The Influence of VSC–HVDC Reactive Power Control Mode on AC Power System Stability
Abstract
:1. Introduction
2. Analysis of the Influence of VSC Reactive Power Control Mode on the Stability of AC System
2.1. VSC-HVDC Reactive Power Control Mode
2.2. Influence of VSC Reactive Power Control Mode on Transient Angle Stability of Power System
2.3. Influence of VSC Reactive Power Control Mode on Dynamic Power Angle Stability of System
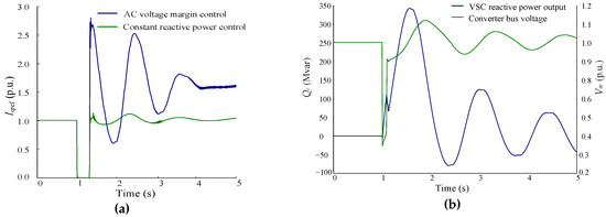
3. Case Study
- VSC-HVDC transmission system; its transmitted power is denoted as P1, and its rated power is 2000 MW.
- Medium-scale hydropower station connected to high-voltage power grid; it contains 4 × 460 MW units, and its output is denoted as P2.
- Small hydropower stations connected to low and medium voltage power grid; the power injected to the 500 kV grid is denoted as P3, and its maximum allowed value is 1000 MW.
3.1. The Influence of VSC-HVDC Reactive Power Control Mode on AC Power System Stability
3.2. The Influence of VSC-HVDC Reactive Power Control Mode on Dynamic Stability
4. Conclusions
- Compared with the constant reactive power control mode, VSC-HVDC with AC voltage margin control mode can provide voltage support during AC-side disturbances, which is beneficial to the recovery of bus voltage and transient stability of the whole system.
- Under AC voltage margin control mode, the reactive power fluctuation injected into the AC system by VSC-HVDC may have an adverse effect on power system oscillation damping. Parameters optimization of the VSC-HVDC reactive power controller is necessary based on the analysis of system oscillatory modes, especially for weak system.
Author Contributions
Funding
Conflicts of Interest
Nomenclature
| E∠δ | internal potential of generator |
| Pg | active power output of generator |
| Vc∠θc | voltage at AC-side of VSC-HVDC |
| Pc | active power output of VSC-HVDC |
| Xt | reactance of transmission line |
| ω | angular frequency of power angle |
| Pref | reference value of active power |
| Idref | reference for active current |
| Vac | voltage of AC bus |
| Iq | reactive current |
| Xg | equivalent reactance of generator |
| Qg | reactive power output of generator |
| Xc | commutated reactance of converter |
| Qc | reactive power output of VSC-HVDC |
| Vs∠θ | voltage at the point of common coupling |
| V | bus voltage of external infinite system |
| Qref | reference value of reactive power |
| Iqref | reference for reactive current |
| Vref | reference value of Vac |
| p.u. | per unit |
References
- Flourentzou, N.; Agelidis, V.G.; Demetriades, G.D. VSC-Based HVDC Power Transmission Systems: An Overview. IEEE Trans. Power Electron. 2009, 24, 592–602. [Google Scholar] [CrossRef]
- Bresesti, P.; Kling, W.L.; Hendriks, R.L.; Vailati, R. HVDC connection of offshore wind farms to the transmission system. IEEE Trans. Energy Convers. 2007, 22, 37–43. [Google Scholar] [CrossRef]
- Shah, R.; Sánchez, J.C.; Preece, R.; Barnes, M. Stability and control of mixed AC–DC systems with VSC-HVDC: A review. IET Gener. Trans. Distrib. 2018, 12, 2207–2219. [Google Scholar] [CrossRef]
- Li, G.J.; Lie, T.T.; Sun, Y.Z.; Ruan, S.Y.; Peng, L.; Li, X. Applications of VSC-Based HVDC in Power System Stability Enhancement. In Proceedings of the 2005 International Power Engineering Conference, Singapore, 29 November–2 December 2005; pp. 1–376. [Google Scholar] [CrossRef]
- Liu, Y.; Chen, Z. A Flexible Power Control Method of VSC-HVDC Link for the Enhancement of Effective Short-Circuit Ratio in a Hybrid Multi-Infeed HVDC System. IEEE Trans. Power Syst. 2013, 28, 1568–1581. [Google Scholar] [CrossRef]
- Renedo, J.; García-Cerrada, A.; Rouco, L. Reactive-Power Coordination in VSC-HVDC Multi-Terminal Systems for Transient Stability Improvement. IEEE Trans. Power Syst. 2017, 32, 3758–3767. [Google Scholar] [CrossRef]
