Non-Cooperative Indirect Energy Trading with Energy Storage Systems for Mitigation of Demand Response Participation Uncertainty
Abstract
1. Introduction
2. Demand Response Participation of Buildings with ESS in South Korea
2.1. Demand Response in Korea
2.2. Operational Strategy of ESS for DR Participation
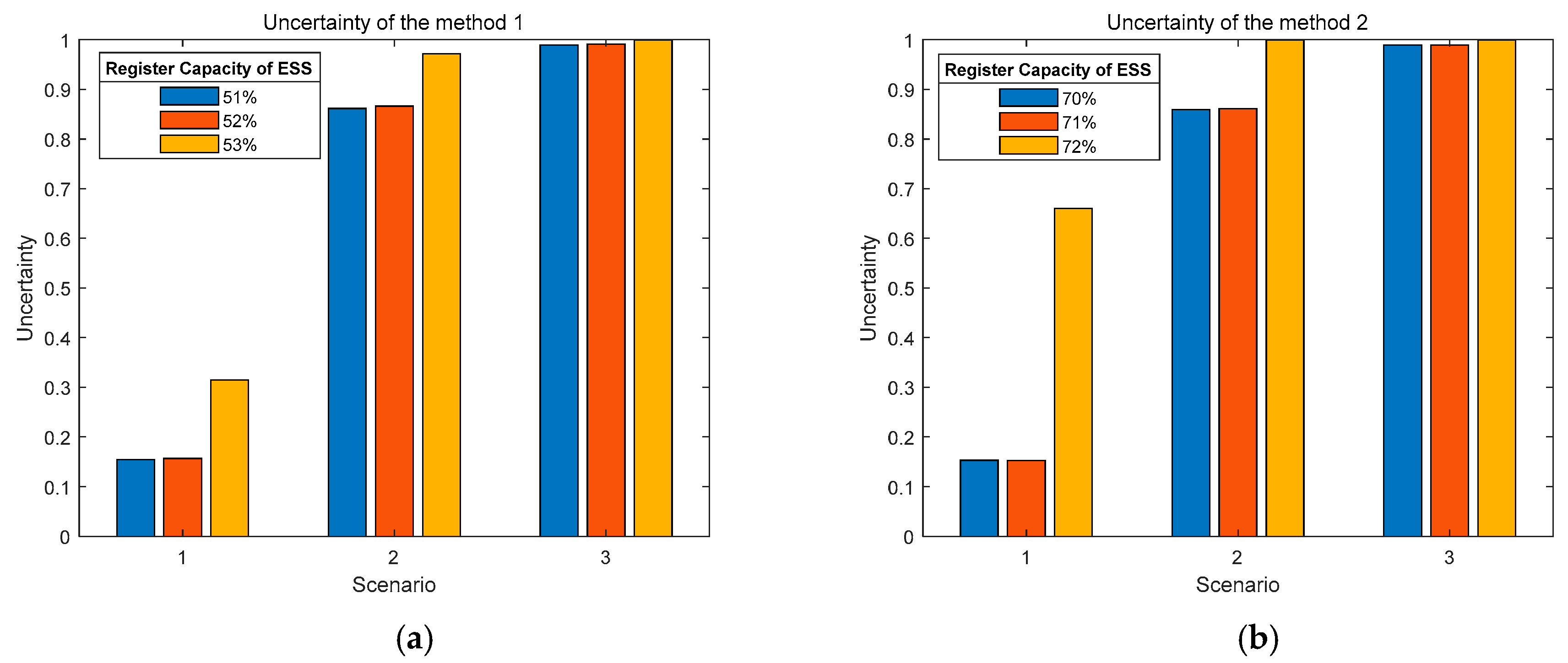
2.3. Uncertainty of DR Participation from Monte Carlo Simulation (MCS)
3. Indirect Energy Trading with the Non-Cooperative Game
3.1. Indirect Energy Trading with Incomplete Information
3.2. Non-Cooperative Game Framework
3.2.1. Components of the Non-Cooperative Game
3.2.2. Probability Distribution
3.2.3. Expected Payoff
4. Case Study and Results
4.1. Simulation Condition and Expected Payoff
4.2. Results in Strategic Form for N.E.
5. Conclusions
Author Contributions
Funding
Conflicts of Interest
References
- John, J.S. A How-to Guide for Transactive Energy; Greentech Media Inc.: Cambridge, MA, USA, 2013; Available online: http://www.greentechmedia.com/articles/read/a-how-to-guide-for-transactive-energy (accessed on 6 January 2020).
