Dual Fuel Reaction Mechanism 2.0 including NOx Formation and Laminar Flame Speed Calculations Using Methane/Propane/n-Heptane Fuel Blends
Abstract
1. Introduction
2. Materials and Methods
2.1. Update of Arrhenius Parameters Adaption
2.1.1. Update of Methane Reaction Adaption
2.1.2. Update of n-heptane Mechanism Adaption
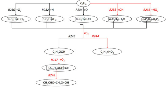
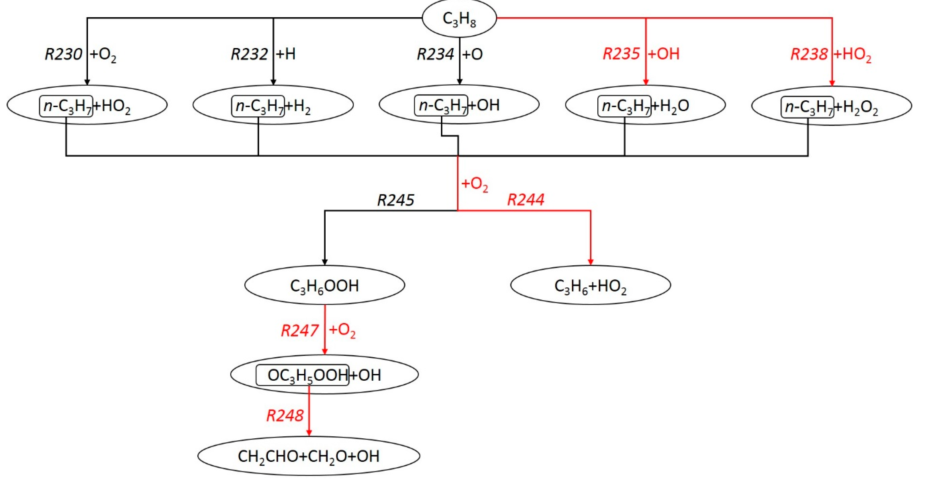
2.2. Investigating the Influence of Propane Addition
2.3. Laminar Flame Speed Calculation
3. Results and Discussion
3.1. IDT Calculation with TU Wien Dual Fuel Mechanism 2.0
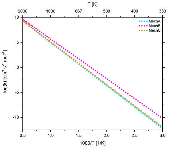
3.2. Laminar Flame Speed Calculation with TU Wien Dual Fuel Mechanism 2.0
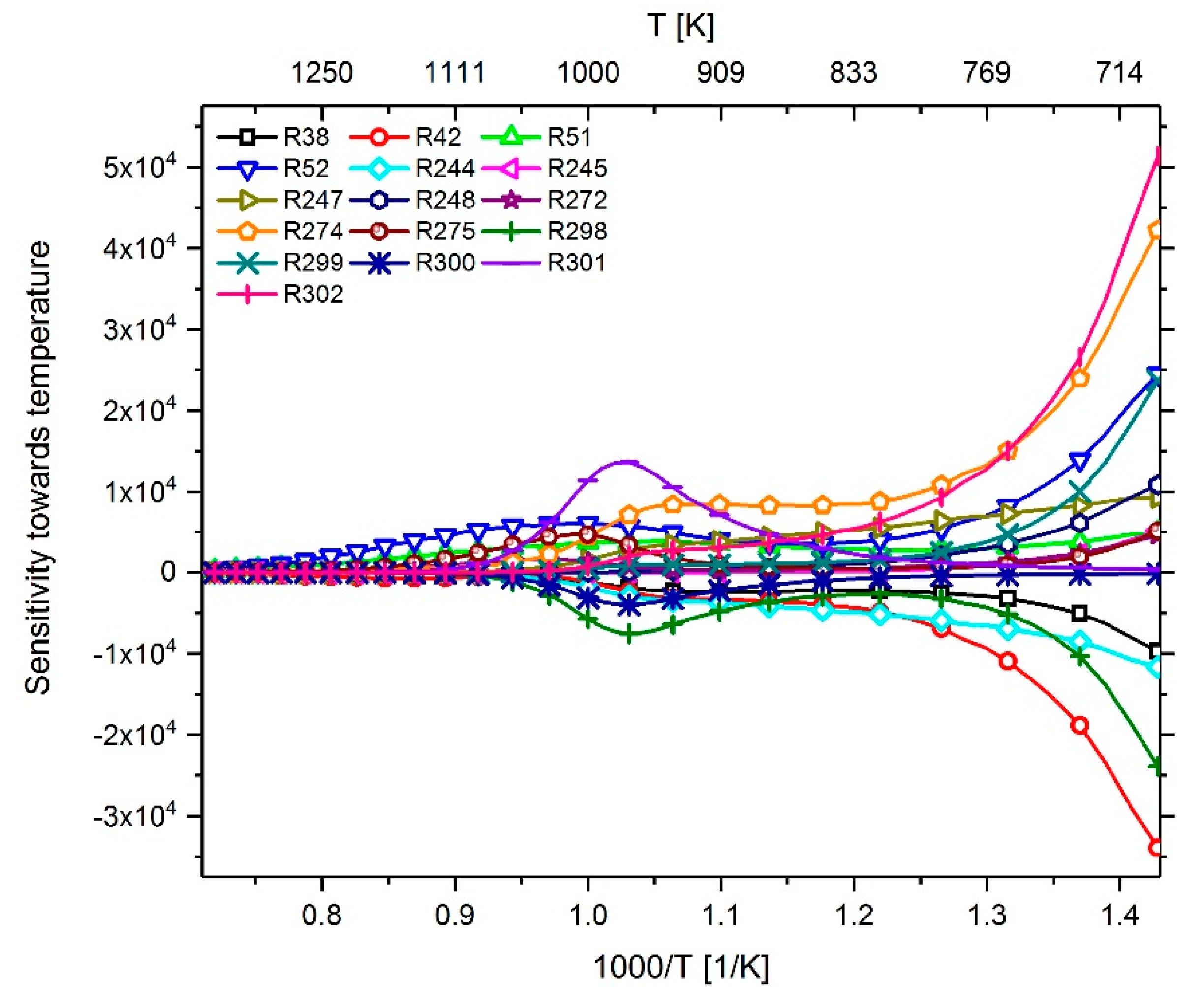
3.3. Influence of Nitrogen Sub-Mechanism on IDT and Laminar Flame Speed Calculation
4. Conclusions
Supplementary Materials
Author Contributions
Funding
Acknowledgments
Conflicts of Interest
References
- Paris Agreement. Available online: https://ec.europa.eu/clima/policies/international/negotiations/paris_en (accessed on 20 November 2019).
- Ge, J.C.; Kim, H.Y.; Yoon, S.K.; Choi, N.J. Reducing volatile organic compound emissions from diesel engines using canola oil biodiesel fuel and blends. Fuel 2018, 218, 266–274. [Google Scholar] [CrossRef]
- Anto, S.; Mukherjee, S.S.; Muthappa, R.; Mathimani, T.; Deviram, G.; Kumar, S.S.; Verma, T.N.; Pugazhendhi, A. Algae as green energy reserve: Technological outlook on biofuel production. Chemosphere 2019, 242, 125079. [Google Scholar] [CrossRef] [PubMed]
- Schlick, H. Potentials and challenges of gas and dual-fuel engines for marine application. In Proceedings of the 5th CIMAC CASCADES, Busan, Korea, 23 October 2014. [Google Scholar]
- Yoshimoto, Y.; Kinoshita, E.; Luge, S.; Ohmura, T. Combustion Characteristics of a Dual Fuel Diesel Engine with Natural Gas (Lower limit of Cetane Number for Ignition of the Fuel). SAE Int. J. Fuels Lubr. 2012, 5, 1165–1173. [Google Scholar] [CrossRef]
- Understanding Global Warming Potentials. Available online: https://www.epa.gov/ghgemissions/understanding-global-warming-potentials (accessed on 9 December 2019).
