, 27, 47–57. [Google Scholar] [CrossRef]
- Arias, J.; Calle, M.; Turizo, D.; Guerrero, J.; Candelo-Becerra, J.E. Historical Load Balance in Distribution Systems Using the Branch and Bound Algorithm. Energies 2019, 12, 1219. [Google Scholar] [CrossRef]
- Lin, C.-H.; Chen, C.; Chuang, H.-J.; Huang, M.-Y.; Huang, C.-W. An Expert System for Three-Phase Balancing of Distribution Feeders. IEEE Trans. Power Syst. 2008, 23, 1488–1496. [Google Scholar]
- Soltani, S.; Rashidinejad, M.; Abdollahi, A. Stochastic Multiobjective Distribution Systems Phase Balancing Considering Distributed Energy Resources. IEEE Syst. J. 2017, 12, 2866–2877. [Google Scholar] [CrossRef]
- Peng, C.; Xu, L.; Gong, X.; Sun, H.; Pan, L. Molecular Evolution Based Dynamic Reconfiguration of Distribution Networks With DGs Considering Three-Phase Balance and Switching Times. IEEE Trans. Ind. Inform. 2019, 15, 1866–1876. [Google Scholar] [CrossRef]
- Chen, C.; Tsai, C.-T.; Lin, C.-H.; Hsieh, W.-L.; Ku, T.-T. Loading Balance of Distribution Feeders With Loop Power Controllers Considering Photovoltaic Generation. IEEE Trans. Power Syst. 2011, 26, 1762–1768. [Google Scholar] [CrossRef]
- Huang, W.-T.; Chen, T.-H.; Chen, H.-T.; Yang, J.-S.; Lian, K.-L.; Chang, Y.-R.; Lee, Y.-D.; Ho, Y.-H. A Two-stage Optimal Network Reconfiguration Approach for Minimizing Energy Loss of Distribution Networks Using Particle Swarm Optimization Algorithm. Energies 2015, 8, 13894–13910. [Google Scholar] [CrossRef]
- Bouktif, S.; Fiaz, A.; Ouni, A.; Serhani, M.A. Multi-Sequence LSTM-RNN Deep Learning and Metaheuristics for Electric Load Forecasting. Energies 2020, 13, 391. [Google Scholar] [CrossRef]
- Yudantaka, K.; Kim, J.-S.; Song, H. Dual Deep Learning Networks Based Load Forecasting with Partial Real-Time Information and Its Application to System Marginal Price Prediction. Energies 2019, 13, 148. [Google Scholar] [CrossRef]
- Santra, A.S.; Lin, J.-L. Integrating Long Short-Term Memory and Genetic Algorithm for Short-Term Load Forecasting. Energies 2019, 12, 2040. [Google Scholar] [CrossRef]
- Tian, C.; Ma, J.; Zhang, C.; Zhan, P. A Deep Neural Network Model for Short-Term Load Forecast Based on Long Short-Term Memory Network and Convolutional Neural Network. Energies 2018, 11, 3493. [Google Scholar] [CrossRef]
- Kim, S.H.; Lee, G.; Kwon, G.-Y.; Kim, D.-I.; Shin, Y.-J. Deep Learning Based on Multi-Decomposition for Short-Term Load Forecasting. Energies 2018, 11, 3433. [Google Scholar] [CrossRef]
- OpenDSS-EPRI. Available online: https://www.epri.com/#/pages/sa/opendss?lang=en (accessed on 21 February 2020).