- GridWise Transactive Energy Framework Version 1.0; The GridWise Architecture Council, US Department of Energy: Washington, DC, USA, 2015; Available online: https://www.gridwiseac.org/pdfs/te_framework_report_pnnl-22946.pdf (accessed on 6 January 2020).
- International Renewable Energy Policy Change and Market Analysis, Report of Korea Energy Economics Institute. 2018. Available online: http://www.keei.re.kr/web_keei/d_results.nsf/0/66E351F39B9CC585492583CE00294E53/$file/%EA%B8%B0%EB%B3%B8%202018-27_%EA%B5%AD%EC%A0%9C%20%EC%8B%A0%EC%9E%AC%EC%83%9D%EC%97%90%EB%84%88%EC%A7%80%20%EC%A0%95%EC%B1%85%EB%B3%80%ED%99%94%20%EB%B0%8F%20%EC%8B%9C%EC%9E%A5%EB%B6%84%EC%84%9D.pdf (accessed on 30 January 2020).
- D’Hulst, R.; Labeeuw, W.; Beusen, B.; Claessens, S.; Deconinck, G.; Vanthournout, K. Demand response flexibility and flexibility potential of residential smart appliances: Experiences from large pilot test in Belgium. Appl. Energy 2015, 155, 79–90. [Google Scholar] [CrossRef]
- Benefits of Demand Response in Electricity Markets and Recommendations for Achieving Them. U.S. Department of Energy, 2016. Available online: https://www.smartgrid.gov/files/Benefits_Demand_Response_in_Electricity_Markets_Recommendati_200608.pdf (accessed on 6 January 2020).
- Demand Response Market Status and Operational Information. KPX, Korea. Available online: http://dr.kmos.kr/web/list.do?boardType=06 (accessed on 6 January 2020).
- Kang, J.; Lee, S. Data-driven prediction of load curtailment in incentive-based demand response system. Energies 2018, 11, 2905. [Google Scholar] [CrossRef]
- Lee, W.; Kang, B.O.; Jung, J. Development of the energy storage system scheduling algorithm for simultaneous self-consumption and demand response program participation in South Korea. Energy 2018, 161, 963–973. [Google Scholar] [CrossRef]
- Kang, B.O.; Hwang, B.G.; Kwon, K.; Jung, J.S. Operational strategy of energy storage system (ESS) to participate in demand response (DR) market for industrial customer. New. Renew. Energy 2017, 13, 4–12. [Google Scholar] [CrossRef]
- ISO. Guide to the Expression of Uncertainty in Measurement; Corrected and Reprinted in 1995; ISO: Geneva, Switzerland, 1993. [Google Scholar]
- Cox, M.; Harris, P. The Planned Supplemental Guide to the GUM: Numerical Methods for Propagating Distributions, National Physical Laboratory, UK, 2001. Available online: http://www.npl.co.uk/ssfm/index.html (accessed on 30 January 2020).