- Schuh, S.; Frühhaber, J.; Lauer, T.; Winter, F. A Novel Dual Fuel Reaction Mechanism for Ignition in Natural Gas–Diesel Combustion. Energies 2019, 12, 4396. [Google Scholar] [CrossRef]
- Eder, L.; Ban, M.; Pirker, G.; Vujanovic, M.; Priesching, P.; Wimmer, A. Development and Validation of 3D-CFD Injection and Combustion Models for Dual Fuel Combustion in Diesel Ignited Large Gas Engines. Energies 2018, 11, 643. [Google Scholar] [CrossRef]
- Ritzke, J.; Andree, S.; Theile, M.; Henke, B.; Schleef, K.; Nocke, J.; Hassel, E. Simulation of a Dual-Fuel Large Marine Engines using combined 01-D and 3-D Approaches. In Proceedings of the CIMAC Congress, Helsinki, Finland, 6–10 June 2016. [Google Scholar]
- Li, Y.; Li, H.; Guo, H.; Li, Y.; Yao, M. A numerical investigation on methane combustion and emissions from a natural gas-diesel dual fuel engine using CFD model. Appl. Energy 2017, 205, 153–162. [Google Scholar] [CrossRef]
- Tschöke, H. Diesel- und Benzindirekteinspritzung V: Spraybildung, Simulation, Applikation, Messtechnik: Mit 29 Tabellen; Expert-Verlag: Renningen, Germany, 2009. [Google Scholar]
- Schuh, S.; Ramalingam, A.K.; Minwegen, H.; Heufer, K.A.; Winter, F. Experimental Investigation and Benchmark Study of Oxidation of Methane–Propane–n-Heptane Mixtures at Pressures up to 100 bar. Energies 2019, 12, 3410. [Google Scholar] [CrossRef]
- Pachler, R.F.; Ramalingam, A.K.; Heufer, K.A.; Winter, F. Reduction and validation of a chemical kinetic mechanism including necessity analysis and investigation of CH4/C3H8 oxidation at pressures up to 120 bar using a rapid compression machine. Fuel 2016, 172, 139–145. [Google Scholar] [CrossRef]
- LOGEsoft. Available online: https://logesoft.com/ (accessed on 16 May 2019).
- Sung, C.-J.; Curran, H.J. Using rapid compression machines for chemical kinetics studies. Prog. Energy Combust. Sci. 2014, 44, 1–18. [Google Scholar] [CrossRef]
- Chemical-Kinetic Mechanisms for Combustion Applications, San Diego Mechanism Web Page, Mechanical and Aerospace Engineering (Combustion Research), University of California at San Diego. Available online: http://combustion.ucsd.edu (accessed on 4 October 2019).
- Manion, J.A.; Huie, R.E.; Levin, R.D.; Burgess, D.R., Jr.; Orkin, V.L.; Tsang, W.; McGivern, W.S.; Hudgens, J.W.; Knyazev, V.D.; Atkinson, D.B.; et al. NIST Chemical Kinetics Database, NIST Standard Reference Database 17; Version 7.0 (Web Version), Data Version 2015.09; National Institute of Standards and Technology: Gaithersburg, MD, USA, 2015.
- Baker, R.R.; Baldwin, R.R.; Walker, R.W. The use of the H2+O2 reaction in determining the velocity constants of elementary reaction in hydrocarbon oxidation. Symp. (Int.) Combust. 1971, 13, 291–299. [Google Scholar] [CrossRef]
- Baulch, D.L.; Craven, R.J.B.; Din, M.; Drysdale, D.D.; Grant, S.; Richardson, D.J.; Walker, A.; Watling, G. Rates of hydroxy radical reactions with methane, ethane and propane over the temperature range 403–696 K. J. Chem. Soc. Faraday Trans. 1 Phys. Chem. Condens. Phases 1983, 79, 689–698. [Google Scholar] [CrossRef]
- Bonard, A.; Daële, V.; Delfau, J.-L.; Vovelle, C. Kinetics of OH Radical Reactions with Methane in the Temperature Range 295−660 K and with Dimethyl Ether and Methyl-tert-butyl Ether in the Temperature Range 295−618 K. J. Phys. Chem. A 2002, 106, 4384–4389. [Google Scholar] [CrossRef]
- Bott, J.F.; Cohen, N. A shock tube study of the reaction of the hydroxyl radical with H2, CH4, c-C5H10, and i-C4H10. Int. J. Chem. Kinet. 1989, 21, 485–498. [Google Scholar] [CrossRef]
- Bryukov, M.G.; Knyazev, V.D.; Lomnicki, S.M.; McFerrin, C.A.; Dellinger, B. Temperature-Dependent Kinetics of the Gas-Phase Reactions of OH with Cl2, CH4, and C3H8. J. Phys. Chem. A 2004, 108, 10464–10472. [Google Scholar] [CrossRef]
- Calpini, B.; Jeanneret, F.; Bourqui, M.; Clappier, A.; Vajtai, R.; van den Bergh, H. Direct measurement of the total reaction rate of OH in the atmosphere. Analusis 1999, 27, 328–336. [Google Scholar] [CrossRef]
- Cox, R.A.; Derwent, R.G.; Eggleton, A.E.J.; Lovelock, J.E. Photochemical oxidation of halocarbons in the troposphere. Atmos. Environ. (1967) 1976, 10, 305–308. [Google Scholar] [CrossRef]
- Cox, R.A.; Derwent, R.G.; Holt, P.M. Relative rate constants for the reactions of OH radicals with H2, CH4, CO, NO and HONO at atmospheric pressure and 296 K. J. Chem. Soc. Faraday Trans. 1 Phys. Chem. Condens. Phases 1976, 72, 2031–2043. [Google Scholar] [CrossRef]
- Davis, D.D.; Fischer, S.; Schiff, R. Flash photolysis-resonance fluorescence kinetics study: Temperature dependence of the reactions OH + CO → CO2 + H and OH + CH4 → H2O + CH3. J. Chem. Phys. 1974, 61, 2213–2219. [Google Scholar] [CrossRef]
- Dixon-Lewis, G.; Williams, A. Some observations on the combustion of methane in premixed flames. Symp. (Int.) Combust. 1967, 11, 951–958. [Google Scholar] [CrossRef]
- Dunlop, J.R.; Tully, F.P. A kinetic study of hydroxyl radical reactions with methane and perdeuterated methane. J. Phys. Chem. 1993, 97, 11148–11150. [Google Scholar] [CrossRef]
- Ernst, J.; Wagner, H.G.; Zellner, R. A Combined Flash Photolysis/Shock-Tube Study of the Absolute Rate Constants for Reactions of the Hydroxyl Radical with CH4 and CF3H around 1300 K. Ber. Bunsenges. Phys. Chem. 1978, 82, 409–414. [Google Scholar] [CrossRef]
- Fairchild, P.W.; Smith, G.P.; Crosley, D.R. A laser pyrolysis/laser fluorescence technique for combustion chemical kinetics. Symp. (Int.) Combust. 1982, 19, 107–115. [Google Scholar] [CrossRef]
- Felder, W.; Madronich, S. High Temperature Photochemistry (HTP): Kinetics and Mechanism Studies of Elementary Combustion Reactions over 300-1700 K. Combust. Sci. Technol. 1986, 50, 135–150. [Google Scholar] [CrossRef]
- Fenimore, C.P.; Jones, G.W. Rate of reaction of methane with H atoms and OH radicals in flames. J. Phys. Chem. 1961, 65, 2200–2203. [Google Scholar] [CrossRef]
- Finlayson-Pitts, B.J.; Ezell, M.J.; Jayaweera, T.M.; Berko, H.N.; Lai, C.C. Kinetics of the reactions of OH with methyl chloroform and methane: Implications for global tropospheric OH and the methane budget. Geophys. Res. Lett. 1992, 19, 1371–1374. [Google Scholar] [CrossRef]
- Fristrom, R.M. Radical concentrations and reactions in a methane-oxygen flame. Symp. (Int.) Combust. 1963, 9, 560–575. [Google Scholar] [CrossRef]