- Shen, Y.; Yao, W.; Wen, J.Y.; He, H.; Chen, W. Adaptive Supplementary Damping Control of VSC-HVDC for Interarea Oscillation Using GrHDP. IEEE Trans. Power Syst. 2018, 33, 1777–1789. [Google Scholar] [CrossRef]
- Ajaei, F.B.; Iravani, R. Dynamic interactions of the MMC-HVDC grid and its host AC system due to AC-side disturbances. IEEE Trans. Power Deliv. 2016, 31, 1289–1298. [Google Scholar] [CrossRef]
- Du, W.J.; Wang, H.F.; Cheng, S.J.; Dunn, R. Effect of embedded voltage source converter on power system oscillation damping. Sci. China Technol. Sci. 2010, 53, 892–901. [Google Scholar] [CrossRef]
- Shah, R.; Preece, R.; Barnes, M. The Impact of Voltage Regulation of Multi-infeed VSC-HVDC on Power System Stability. IEEE Trans. Energy Convers. 2018, 33, 1614–1627. [Google Scholar] [CrossRef]
- Arunprasanth, S.; Annakkage, U.D.; Karawita, C.; Kuffel, R. Impact of VSC HVdc on AC System Generation. In Proceedings of the 13th IET International Conference on AC and DC Power Transmission, Manchester, UK, 14–16 February 2017; pp. 1–6. [Google Scholar] [CrossRef]
- Grdenić, G.; Delimar, M.; Beerten, J. Comparative Analysis on Small-Signal Stability of Multi-Infeed VSC HVDC System with Different Reactive Power Control Strategies. IEEE Access 2019, 7, 151724–151732. [Google Scholar] [CrossRef]
- Bernat, J.O.; Preece, R. Impact of VSC-HVDC Reactive Power Control Schemes on Voltage Stability. In Proceedings of the 2019 IEEE PowerTech, Milan, Italy, 23–27 June 2019; pp. 1–6. [Google Scholar] [CrossRef]
- Mochamad, R.F.; Preece, R. Assessing the Impact of VSC-HVDC on the Interdependence of Power System Dynamic Performance in Uncertain Mixed AC/DC Systems. IEEE Trans. Power Syst. 2020, 35, 63–74. [Google Scholar] [CrossRef]
- Shah, R.; Preece, R.; Barnes, M. Role of Multi-Infeed VSC-HVDC on Dynamic Behavior of Future North Scotland Transmission System. In Proceedings of the 13th IET International Conference on AC and DC Power Transmission, Manchester, UK, 14–16 February 2017; pp. 1–6. [Google Scholar] [CrossRef]
- Kazmierkowski, M.P.; Malesani, L. Current control techniques for three-phase voltage-source PWM converters: A survey. IEEE Trans. Power Electron. 1998, 45, 691–703. [Google Scholar] [CrossRef]








| Reactive Power Control Mode | P3 (MW) | P2 (MW) | P1 (MW) | Power Transfer Capacity of the System (MW) |
|---|---|---|---|---|
| AC voltage margin control | 1000 | 1840 | 1000 | 3820 |
| 1000 | 0 | 2000 | 2960 | |
| 350 | 1840 | 2000 | 4030 | |
| Constant reactive power control | 1000 | 1840 | 600 | 3420 |
| 1000 | 0 | 1000 | 1980 | |
| 200 | 1840 | 2000 | 3950 |
| Control Modes | Frequency (Hz) | Damping Ratio (%) |
|---|---|---|
| AC voltage margin control | 0.73 | −0.8 |
| Constant reactive power control | 0.72 | −0.6 |
© 2020 by the authors. Licensee MDPI, Basel, Switzerland. This article is an open access article distributed under the terms and conditions of the Creative Commons Attribution (CC BY) license (http://creativecommons.org/licenses/by/4.0/).
Share and Cite
Wang, Y.; Zhou, Y.; Li, D.; Shao, D.; Cao, K.; Zhou, K.; Cai, D. The Influence of VSC–HVDC Reactive Power Control Mode on AC Power System Stability. Energies 2020, 13, 1677. https://doi.org/10.3390/en13071677
Wang Y, Zhou Y, Li D, Shao D, Cao K, Zhou K, Cai D. The Influence of VSC–HVDC Reactive Power Control Mode on AC Power System Stability. Energies. 2020; 13(7):1677. https://doi.org/10.3390/en13071677
Chicago/Turabian StyleWang, Ying, Youbin Zhou, Dahu Li, Dejun Shao, Kan Cao, Kunpeng Zhou, and Defu Cai. 2020. "The Influence of VSC–HVDC Reactive Power Control Mode on AC Power System Stability" Energies 13, no. 7: 1677. https://doi.org/10.3390/en13071677
APA StyleWang, Y., Zhou, Y., Li, D., Shao, D., Cao, K., Zhou, K., & Cai, D. (2020). The Influence of VSC–HVDC Reactive Power Control Mode on AC Power System Stability. Energies, 13(7), 1677. https://doi.org/10.3390/en13071677