- Kim, H.; Kim, K.; Park, S.; Kim, H.; Kim, H. CoSimulating Communication Networks and Electrical System for Performance Evaluation in Smart Grid. Appl. Sci. 2018, 8, 85. [Google Scholar] [CrossRef]
- Xiao, H.; Pei, W.; Dong, Z.; Kong, L.; Wang, D. Application and Comparison of Metaheuristic and New Metamodel Based Global Optimization Methods to the Optimal Operation of Active Distribution Networks. Energies 2018, 11, 85. [Google Scholar] [CrossRef]
- Misra, R.; Paudyal, S.; Ceylan, O.; Mandal, P. Harmonic Distortion Minimization in Power Grids with Wind and Electric Vehicles. Energies 2017, 10, 932. [Google Scholar] [CrossRef]
- Martinez-Velasco, J.; Guerra, G. Reliability Analysis of Distribution Systems with Photovoltaic Generation Using a Power Flow Simulator and a Parallel Monte Carlo Approach. Energies 2016, 9, 537. [Google Scholar] [CrossRef]
- Chemali, E.; Kollmeyer, P.; Preindl, M.; Ahmed, R.; Emadi, A.; Kollmeyer, P. Long Short-Term Memory Networks for Accurate State-of-Charge Estimation of Li-ion Batteries. IEEE Trans. Ind. Electron. 2017, 65, 6730–6739. [Google Scholar] [CrossRef]
- Ospina, J.; Newaz, A.; Faruque, M.O. Forecasting of PV plant output using hybrid wavelet-based LSTM-DNN structure model. IET Renew. Power Gener. 2019, 13, 1087–1095. [Google Scholar] [CrossRef]
- Brownlee, J. Long Short-term Memory Networks with Python: Develop Sequence Prediction Models with Deep Learning; Machine Learning Mastery: Melbourne, Australia, 2017. [Google Scholar]
- Jamian, J.J.; Aman, M.M.; Mustafa, M.W.; Jasmon, G.B.; Mokhlis, H.; Bakar, A.H.A.; Abdullah, M.N. Optimum multi DG units placement and sizing based on voltage stability index and PSO. In Proceedings of the 2012 47th International Universities Power Engineering Conference (UPEC), Middlesex, UK, 4–7 September 2012; pp. 1–6. [Google Scholar]
- Montenegro, D.; Hernandez, M.; Ramos, G.; Montenegro-Martinez, D. Real time OpenDSS framework for distribution systems simulation and analysis. In Proceedings of the 2012 Sixth IEEE/PES Transmission and Distribution: Latin America Conference and Exposition (T&D-LA), Montevideo, Uruguay, 3–5 September 2012; pp. 1–5. [Google Scholar]





















| Case | Parameter | |||||||
|---|---|---|---|---|---|---|---|---|
| Swarm Size | Iterations | |||||||
| Case 1 | 100 | 100 | from 0.9 to 0.4 during iteration | 0.5 | 0.5 | 1 | 0 | 0 |
| Case 2 | 0.8 | 0 | 0.2 | |||||
| Case 3 | 0.4 | 0.3 | 0.3 | |||||
| Case 4 | 150 | 1 | 0 | 0 | ||||
| Case | Result | |||
|---|---|---|---|---|
| Fitness Function | Maximunm Neutral Current (A) | Total Energy Loss (kWh) | Rephasing Number | |
| Original | - | 72.17 | 11,317.21 | - |
| Case 1 | 0.678675 | 48.98 | 8261.55 | 30 |
| Case 2 | 0.720195 | 54.95 | 9074.69 | 18 |
| Case 3 | 0.699720 | 54.56 | 8980.33 | 20 |
| Case 4 | 0.691161 | 49.88 | 8636.6 | 26 |
| Connection | Original | Case 1 | Case 2 | Case 3 | Connection | Original | Case 1 | Case 2 | Case 3 | ||
|---|---|---|---|---|---|---|---|---|---|---|---|
| Bus No. | Bus No. | ||||||||||
| 6_1 | BC | BA | BC | BA | 21_11 | AB | AB | AB | AB | ||
| 11_4 | A | A | A | A | 21_13 | BC | BA | BA | BC | ||
| 11_5 | BC | AB | BC | BA | 21_14 | BC | BA | BC | BA | ||
| 11_6 | C | A | A | A | 21_15 | C | B | C | A | ||
| 11_7 | A | A | A | A | 27_1 | A | A | A | A | ||
| 11_9 | BC | BC | BC | BC | 27_7 | AC | BC | AC | AC | ||
| 11_10 | C | C | B | C | 28_1 | B | B | B | B | ||