- Gierczak, T.; Talukdar, R.K.; Herndon, S.C.; Vaghjiani, G.L.; Ravishankara, A.R. Rate Coefficients for the Reactions of Hydroxyl Radicals with Methane and Deuterated Methanes. J. Phys. Chem. A 1997, 101, 3125–3134. [Google Scholar] [CrossRef]
- Gordon, S.; Mulac, W.A. Reaction of the OH (X2π) Radical Produced by the Pulse Radiolysis of Water Vapor. Proc. Symp. Chem. Kinet. Data Upper Lower Atmos. 1975, 7, 289–299. [Google Scholar]
- Greiner, N.R. Hydroxyl-Radical Kinetics by Kinetic Spectroscopy. I. Reactions with H2, CO, and CH4 at 300 °K. J. Chem. Phys. 1967, 46, 2795–2799. [Google Scholar] [CrossRef]
- Greiner, N.R. Hydroxyl Radical Kinetics by Kinetic Spectroscopy. IV. Some Deuterium Isotope Effects. J. Chem. Phys. 1968, 48, 1413. [Google Scholar] [CrossRef]
- Greiner, N.R. Hydroxyl Radical Kinetics by Kinetic Spectroscopy. VI. Reactions with Alkanes in the Range 300–500 °K. J. Chem. Phys. 1970, 53, 1070–1076. [Google Scholar] [CrossRef]
- Hong, Z.; Davidson, D.F.; Lam, K.-Y.; Hanson, R.K. A shock tube study of the rate constants of HO2 and CH3 reactions. Combust. Flame 2012, 159, 3007–3013. [Google Scholar] [CrossRef]
- Horne, D.G.; Norrish, R.G.W. Rate of H-abstraction by OH from Hydrocarbons. Nature 1967, 215, 1373–1374. [Google Scholar] [CrossRef]
- Howard, C.J.; Evenson, K.M. Rate constants for the reactions of OH with CH4 and fluorine, chlorine, and bromine substituted methanes at 296 K. J. Chem. Phys. 1976, 64, 197–202. [Google Scholar] [CrossRef]
- Husain, D.; Plane, J.M.; Slater, N.K.H. Kinetic investigation of the reactions of OH (X2π) with the hydrogen halides, HCl, DCl, HBr and DBr by time-resolved resonance fluorescence (A2Σ+−X2π). J. Chem. Soc. Faraday Trans. 2 1981, 77, 1949–1962. [Google Scholar] [CrossRef]
- Jeong, K.M.; Kaufman, F. Kinetics of the reaction of hydroxyl radical with methane and with nine chlorine- and fluorine-substituted methanes. 1. Experimental results, comparisons, and applications. J. Phys. Chem. 1982, 86, 1808–1815. [Google Scholar] [CrossRef]
- Jonah, C.D.; Mulac, W.A.; Zeglinski, P. Rate Constants for the Reaction of OH + CO, OD + CO, and OH + Methane as a Function of Temperature. J. Phys. Chem. 1984, 88, 4100–4104. [Google Scholar] [CrossRef]
- Lancar, I.T.; LeBras, G.; Poulet, G. Redetermination de la constante de vitesse de la reaction CH4 + OH et son implication atmospherique. C.R. Acad. Sc. Paris 1992, 315, 1487–1492. [Google Scholar]
- Madronich, S.; Felder, W. Direct measurements of the rate coefficient for the reaction OH+CH4 → CH3+H2O over 300-1500 K. Symp. (Int.) Combust. 1985, 20, 703–713. [Google Scholar] [CrossRef]
- Margitan, J.J.; Kaufman, F.; Anderson, J.G. The reaction of OH with CH4. Geophys. Res. Lett. 1974, 1, 80–81. [Google Scholar] [CrossRef]
- Mellouki, A.; Teton, S.; Laverdet, G.; Quilgars, A.; Le Bras, G. Kinetic studies of OH reactions with H2O, C3H8 and CH4 using the pulsed laser photolysis—laser induced fluorescence method. J. Chim. Phys. 1994, 91, 473–487. [Google Scholar] [CrossRef]
- Overend, R.P.; Paraskevopoulos, G.; Cvetanović, R.J. Rates of OH Radical Reactions. I. Reactions with H2, CH4, C2H6, and C3H8 at 295 K. Can. J. Chem. 1975, 53, 3374–3382. [Google Scholar] [CrossRef]
- Peeters, J.; Mahnen, G. Reaction mechanisms and rate constants ofelementary steps in methane-oxygen flames. Symp. (Int.) Combust. 1973, 14, 133–146. [Google Scholar] [CrossRef]
- Sharkey, P.; Smith, I.W.M. Kinetics of elementary reactions at low temperatures: Rate constants for the reactions of OH with HCl (298 ⩾T/K ⩾ 138), CH4(298 ⩾T/K ⩾ 178) and C2H6(298 ⩾T/K ⩾ 138). J. Chem. Soc. Faraday Trans. 1993, 89, 631–637. [Google Scholar] [CrossRef]
- Smith, G.P.; Fairchild, P.W.; Jeffries, J.B.; Crosley, D.R. Laser pyrolysis/laser fluorescence studies of high-temperature reaction rates: Description of the method and results for OH + CH4, C3H8, and C3H6. J. Phys. Chem. 1985, 89, 1269–1278. [Google Scholar] [CrossRef]
- Srinivasan, N.K.; Su, M.C.; Sutherland, J.W.; Michael, J.V. Reflected Shock Tube Studies of High-Temperature Rate Constants for OH + CH4 → CH3 + H2O and CH3 + NO2 → CH3O + NO. J. Phys. Chem. A 2005, 109, 1857–1863. [Google Scholar] [CrossRef] [PubMed]
- Steinert, W.; Zellner, R. Rates of Reaction of OH with CO and CH4 over an Extended Temperature Range. Deuxiene Symp. Eur. Combust. 1975, 2, 31. [Google Scholar]
- Sworski, T.J.; Hochanadel, C.J.; Ogren, P.J. Flash photolysis of water vapor in methane. Hydrogen and hydroxyl yields and rate constants for methyl reactions with hydrogen and hydroxyl. J. Phys. Chem. 1980, 84, 129–134. [Google Scholar] [CrossRef]
- Tully, F.P.; Ravishankara, A.R. Flash photolysis-resonance fluorescence kinetic study of the reactions hydroxyl + molecular hydrogen → water + atomic hydrogen and hydroxyl + methane → water + methyl from 298 to 1020 K. J. Phys. Chem. 1980, 84, 3126–3130. [Google Scholar] [CrossRef]
- Vaghjiani, G.L.; Ravishankara, A.R. New measurement of the rate coefficient for the reaction of OH with methane. Nature 1991, 350, 406–409. [Google Scholar] [CrossRef]
- Wilson, W.E.; Westenberg, A.A. Study of the reaction of hydroxyl radical with methane by quantitative ESR. Symp. (Int.) Combust. 1967, 11, 1143–1150. [Google Scholar] [CrossRef]
- Yetter, R.A.; Dryer, F.L. Inhibition of moist carbon monoxide oxidation by trace amounts of hydrocarbons. Symp. (Int.) Combust. 1992, 24, 757–767. [Google Scholar] [CrossRef]
- Zellner, R. Rate Measurements of Some Bimolecular Reactions of the Hydroxyl Radical over an Extended Temperature Range. Mol. Rate Process. Pap. Symp. 1975, 7, 1. [Google Scholar]
- Zellner, R.; Steinert, W. A flash photolysis study of the rate of the reaction OH + CH4 → CH3 + H2O over an extended temperature range. Int. J. Chem. Kinet. 1976, 8, 397–409. [Google Scholar] [CrossRef]
- Atkinson, R. Kinetics and mechanisms of the gas-phase reactions of the hydroxyl radical with organic compounds under atmospheric conditions. Chem. Rev. 1986, 86, 69–201. [Google Scholar] [CrossRef]
- Atkinson, R.; Baulch, D.L.; Cox, R.A.; Hampson, R.F.; Kerr, J.A.; Rossi, M.J.; Troe, J. Evaluated Kinetic, Photochemical and Heterogeneous Data for Atmospheric Chemistry: Supplement V. IUPAC Subcommittee on Gas Kinetic Data Evaluation for Atmospheric Chemistry. J. Phys. Chem. Ref. Data 1997, 26, 521–1011. [Google Scholar] [CrossRef]