- Harrison, R.L. Introduction to Monte Carlo Simulation. AIP Conf. Proc. 2010, 1204, 17–21. [Google Scholar] [PubMed]
- Siebert, B.R.L. Monte-Carlo Methods: Scope and Limitations, Estimation of Measurement Uncertainty by Means of Monte-Carlo Integration; Physikalisch-Technische Bundesanstalt: Braunschweig, Germany, 2001. [Google Scholar]
- Dobney, A.; Klinkerberg, H.; Souren, F.; Van Borm, W. Uncertainty calculations for amount of chemical substance measurements performed by means of isotope dilution mass spectrometry as part of the PERM project. Anal. Chim. Acta 2000, 420, 89–94. [Google Scholar] [CrossRef]
- Hao, H. Modeling Dynamic Demand Response Using Monte Carlo Simulation and Interval Mathematics for Boundary Estimation. IEEE Trans. Smart Grid 2015, 6, 2704–2713. [Google Scholar] [CrossRef]
- Jonathan, A.S. Demand Response Contracts as Real Options: A Probabilistic Evaluation Framework Under Short-Term and Long-Term Uncertainties. IEEE Trans. Smart Grid 2016, 7, 868–878. [Google Scholar] [CrossRef]
- Heng, S. Data-Driven Uncertainty Quantification and Characterization for Household Energy Demand across Multiple Time-Scales. IEEE Trans. Smart Grid 2019, 10, 3092–3102. [Google Scholar] [CrossRef]
- Mohsenian-Rad, A.H.; Wong, V.W.S.; Jatskevich, J.; Schober, R.; Leon-Garcia, A. Autonomous demand side management based on game-theoretic energy consumption scheduling for the future smart grid. IEEE Trans. Smart Grid 2010, 1, 320–331. [Google Scholar] [CrossRef]
- Sheikhi, A.; Rayati, M.; Bahrami, S.; Ranjbar, A.M.; Sattari, S. A cloud computing framework on demand side management game in smart energy hubs. Electr. Power Energy Syst. 2015, 64, 1007–1016. [Google Scholar] [CrossRef]
- Serrano, R. Cooperative Games: Core and Shapley Value. In Encyclopedia of Complexity and Systems Science; Springer: Berlin, Germany, 2017; Available online: https://www.brown.edu/Departments/Economics/Faculty/serrano/pdfs/2008ECSS.pdf (accessed on 6 January 2020).
- Wang, H. Incentivizing energy trading for interconnected microgrids. IEEE Trans. Smart Grid 2018, 9, 2647–2657. [Google Scholar] [CrossRef]
- Li, J.; Wang, J.; Zhang, Y.J.A. Distributed transactive energy trading framework in distribution networks. IEEE Trans. Power Syst. 2018, 33, 7215–7227. [Google Scholar] [CrossRef]
- Kim, H.; Lee, J.; Bahrami, S.; Wong, V.W.S. Direct energy trading of microgrids in distribution energy market. IEEE Trans. Power Syst. 2020, 35, 639–651. [Google Scholar] [CrossRef]
- Adika, C.O.; Wang, L. Non-cooperative decentralized charging of homogeneous households’ batteries in a smart grid. IEEE Trans. Smart Grid 2014, 5, 1855–1863. Available online: https://arxiv.org/ftp/arxiv/papers/1911/1911.06500.pdf (accessed on 6 January 2020). [CrossRef]
- Wang, J.; Dou, X.; Guo, Y.; Shao, P.; Zhang, X. Purchase strategies for power retailers based on the non-cooperative game. Energy Procedia 2019, 158, 6652–6657. [Google Scholar] [CrossRef]
- Atzeni, I.; Ordonez, L.G.; Scutari, G.; Palomar, D.P.; Fonollosa, J.R. Noncooperative day-ahead bidding strategies for demand-side expected cost minimization with real-time adjustments: A GNEP approach. IEEE Trans. Sig. Process 2014, 62, 2397–2412. [Google Scholar] [CrossRef]
- Motalleb, M.; Ghorbani, R. Non-cooperative game-theoretic model of demand response aggregator competition for selling stored energy in storage devices. Appl. Energy 2017, 202, 581–596. [Google Scholar] [CrossRef]
- Wang, G.; Zhang, Q.; Li, H.; McLeellan, B.C.; Chen, S.; Li, Y.; Tian, Y. Study on the promotion impact of demand response on distributed PV penetration by using non-cooperative game theoretical analysis. Appl. Energy 2017, 185, 1869–1878. [Google Scholar] [CrossRef]
- Van de Schoot, R.; Broere, J.J.; Perryck, K.H.; Zondervan-Zwijnenburg, M.; van Loey, N.E. Analyzing small data sets using Bayesian estimation: The case of posttraumatic stress symptoms following mechanical ventilation in burn survivors. Eur. J. Psychotraumatol 2015, 6, 25216. [Google Scholar] [CrossRef] [PubMed]
- Electricity Market Rules, KPX. Available online: https://www.kpx.or.kr/eng/contents.do?key=299 (accessed on 6 January 2020).