| 11_12 | B | B | B | B | 30_0 | A | A | A | A | ||
| 11_16 | B | B | B | B | 33_2 | B | B | B | B | ||
| 11_17 | B | B | B | B | 36_0 | ABC | ABC | ABC | ABC | ||
| 11_27 | AB | AB | AB | AB | 35_1 | AB | AB | AB | AB | ||
| 11_28 | B | B | B | B | 38_2 | B | B | B | B | ||
| 13_1 | B | B | B | B | 38_3 | AC | AB | AC | AC | ||
| 13_9 | C | A | A | A | 38_5 | AC | AC | AC | AC | ||
| 13_10 | C | B | A | A | 38_6 | BC | BC | BC | BC | ||
| 15_2 | AC | AB | AC | AC | 39_0 | BC | BA | BC | BA | ||
| 15_3 | B | B | B | B | 40_3 | AC | AC | AC | AC | ||
| 15_4 | B | A | B | B | 40_4 | AC | AC | BC | AB | ||
| 16_2 | B | B | B | B | 40_5 | AC | AC | AC | AC | ||
| 16_7 | BC | BC | BA | BC | 40_27 | A | A | A | A | ||
| 16_10 | B | B | B | B | 40_28 | C | A | C | C | ||
| 16_15 | C | B | B | C | 40_31 | AC | AC | AC | AB | ||
| 16_20 | A | A | A | A | 40_33 | B | B | B | B | ||
| 17_20 | A | A | A | A | 40_34 | C | B | A | A | ||
| 17_22 | B | A | B | B | 47_0 | AC | AC | AC | AC | ||
| 17_23 | B | B | B | B | 49_1 | A | A | A | A | ||
| 17_25 | B | B | B | B | 50_0 | AC | BC | AB | AB | ||
| 17_26 | BC | AB | BA | BC | 51_0 | AC | AC | AC | AC | ||
| 18_0 | BC | AB | BA | BC | 54_0 | AC | AC | AC | AC | ||
| 19_0 | C | A | C | C | 54_2 | AC | AC | AC | BC | ||
| 19_4 | C | B | A | C | 54_6 | C | B | C | C | ||
| 19_5 | B | B | B | B | 54_10 | C | A | C | A | ||
| 19_7 | B | B | B | B | 54_11 | AB | AB | AB | AB | ||
| 19_8 | A | A | A | A | 54_12 | B | B | B | B | ||
| 19_9 | AB | AB | AB | AB | 54_13 | BC | BA | BA | BA | ||
| 20_3 | C | C | A | A | 54_14 | AB | AB | AB | AB | ||
| 20_9 | AC | AC | AC | AB | 54_15 | B | B | B | B | ||
| 20_10 | BC | BA | BA | BC | 54_16 | AC | BC | AB | BC | ||
| 20_11 | C | A | C | C | 57_0 | AC | AB | BC | BC | ||
| 21_9 | AC | AC | AC | AC | 57_1 | AC | BC | AC | AC | ||
| 21_10 | C | B | A | B | Note: Bus No._nth Transformer(lateral) | ||||||
© 2020 by the authors. Licensee MDPI, Basel, Switzerland. This article is an open access article distributed under the terms and conditions of the Creative Commons Attribution (CC BY) license (http://creativecommons.org/licenses/by/4.0/).
Share and Cite
Lee, Y.-D.; Jiang, J.-L.; Ho, Y.-H.; Lin, W.-C.; Chih, H.-C.; Huang, W.-T. Neutral Current Reduction in Three-Phase Four-Wire Distribution Feeders by Optimal Phase Arrangement Based on a Full-Scale Net Load Model Derived from the FTU Data. Energies 2020, 13, 1844. https://doi.org/10.3390/en13071844
Lee Y-D, Jiang J-L, Ho Y-H, Lin W-C, Chih H-C, Huang W-T. Neutral Current Reduction in Three-Phase Four-Wire Distribution Feeders by Optimal Phase Arrangement Based on a Full-Scale Net Load Model Derived from the FTU Data. Energies. 2020; 13(7):1844. https://doi.org/10.3390/en13071844
Chicago/Turabian StyleLee, Yih-Der, Jheng-Lun Jiang, Yuan-Hsiang Ho, Wei-Chen Lin, Hsin-Ching Chih, and Wei-Tzer Huang. 2020. "Neutral Current Reduction in Three-Phase Four-Wire Distribution Feeders by Optimal Phase Arrangement Based on a Full-Scale Net Load Model Derived from the FTU Data" Energies 13, no. 7: 1844. https://doi.org/10.3390/en13071844
APA StyleLee, Y.-D., Jiang, J.-L., Ho, Y.-H., Lin, W.-C., Chih, H.-C., & Huang, W.-T. (2020). Neutral Current Reduction in Three-Phase Four-Wire Distribution Feeders by Optimal Phase Arrangement Based on a Full-Scale Net Load Model Derived from the FTU Data. Energies, 13(7), 1844. https://doi.org/10.3390/en13071844