- Atkinson, R.; Baulch, D.L.; Cox, R.A.; Hampson, R.F.; Kerr, J.A.; Troe, J. Evaluated Kinetic and Photochemical Data for Atmospheric Chemistry: Supplement III. IUPAC Subcommittee on Gas Kinetic Data Evaluation for Atmospheric Chemistry. J. Phys. Chem. Ref. Data 1989, 18, 881–1097. [Google Scholar] [CrossRef]
- Atkinson, R.; Baulch, D.L.; Cox, R.A.; Hampson, R.F.; Kerr, J.A.; Troe, J. Evaluated Kinetic and Photochemical Data for Atmospheric Chemistry: Supplement IV. IUPAC Subcommittee on Gas Kinetic Data Evaluation for Atmospheric Chemistry. J. Phys. Chem. Ref. Data 1992, 21, 1125–1568. [Google Scholar] [CrossRef]
- Baulch, D.L.; Bowers, M.; Malcolm, D.G.; Tuckerman, R.T. Evaluated Kinetic Data for High-Temperature Reactions. Volume 5. Part 1. Homogeneous Gas Phase Reactions of the Hydroxyl Radical with Alkanes. J. Phys. Chem. Ref. Data 1986, 15, 465–592. [Google Scholar] [CrossRef]
- Baulch, D.L.; Cobos, C.J.; Cox, R.A.; Esser, C.; Frank, P.; Just, T.; Kerr, J.A.; Pilling, M.J.; Troe, J.; Walker, R.W.; et al. Evaluated Kinetic Data for Combustion Modelling. J. Phys. Chem. Ref. Data 1992, 21, 411–734. [Google Scholar] [CrossRef]
- Cohen, N.; Westberg, K.R. Chemical Kinetic Data Sheets for High-Temperature Chemical Reactions. J. Phys. Chem. Ref. Data 1983, 12, 531–590. [Google Scholar] [CrossRef]
- DeMore, W.B.; Sander, S.P.; Golden, D.M.; Hampson, R.F.; Kurylo, M.J.; Howard, C.J.; Ravishankara, A.R.; Kolb, C.E.; Molina, M.J. Chemical Kinetics and Photochemical Data for Use in Stratospheric Modeling: Evaluation Number 11; Jet Propulsion Lab., California Inst. of Tech.: Pasadena, CA, USA, 1994; p. 18. [Google Scholar]
- DeMore, W.B.; Sander, S.P.; Golden, D.M.; Hampson, R.F.; Kurylo, M.J.; Howard, C.J.; Ravishankara, A.R.; Kolb, C.E.; Molina, M.J. Chemical Kinetics and Photochemical Data for Use in Stratospheric Modeling. Evaluation No. 12; Jet Propulsion Lab., California Inst. of Tech.: Pasadena, CA, USA, 1997; p. 20. [Google Scholar]
- Tsang, W.; Hampson, R.F. Chemical Kinetic Data Base for Combustion Chemistry. Part I. Methane and Related Compounds. J. Phys. Chem. Ref. Data 1986, 15, 1087–1279. [Google Scholar] [CrossRef]
- Warnatz, J. Rate Coefficients in the C/H/O System. In Combustion Chemistry; Gardiner, W.C., Ed.; Springer: New York, NY, USA, 1984; pp. 197–360. [Google Scholar] [CrossRef]
- Westenberg, A.A.; Fristrom, R.M. Methane-oxygen flame structure. iv. chemical kinetic considerations. J. Phys. Chem. 1961, 65, 591–601. [Google Scholar] [CrossRef]
- Wilson, W.E. A Critical Review of the Gas-Phase Reaction Kinetics of the Hydroxyl Radical. J. Phys. Chem. Ref. Data 1972, 1, 535–573. [Google Scholar] [CrossRef]
- Zellner, R. Non-Arrhenius behavior in bimolecular reactions of the hydroxyl radical. J. Phys. Chem. 1979, 83, 18–23. [Google Scholar] [CrossRef]
- Bravo-Pérez, G.; Alvarez-Idaboy, J.R.; Jiménez, A.G.; Cruz-Torres, A. Quantum chemical and conventional TST calculations of rate constants for the OH+alkane reaction. Chem. Phys. 2005, 310, 213–223. [Google Scholar] [CrossRef]
- Cohen, N. The use of transition-state theory to extrapolate rate coefficients for reactions of oh with alkanes. Int. J. Chem. Kinet. 1982, 14, 1339–1362. [Google Scholar] [CrossRef]
- Cohen, N. Are reaction rate coefficients additive? Revised transition state theory calculations for OH + alkane reactions. Int. J. Chem. Kinet. 1991, 23, 397–417. [Google Scholar] [CrossRef]
- Cohen, N.; Benson, S.W. Transition-state-theory calculations for reactions of hydroxyl radicals with haloalkanes. J. Phys. Chem. 1987, 91, 162–170. [Google Scholar] [CrossRef]
- Dobbs, K.D.; Dixon, D.A.; Komornicki, A. Ab initio prediction of the barrier height for abstraction of H from CH4 by OH. J. Chem. Phys. 1993, 98, 8852–8858. [Google Scholar] [CrossRef]
- Gaillard-Cusin, F.; James, H.; Rouan, J.-P. No. 105.—Le phenomene d’inhibition-promotion par le methane de la combustion de hautes pressions de l’oxyde de carbone. J. Chim. Phys. 1969, 66, 751–756. [Google Scholar] [CrossRef]
- Gonzalez, C.; McDouall, J.J.W.; Schlegel, H.B. Ab initio study of the reactions between methane and hydroxyl, hydrogen atom, and triplet oxygen atom. J. Phys. Chem. 1990, 94, 7467–7471. [Google Scholar] [CrossRef]
- Leroy, G.; Sana, M.; Tinant, A. Etude theorique des reactions d’abstraction d’hydrogene RH + X = R + HX, avec R, X≡H, CH3, NH2, OH et F. Can. J. Chem. 1985, 63, 1447–1456. [Google Scholar] [CrossRef]
- Masgrau, L.; González-Lafont, À.; Lluch, J.M. The reactions CHnD4−n+OH→P and CH4+OD→CH3+HOD as a test of current direct dynamics multicoefficient methods to determine variational transition state rate constants. II. J. Chem. Phys. 2001, 115, 4515–4526. [Google Scholar] [CrossRef]
- Masgrau, L.; González-Lafont, À.; Lluch, J.M. The reactions CHnD4−n+OH→P and CH4+OD→CH3+HOD as a test of current direct dynamics computational methods to determine variational transition-state rate constants. I. J. Chem. Phys. 2001, 114, 2154–2165. [Google Scholar] [CrossRef]
- Melissas, V.S.; Truhlar, D.G. Interpolated variational transition state theory and tunneling calculations of the rate constant of the reaction OH+CH4 at 223–2400 K. J. Chem. Phys. 1993, 99, 1013–1027. [Google Scholar] [CrossRef]
- Schwartz, M.; Marshall, P.; Berry, R.J.; Ehlers, C.J.; Petersson, G.A. Computational Study of the Kinetics of Hydrogen Abstraction from Fluoromethanes by the Hydroxyl Radical. J. Phys. Chem. A 1998, 102, 10074–10081. [Google Scholar] [CrossRef][Green Version]
- Shaw, R. Semi-empirical extrapolation and estimation of rate constants for abstraction of H from methane by H, O, HO, and O2. J. Phys. Chem. Ref. Data 1978, 7, 1179–1190. [Google Scholar] [CrossRef]
- Truong, T.N.; Truhlar, D.G. Ab initio transition state theory calculations of the reaction rate for OH+CH4→H2O+CH3. Ber. Bunsenges. Phys. Chem. 1990, 93, 1761–1769. [Google Scholar] [CrossRef]
- Mayer, S.W.; Schieler, L. Activation energies and rate constants computed for reactions of oxygen with hydrocarbons. J. Phys. Chem. 1968, 72, 2628–2631. [Google Scholar] [CrossRef]
- Skinner, G.B.; Lifshitz, A.; Scheller, K.; Burcat, A. Kinetics of Methane Oxidation. J. Chem. Phys. 1972, 56, 3853–3861. [Google Scholar] [CrossRef]