| Year | 1st Year (14.12–15.11) | 2nd Year (15.12–16.11) | 3rd Year (16.12–17.11) | 4th Year (17.12–18.11) | Total |
|---|---|---|---|---|---|
| Total dispatch time [h] | 8 | 9 | 14 | 30.5 | 61.5 |
| Average dispatch time (duration) [h] | 2.334 | 2.25 | 2.143 | 1.961 | 2.098 |
| Capacity [GW] | 2.44 | 3.27 | 4.35 | 4.12 | - |
| Parameters | |
|---|---|
| DR event duration time [h] | 2 |
| Day of DR signal in scenario 1 [day/year] | 5 |
| Day of DR signal in scenario 2 [day/year] | 15 |
| Day of DR signal in scenario 3 [day/year] | 25 |
| Prediction Probability of DR event day [%] | 50 |
| Frequency | Scenario 1 (Rare) | Scenario 2 (Average) | Scenario 3 (Frequent) | |
|---|---|---|---|---|
| Capacity | ||||
| Strategy 1 (30%) | 0.011 | 0.227 | 0.535 | |
| Strategy 2 (50%) | 0.156 | 0.862 | 0.988 | |
| Strategy 3 (70%) | 0.157 | 0.862 | 0.992 | |
| Frequency | Scenario 1 (KRW) | Scenario 2 (KRW) | Scenario 3 (KRW) | |
|---|---|---|---|---|
| Capacity | ||||
| Strategy 1 | 5,035,314 | 3,939,188 | 2,369,467 | |
| Strategy 2 | 7,168,387 | 1,175,245 | 101,870 | |
| Strategy 3 | 9,217,954 | −1,032,858 | −4,443,921 | |
| Player j | (KRW) | (KRW) | (KRW) | |
| Player i | ||||
| (23,157, 23,157) | (29,921, 270,118) | (30,470, 146,669) | ||
| (270,118, 29,921) | (421,574, 421,574) | (299,486, 177,413) | ||
| (146,669, 30,470) | (177,413, 299,486) | (48,626, 48,626) | ||
| Player j | (KRW) | (KRW) | (KRW) | |
| Player i | ||||
| (391,033, 391,033) | (356,953, 1,396,541) | (291,043, 840,196) | ||
| (1,396,541, 356,953) | (1,613,186, 1,613,186) | (790,537, −67,406) | ||
| (840,196, 291,043) | (−67,406, 790,537) | (14,996, 14,996) | ||
| Player j | (KRW) | (KRW) | (KRW) | |
| Player i | ||||
| (850,779, 850,779) | (752,091, 1,273,855) | (583,788, 497,344) | ||
| (1,273,855, 752,091) | (858,326, 858,326) | (377,676, −1,099,623) | ||
| (497,344, 583,788) | (−1,099,623, 377,676) | (−1,783,709, −1,783,709) | ||
| Frequency | Scenario 1 | Scenario 2 | Scenario 3 | |
|---|---|---|---|---|
| Capacity | ||||
| Without IET | 0.1556 | 0.8616 | 0.9880 | |
| With IET | 0.0240 | 0.3865 | 0.7370 | |
| Frequency | Scenario 1 (KRW) | Scenario 2 (KRW) | Scenario 3 (KRW) | |
|---|---|---|---|---|
| Capacity | ||||
| Without IET | 7,168,387 | 1,175,245 | 101,870 | |
| With IET | 8,285,459 | 5,208,124 | 2,232,660 | |
© 2020 by the authors. Licensee MDPI, Basel, Switzerland. This article is an open access article distributed under the terms and conditions of the Creative Commons Attribution (CC BY) license (http://creativecommons.org/licenses/by/4.0/).
Share and Cite
Ryu, J.; Kim, J. Non-Cooperative Indirect Energy Trading with Energy Storage Systems for Mitigation of Demand Response Participation Uncertainty. Energies 2020, 13, 883. https://doi.org/10.3390/en13040883
Ryu J, Kim J. Non-Cooperative Indirect Energy Trading with Energy Storage Systems for Mitigation of Demand Response Participation Uncertainty. Energies. 2020; 13(4):883. https://doi.org/10.3390/en13040883
Chicago/Turabian StyleRyu, Jeseok, and Jinho Kim. 2020. "Non-Cooperative Indirect Energy Trading with Energy Storage Systems for Mitigation of Demand Response Participation Uncertainty" Energies 13, no. 4: 883. https://doi.org/10.3390/en13040883
APA StyleRyu, J., & Kim, J. (2020). Non-Cooperative Indirect Energy Trading with Energy Storage Systems for Mitigation of Demand Response Participation Uncertainty. Energies, 13(4), 883. https://doi.org/10.3390/en13040883