- Yamaguchi, Y.; Teng, Y.; Shimomura, S.; Tabata, K.; Suzuki, E. Ab Initio Study for Selective Oxidation of Methane with NOx (x = 1, 2). J. Phys. Chem. A 1999, 103, 8272–8278. [Google Scholar] [CrossRef]
- Baldwin, R.R.; Jones, P.N.; Walker, R.W. Determination of the rate constant for HO2 + CH4 →H2O2 → H2O2 + CH3 at 443 °C. J. Chem. Soc. Faraday Trans. 2 1988, 84, 199–207. [Google Scholar] [CrossRef]
- OriginLab Corporation. OriginPro; Version 2017; OriginLab Corporation: Northampton, MA, USA, 2017. [Google Scholar]
- Soyhan, H.S.; Mauss, F.; Sorusbay, C. Chemical kinetic modeling of combustion in internal combustion engines using reduced chemistry. Combust. Sci. Technol. 2002, 174, 73–91. [Google Scholar] [CrossRef]
- Løvås, T.; Amnéus, P.; Mauss, F.; Mastorakos, E. Comparison of automatic reduction procedures for ignition chemistry. Proc. Combust. Inst. 2002, 29, 1387–1393. [Google Scholar] [CrossRef]
- Ji, W.; Ren, Z.; Law, C.K. Evolution of sensitivity directions during autoignition. Proc. Combust. Inst. 2019, 37, 807–815. [Google Scholar] [CrossRef]
- Darnall, K.R.; Atkinson, R.; Pitts, J.N. Rate constants for the reaction of the hydroxyl radical with selected alkanes at 300 K. J. Phys. Chem. 1978, 82, 1581–1584. [Google Scholar] [CrossRef]
- Atkinson, R.; Aschmann, S.M.; Carter, W.P.L.; Winer, A.M.; Pitts, J.N., Jr. Kinetics of the reactions of OH radicals with n-alkanes at 299 ± 2 K. Int. J. Chem. Kinet. 1982, 14, 781–788. [Google Scholar] [CrossRef]
- Atkinson, R. Estimations of OH radical rate constants from H-atom abstraction from C–H and O–H bonds over the temperature range 250–1000 K. Int. J. Chem. Kinet. 1986, 18, 555–568. [Google Scholar] [CrossRef]
- Hu, W.-P.; Rossi, I.; Corchado, J.C.; Truhlar, D.G. Molecular Modeling of Combustion Kinetics. The Abstraction of Primary and Secondary Hydrogens by Hydroxyl Radical. J. Phys. Chem. A 1997, 101, 6911–6921. [Google Scholar] [CrossRef]
- Tsang, W. Chemical Kinetic Data Base for Combustion Chemistry. Part 3: Propane. J. Phys. Chem. Ref. Data 1988, 17, 887–951. [Google Scholar] [CrossRef]
- Baldwin, R.R.; Fuller, A.R.; Longthorn, D.; Walker, R.W. Combustion Institute European Symposium; Academic Press: London, UK, 1973. [Google Scholar]
- Zhou, C.-W.; Li, Y.; Burke, U.; Banyon, C.; Somers, K.P.; Ding, S.; Khan, S.; Hargis, J.W.; Sikes, T.; Mathieu, O.; et al. An experimental and chemical kinetic modeling study of 1,3-butadiene combustion: Ignition delay time and laminar flame speed measurements. Combust. Flame 2018, 197, 423–438. [Google Scholar] [CrossRef]
- Baker, R.R.; Baldwin, R.R.; Walker, R.W. Velocity constants for the reactions of alkyl radicals with oxygen. J. Chem. Soc. D Chem. Commun. 1969, 1382–1383. [Google Scholar] [CrossRef]
- Baker, R.R.; Baldwin, R.R.; Walker, R.W. Addition of C3H8 to slowly reacting mixtures of hydrogen and oxygen at 480 °C. Trans. Faraday Soc. 1970, 66, 3016–3031. [Google Scholar] [CrossRef]
- Baldwin, R.R.; Langford, D.H.; Matchan, M.J.; Walker, R.W.; Yorke, D.A. The high-temperature oxidation of aldehydes. Symp. (Int.) Combust. 1971, 13, 251–259. [Google Scholar] [CrossRef]
- Baldwin, R.R.; Walker, R.W.; Yorke, D.A. Reaction of n-propyl radicals with oxygen, hydrogen and deuterium. J. Chem. Soc. Faraday Trans. 1 Phys. Chem. Condens. Phases 1973, 69, 826–832. [Google Scholar] [CrossRef]
- Slagle, I.R.; Park, J.-Y.; Gutman, D. Experimental investigation of the kinetics and mechanism of the reaction of n-propyl radicals with molecular oxygen from 297 to 635 K. Symp. (Int.) Combust. 1985, 20, 733–741. [Google Scholar] [CrossRef]
- DeSain, J.D.; Klippenstein, S.J.; Miller, J.A.; Taatjes, C.A. Measurements, Theory, and Modeling of OH Formation in Ethyl + O2 and Propyl + O2 Reactions. J. Phys. Chem. A 2003, 107, 4415–4427. [Google Scholar] [CrossRef]
- Ranzi, E.; Frassoldati, A.; Grana, R.; Cuoci, A.; Faravelli, T.; Kelley, A.P.; Law, C.K. Hierarchical and comparative kinetic modeling of laminar flame speeds of hydrocarbon and oxygenated fuels. Prog. Energy Combust. Sci. 2012, 38, 468–501. [Google Scholar] [CrossRef]
- Baldwin, R.R.; Melvin, A. 348. The reaction of hydrogen atoms with oxygen and with ethane. J. Chem. Soc. (Resumed) 1964, 1785–1791. [Google Scholar] [CrossRef]
- Baulch, D.L.; Cobos, C.J.; Cox, R.A.; Frank, P.; Hayman, G.; Just, T.; Kerr, J.A.; Murrells, T.; Pilling, M.J.; Troe, J.; et al. Evaluated Kinetic Data for Combustion Modeling. Supplement I. J. Phys. Chem. Ref. Data 1994, 23, 847–848. [Google Scholar] [CrossRef]
- Baulch, D.L.; Drysdale, D.D.; Horne, D.G. An assessment of rate data for high-temperaturesystems. Symp. (Int.) Combust. 1973, 14, 107–118. [Google Scholar] [CrossRef]
- Dixon-Lewis, G. Spherically Symmetric Flame Propagation in Hydrogen-Air Mixtures. Combust. Sci. Technol. 1983, 34, 1–29. [Google Scholar] [CrossRef]
- Du, H.; Hessler, J.P. Rate coefficient for the reaction H+O2→OH+O: Results at high temperatures, 2000 to 5300 K. J. Chem. Phys. 1992, 96, 1077–1092. [Google Scholar] [CrossRef]
- Kaufman, F.; Del Greco, F.P. Fast reactions of OH radicals. Symp. (Int.) Combust. 1963, 9, 659–668. [Google Scholar] [CrossRef]
- Masten, D.A.; Hanson, R.K.; Bowman, C.T. Shock tube study of the reaction hydrogen atom + oxygen → hydroxyl + oxygen atom using hydroxyl laser absorption. J. Phys. Chem. 1990, 94, 7119–7128. [Google Scholar] [CrossRef]
- Miller, J.A.; Pilling, M.J.; Troe, J. Unravelling combustion mechanisms through a quantitative understanding of elementary reactions. Proc. Combust. Inst. 2005, 30, 43–88. [Google Scholar] [CrossRef]
- Pirraglia, A.N.; Michael, J.V.; Sutherland, J.W.; Klemm, R.B. A flash photolysis-shock tube kinetic study of the hydrogen atom reaction with oxygen: H + O2 ⇄ OH + O (962 K ≤ T ≤ 1705 K) and H + O2 + Ar → HO2 + Ar (746 K ≤ T ≤ 987 K). J. Phys. Chem. 1989, 93, 282–291. [Google Scholar] [CrossRef]
- Semenov, N. On the Constants of the Reactions H+ O2== OH+ O and H2+ O2= 2OH. Acta Physicochim. URSS 1945, 20, 292. [Google Scholar]
- Turányi, T.; Nagy, T.; Zsély, I.G.; Cserháti, M.; Varga, T.; Szabó, B.T.; Sedyó, I.; Kiss, P.T.; Zempléni, A.; Curran, H.J. Determination of rate parameters based on both direct and indirect measurements. Int. J. Chem. Kinet. 2012, 44, 284–302. [Google Scholar] [CrossRef]
- Yang, H.; Gardiner, W.C.; Shin, K.S.; Fujii, N. Shock tube study of the rate coefficient of H + O2 → OH + O. Chem. Phys. Lett. 1994, 231, 449–453. [Google Scholar] [CrossRef]
- Yu, C.L.; Frenklach, M.; Masten, D.A.; Hanson, R.K.; Bowman, C.T. Reexamination of Shock-Tube Measurements of the Rate Coefficient of H + O2.fwdarw. OH + O. J. Phys. Chem. 1994, 98, 4770–4771. [Google Scholar] [CrossRef]
- Aganesyan, K.T.; Nalbandyan, A.B. The determination of the rate constants for the reactions between hydrogen and oxygen atoms and ammonia molecules. Dokl. Phys. Chem. (Engl. Transl.) 1965, 160, 18. [Google Scholar]
- Aleksandrov, E.N.; Arutyunov, V.S.; Dubrovina, I.V.; Kozlov, S.N. Kinetics of hydrogen oxidation near the lower explosion limit. Int. J. Chem. Kinet. 1984, 16, 817–834. [Google Scholar] [CrossRef]
- Azatyan, V.V. Combustion limitation method in the heterogeneous termination of chains in diffusion range. Arm. Khim. Z. 1967, 20, 577–584. [Google Scholar]
- Azatyan, V.V.; Nalbandyan, A.B.; Ts’ui, M.-Y. Determination of the rate constant of the reaction between atomic oxygen and ethane. Dokl. Akad. Nauk SSR 1962, 147, 361–364. [Google Scholar]
- Azatyan, V.V.; Voevodskii, V.V.; Nalbandyan, A.B. Determination of the rate constant of the reaction of atomic oxygen with molecular hydrogen. Kinet. Katal. 1961, 2, 340–349. [Google Scholar]
- Balakhnin, V.P.; Gershenzon, Y.M. A quantitative study of the mechanism of hydrogen combustion close to the lower explosion limit. Dokl. Phys. Chem. (Engl. Transl.) 1967, 170, 659–662. [Google Scholar]
- Baldwin, R.R. The first limit of the hydrogen + oxygen reaction in potassium chloride-coated vessels. Trans. Faraday Soc. 1956, 52, 1344–1354. [Google Scholar] [CrossRef]
- Belles, F.E.; Brabbs, T.A. Experimental verification of effects of turbulent Boundary layers on chemical-kinetic measurements in a shock tube. Symp. (Int.) Combust. 1971, 13, 165–175. [Google Scholar] [CrossRef][Green Version]
- Biordi, J.C.; Lazzara, C.P.; Papp, J.F. Molecular beam mass spectrometry applied to determining the kinetics of reactions in flames II. A critique of rate coefficient determinations. Combust. Flame 1976, 26, 57–76. [Google Scholar] [CrossRef]
- Bowman, C.T. Non-equilibrium radical concentrations in shock-initiated methane oxidation. Symp. (Int.) Combust. 1975, 15, 869–882. [Google Scholar] [CrossRef]
- Brabbs, T.A.; Belles, F.E. Experimental Study of Effects of Laminar Boundary Layers on Chemical-Kinetic Measurements in a Shock Tube. Proc. Int. Symp. Shock Tubes Waves 1971, 67, 24. [Google Scholar]
- Brabbs, T.A.; Belles, F.E.; Brokaw, R.S. Shock-tube measurements of specific reaction rates in the branched-chain H2-CO-O2 system. Symp. (Int.) Combust. 1971, 13, 129–136. [Google Scholar] [CrossRef]
- Buneva, V.N.; Kabasheva, G.N.; Panfilov, V.N. Determination of the reaction rate constant of hydrogen splitting in a rarefied flame by means of isotope exchange. Kinet. Catal. 1969, 10, 1007. [Google Scholar]
- Chiang, C.-C.; Skinner, G.B. Resonance Absorption Measure- ments of Atom Concentrations in Reacting Gas Mixtures. 4. Measurements of H and D Atoms in Oxidationof H2, D2 and CD4. Proc. Int. Symp. Shock Tubes Waves 1980, 12, 629. [Google Scholar]
- Dean, A.M.; Kistiakowsky, G.B. Oxidation of Carbon Monoxide/Methane Mixtures in Shock Waves. J. Chem. Phys. 1971, 54, 1718–1725. [Google Scholar] [CrossRef]
- Dixon-Lewis, G.; Sutton, M.M.; Williams, A. Some reactions of hydrogen atoms and simple radicals at high temperatures. Symp. (Int.) Combust. 1965, 10, 495–502. [Google Scholar] [CrossRef]
- Eberius, K.H.; Hoyermann, K.; Wagner, H.G. Experimental and mathematical study of a hydrogen-oxygen flame. Symp. (Int.) Combust. 1971, 13, 713–721. [Google Scholar] [CrossRef]
- Fenimore, C.P.; Jones, G.W. Rate of Reaction in Hydrogen, Nitrous Oxide and in Some Other Flames. J. Phys. Chem. 1959, 63, 1154–1158. [Google Scholar] [CrossRef]
- Frank, P.; Just, T. High Temperature Reaction Rate for H + O2 = OH + O and OH + H2 = H2O + H. Ber. Bunsenges. Phys. Chem. 1985, 89, 181–187. [Google Scholar] [CrossRef]
- Fujii, N.; Shin, K.S. Rate constant for H+O2→O+OH by laser absorption spectroscopy of OH in shock-heated H2-O2-Ar mixtures. Chem. Phys. Lett. 1988, 151, 461–465. [Google Scholar] [CrossRef]
- Gutman, D.; Hardwidge, E.A.; Dougherty, F.A.; Lutz, R.W. Shock-Tube Study of the Recombination Rate of Hydrogen Atoms with Oxygen Molecules. J. Chem. Phys. 1967, 47, 4400–4407. [Google Scholar] [CrossRef]
- Gutman, D.; Schott, G.L. Shock-Tube Study of Chain Branching during the Induction Period of the Hydrogen—Oxygen Reaction. J. Chem. Phys. 1967, 46, 4576–4584. [Google Scholar] [CrossRef]
- Jachimowski, C.J.; Houghton, W.M. Shock-tube study of the induction-period kinetics of the hydrogen-oxygen reaction. Combust. Flame 1970, 15, 125–132. [Google Scholar] [CrossRef]
- Karmilova, L.V.; Nalbandyan, A.B.; Semenov, N.N. Hydrogen combustion kinetics with oxygen below the lower autoignition temperature. Z. Fiz. Khim. 1958, 32, 1193–1204. [Google Scholar]
- Kochubei, V.F.; Moin, F.B. Kinetics of the Reaction of Atomic Hydrogen with Oxygen. Sov. Prog. Chem. (Engl. Transl.) 1973, 39, 88. [Google Scholar]
- Kurzius, S.C.; Boudart, M. Kinetics of the branching step in the hydrogen-oxygen reaction. Combust. Flame 1968, 12, 477–491. [Google Scholar] [CrossRef]
- Lovachev, L.A. The rate constant of reaction H+O2 → OH+O. Combust. Flame 1963, 7, 388–389. [Google Scholar] [CrossRef]
- Miller, J.A. Nonstatistical effects and detailed balance in quasiclassical trajectory calculations of the thermal rate coefficient for O+OH→O2+H. J. Chem. Phys. 1986, 84, 6170–6177. [Google Scholar] [CrossRef]
- Myerson, A.L.; Watt, W.S. Atom-Formation Rates behind Shock Waves in Hydrogen and the Effect of Added Oxygen. J. Chem. Phys. 1968, 49, 425–433. [Google Scholar] [CrossRef]
- Namoradze, M.A.; Troshin, A.F.; Azatyan, V.V.; Dzotsenidze, Z.G.; Museridze, M.D. Effect of Initial Conditions on the Intensity of Chemiluminescence during Carbon Monoxide Oxidation. Soobshch. Akad. Nauk Gruz. SSR 1974, 73, 377. [Google Scholar]
- Pamidimukkala, K.M.; Skinner, G.B. Resonance Absorption Measurements of Atom Concentrations in Reacting Gas Mixtures. 9. Measurements of O atoms in Oxidation of H/sub 2/ and D/sub 2; Wright State Univ., Dept. of Chemistry: Dayton, OH, USA, 1981. [Google Scholar]
- Ripley, D.L.; Gardiner, W.C. Shock-Tube Study of the Hydrogen—Oxygen Reaction. II. Role of Exchange Initiation. J. Chem. Phys. 1966, 44, 2285–2296. [Google Scholar] [CrossRef]
- Schott, G.L. Further studies of exponential branching rates in reflected-shock heated, nonstoichiometric H2COO2 systems. Combust. Flame 1973, 21, 357–370. [Google Scholar] [CrossRef]
- Schott, G.L.; Kinsey, J.L. Kinetic Studies of Hydroxyl Radicals in Shock Waves. II. Induction Times in the Hydrogen-Oxygen Reaction. J. Chem. Phys. 1958, 29, 1177–1182. [Google Scholar] [CrossRef]
- Shin, K.S.; Michael, J.V. Rate constants for the reactions H+O2→OH+O and D+O2→OD+O over the temperature range 1085–2278 K by the laser photolysis–shock tube technique. J. Chem. Phys. 1991, 95, 262–273. [Google Scholar] [CrossRef]
- Shub, F.S.; Apel’baum, L.P.; Temkin, M.I. The accelerating effect of oxygen in a homogeneous reaction of water gas. Kinet. Catal. 1971, 11, 931. [Google Scholar]
- Yuan, T.; Wang, C.; Yu, C.; Frenklach, M.; Rabinowitz, M. Determination of the rate coefficient for the reaction H + O2 → OH + O by a shock tube/laser absorption/detailed modeling study. J. Phys. Chem. 1991, 95, 1258–1265. [Google Scholar] [CrossRef]
- Baldwin, R.R.; Cowe, D.W. The inhibition of the hydrogen + oxygen reaction by formaldehyde. Trans. Faraday Soc. 1962, 58, 1768–1781. [Google Scholar] [CrossRef]
- Browne, W.G.; Porter, R.P.; Verlin, J.D.; Clark, A.H. A study of acetylene-oxygen flames. Symp. (Int.) Combust. 1969, 12, 1035–1047. [Google Scholar] [CrossRef]
- Dixon-Lewis, G.; Linnett, J.W. Flame structure and flame reaction kinetics—V. Investigation of reaction mechanism in a rich hydrogen+nitrogen+oxygen flame by solution of conservation equations. Proc. R. Soc. Lond. A. Math. Phys. Sci. 1970, 317, 235–263. [Google Scholar] [CrossRef]
- Germann, T.C.; Miller, W.H. Quantum Mechanical Pressure-Dependent Reaction and Recombination Rates for O + OH → H + O2, HO2. J. Phys. Chem. A 1997, 101, 6358–6367. [Google Scholar] [CrossRef]
- Miller, J.A. Collision dynamics and the thermal rate coefficient for the reaction H+O2→OH+O. J. Chem. Phys. 1981, 74, 5120–5132. [Google Scholar] [CrossRef]
- Miller, J.A.; Garrett, B.C. Quantifying the non-RRKM effect in the H + O2 ⇄ OH + O reaction. Int. J. Chem. Kinet. 1997, 29, 275–287. [Google Scholar] [CrossRef]
- Westenberg, A.A.; Fristrom, R.M. H and O atom profiles measured by ESR in C2 hydrocarbon-O2 flames. Symp. (Int.) Combust. 1965, 10, 473–487. [Google Scholar] [CrossRef]
- Dixon-Lewis, G.; Wilson, W.E.; Westenberg, A.A. Studies of Hydroxyl Radical Kinetics by Quantitative ESR. J. Chem. Phys. 1966, 44, 2877–2884. [Google Scholar] [CrossRef]
- Dixon-Lewis, G.; Linnett, J.W. Flame structure and flame reaction kinetics. VII. Reactions of traces of heavy water, deuterium and carbon dioxide added to rich hydrogen + nitrogen + oxygen flames. Proc. R. Soc. of Lond. A. Math. Phys. Sci. 1972, 330, 219–245. [Google Scholar] [CrossRef]
- Dixon-Lewis, G.; Sutton, M.M.; Williams, A. Reactions contributing to the establishment of the water gas equilibrium when carbon dioxide is added to a hydrogen-oxygen flame. Trans. Faraday Soc. 1965, 61, 255–262. [Google Scholar] [CrossRef]
- Jost, W.; Schecker, H.G.; Wagner, H.G. Messungen der Geschwindigkeit der Einstellung des Wassergas-Gleichgewichtes. Z. Phys. Chem. 1965, 45, 47–57. [Google Scholar] [CrossRef]
- Herron, J.T. Mass-Spectrometric Study of the Rate of the Reaction CO + OH. J. Chem. Phys. 1966, 45, 1854–1855. [Google Scholar] [CrossRef]
- Heath, G.A.; Pearson, G.S. Perchloric acid flames: Part III. Chemical structure of methane flames. Symp. (Int.) Combust. 1967, 11, 967–977. [Google Scholar] [CrossRef]
- Porter, R.P.; Clark, A.H.; Kaskan, W.E.; Browne, W.E. A study of hydrocarbon flames. Symp. (Int.) Combust. 1967, 11, 907–917. [Google Scholar] [CrossRef]
- Wilson, W.E.; O’Donovan, J.T. Mass-Spectrometric Study of the Reaction Rate of OH with Itself and with CO. J. Chem. Phys. 1967, 47, 5455–5457. [Google Scholar] [CrossRef]
- Greiner, N.R. Hydroxyl Radical Kinetics by Kinetic Spectroscopy. V. Reactions with H2 and CO in the Range 300–500 °K. J. Chem. Phys. 1969, 51, 5049–5051. [Google Scholar] [CrossRef]
- Kochubei, V.F.; Moin, F.B. Kinetics of the reaction of CO2 with hydrogen. Kinet. Catal. 1969, 10, 992. [Google Scholar]
- Baldwin, R.R.; Walker, R.W.; Webster, S.J. The carbon monoxide-sensitized decomposition of hydrogen peroxide. Combust. Flame 1970, 15, 167–172. [Google Scholar] [CrossRef]
- Dean, A.M.; Kistiakowsky, G.B. Oxidation of Carbon Monoxide by Oxygen in Shock Waves. J. Chem. Phys. 1970, 53, 830–838. [Google Scholar] [CrossRef]
- Shub, F.S.; Apel’baum, L.O.; Temkin, M.I. The kinetics of the homogeneous water gas reaction. Kinet. Catal. 1970, 11, 462. [Google Scholar]
- Izod, T.P.J.; Kistiakowsky, G.B.; Matsuda, S. Oxidation of Carbon Monoxide Mixtures with Added Ethane or Azomethane Studied in Incident Shock Waves. J. Chem. Phys. 1971, 55, 4425–4432. [Google Scholar] [CrossRef]
- Stuhl, F.; Niki, H. Pulsed Vacuum-uv Photochemical Study of Reactions of OH with H2, D2, and CO Using a Resonance-Fluorescent Detection Method. J. Chem. Phys. 1972, 57, 3671–3677. [Google Scholar] [CrossRef]
- Eberius, K.H.; Hoyermann, K.; Wagner, H.C. Structure of lean acetylene-oxygen flames. Symp. (Int.) Combust. 1973, 14, 147–156. [Google Scholar] [CrossRef]
- Gardiner, W.C.; Mallard, W.G.; McFarland, M.; Morinaga, K.; Owen, J.H.; Rawlins, W.T.; Takeyama, T.; Walker, B.F. Elementary reaction rates from post-induction-period profiles in shock-initiated combustion. Symp. (Int.) Combust. 1973, 14, 61–75. [Google Scholar] [CrossRef]
- Smith, I.W.M.; Zellner, R. Rate measurements of reactions of OH by resonance absorption. Part 2.—Reactions of OH with CO, C2H4 and C2H2. J. Chem. Soc. Faraday Trans. 2 Mol. Chem. Phys. 1973, 69, 1617–1627. [Google Scholar] [CrossRef]
- Westenberg, A.A.; de Haas, N. Rates of CO + OH and H2 + OH over an extended temperature range. J. Chem. Phys. 1973, 58, 4061–4065. [Google Scholar] [CrossRef]
- Howard, C.J.; Evenson, K.M. Laser magnetic resonance study of the gas phase reactions of OH with CO, NO, and NO2. J. Chem. Phys. 1974, 61, 1943–1952. [Google Scholar] [CrossRef]
- Trainor, D.W.; Vonrosenberg, C.W. Energy partitioning in the reaction OH + CO → CO2 + H. Chem. Phys. Lett. 1974, 29, 35–38. [Google Scholar] [CrossRef]
- Biordi, J.C.; Lazzara, C.P.; Papp, J.F. Flame structure studies of CF3Br-Inhibited methane flames: II. Kinetics and mechanisms. Symp. (Int.) Combust. 1975, 15, 917–932. [Google Scholar] [CrossRef]
- Trainor, D.W.; von Rosenberg, C.W. Energy partitioning in the products of elementary reactions involving OH-radicals. Symp. (Int.) Combust. 1975, 15, 755–764. [Google Scholar] [CrossRef]
- Vandooren, J.; Peeters, J.; Tiggelen, P.J.V. Rate constant of the elementary reaction of carbon monoxide with hydroxyl radical. Symp. (Int.) Combust. 1975, 15, 745–753. [Google Scholar] [CrossRef]
- Atkinson, R.; Perry, R.A.; Pitts, J.N. Kinetics of the reactions of OH radicals with CO and N2O. Chem. Phys. Lett. 1976, 44, 204–208. [Google Scholar] [CrossRef]
- Atri, G.M.; Baldwin, R.R.; Jackson, D.; Walker, R.W. The reaction of OH radicals and HO2 radicals with carbon monoxide. Combust. Flame 1977, 30, 1–12. [Google Scholar] [CrossRef]
- Chan, W.H.; Uselman, W.M.; Calvert, J.G.; Shaw, J.H. The pressure dependence of the rate constant for the reaction: HO + CO → H + CO2. Chem. Phys. Lett. 1977, 45, 240–244. [Google Scholar] [CrossRef]
- Overend, R.; Paraskevopoulos, G. The question of a pressure effect in the reaction OH + CO at room temperature. Chem. Phys. Lett. 1977, 49, 109–111. [Google Scholar] [CrossRef]
- Biermann, H.W.; Zetzsch, C.; Stuhl, F. On the Pressure Dependence of the Reaction of HO with CO. Ber. Bunsenges. Phys. Chem. 1978, 82, 633–639. [Google Scholar] [CrossRef]
- Butler, R.; Solomon, I.J.; Snelson, A. Pressure dependence of the CO + OH rate constant in O2 + N2 mixtures. Chem. Phys. Lett. 1978, 54, 19–24. [Google Scholar] [CrossRef]
- Clyne, M.A.A.; Holt, P.M. Reaction Kinetics Involving Ground X2π and Excited A2Σ+ Hydroxyl Radicals. Part 1.—Quenching Kinetics of OH A2Σ+ and Rate Constants for Reactions of OH X2π with CH3CCl3 and CO. J. Chem. Soc. Faraday Trans. 2 1979, 75, 569. [Google Scholar] [CrossRef]
- Ravishankara, A.R.; Thompson, R.L. Kinetic study of the reaction of OH with CO from 250 to 1040 K. Chem. Phys. Lett. 1983, 99, 377–381. [Google Scholar] [CrossRef]
- Demore, W.B. Rate constant for the OH + CO reaction: Pressure dependence and the effect of oxygen. Int. J. Chem. Kinet. 1984, 16, 1187–1200. [Google Scholar] [CrossRef]
- Hofzumahaus, A.; Stuhl, F. Rate Constant of the Reaction HO + CO in the Presence of N2 and O2. Ber. Bunsenges. Phys. Chem. 1984, 88, 557–561. [Google Scholar] [CrossRef]
- Niki, H.; Maker, P.D.; Savage, C.M.; Breitenbach, L.P. Fourier transform infrared spectroscopic study of the kinetics for the hydroxyl radical reaction of 13C16O-carbon monoxide and 12C18O-carbon monoxide. J. Phys. Chem. 1984, 88, 2116–2119. [Google Scholar] [CrossRef]
- Smith, I.W.M.; Williams, M.D. Kinetics of OH(v = 0 and 1) and OD(v = 0 and 1) studied by time-resolved laser-induced fluorescence. Ber. Bunsenges. Phys. Chem. 1985, 89, 319. [Google Scholar] [CrossRef]
- Larson, C.W.; Stewart, P.H.; Golden, D.M. Pressure and temperature dependence of reactions proceeding via a bound complex. An approach for combustion and atmospheric chemistry modelers. Application to HO + CO → [HOCO] → H + CO2. Int. J. Chem. Kinet. 1988, 20, 27–40. [Google Scholar] [CrossRef]
- Frost, M.J.; Sharkey, P.; Smith, I.W.M. Energy and structure of the transition states in the reaction OH + CO → H + CO2. Faraday Discuss. Chem. Soc. 1991, 91, 305–317. [Google Scholar] [CrossRef]
- Frost, M.J.; Sharkey, P.; Smith, I.W.M. Reaction between hydroxyl (deuteroxyl) radicals and carbon monoxide at temperatures down to 80 K: Experiment and theory. J. Phys. Chem. 1993, 97, 12254–12259. [Google Scholar] [CrossRef]
- Wooldridge, M.S.; Hanson, R.K.; Bowman, C.T. A shock tube study of the CO+OH→CO2+H reaction. Symp. (Int.) Combust. 1994, 25, 741–748. [Google Scholar] [CrossRef]
- Forster, R.; Frost, M.; Fulle, D.; Hamann, H.F.; Hippler, H.; Schlepegrell, A.; Troe, J. High pressure range of the addition of HO to HO, NO, NO2, and CO. I. Saturated laser induced fluorescence measurements at 298 K. J. Chem. Phys. 1995, 103, 2949–2958. [Google Scholar] [CrossRef]
- Lissianski, V.; Yang, H.; Qin, Z.; Mueller, M.R.; Shin, K.S.; Gardiner, W.C. High-temperature measurements of the rate coefficient of the H + CO2 → CO + OH reaction. Chem. Phys. Lett. 1995, 240, 57–62. [Google Scholar] [CrossRef]
- Wooldridge, M.S.; Hanson, R.K.; Bowman, C.T. A shock tube study of CO + OH → CO2 + H and HNCO + OH → products via simultaneous laser absorption measurements of OH and CO2. Int. J. Chem. Kinet. 1996, 28, 361–372. [Google Scholar] [CrossRef]
- Bohn, B.; Zetzsch, C. Formation of HO2 from OH and C2H2 in the presence of O2. J. Chem. Soc. Faraday Trans. 1998, 94, 1203–1210. [Google Scholar] [CrossRef]
- Chen, W.-C.; Marcus, R.A. On the theory of the reaction rate of vibrationally excited CO molecules with OH radicals. J. Chem. Phys. 2006, 124, 024306. [Google Scholar] [CrossRef]
- Li, J.; Zhao, Z.; Kazakov, A.; Chaos, M.; Dryer, F.L.; Scire, J.J., Jr. A comprehensive kinetic mechanism for CO, CH2O, and CH3OH combustion. Int. J. Chem. Kinet. 2007, 39, 109–136. [Google Scholar] [CrossRef]
- Browne, W.G.; White, D.R.; Smookler, G.R. A study of the chemical kinetics of shock heated H2/CO/O2 mixtures. Symp. (Int.) Combust. 1969, 12, 557–567. [Google Scholar] [CrossRef]
- Day, M.J.; Thompson, K.; Dixon-Lewis, G. Some reactions of hydroperoxyl and hydroxylradicals at high temperatures. Symp. (Int.) Combust. 1973, 14, 47–59. [Google Scholar] [CrossRef]
- Mozurkewich, M.; Lamb, J.J.; Benson, S.W. Negative activation energies and curved Arrhenius plots. 2. Hydroxyl + carbon monoxide. J. Phys. Chem. 1984, 88, 6435–6441. [Google Scholar] [CrossRef]
- Dzegilenko, F.N.; Bowman, J.M. Recovering a full dimensional quantum rate constant from a reduced dimensionality calculation: Application to the OH+CO→H+CO2 reaction. J. Chem. Phys. 1996, 105, 2280–2286. [Google Scholar] [CrossRef]
- Zsély, I.G.; Nagy, T.; Simmie, J.M.; Curran, H.J. Reduction of a detailed kinetic model for the ignition of methane/propane mixtures at gas turbine conditions using simulation error minimization methods. Combust. Flame 2011, 158, 1469–1479. [Google Scholar] [CrossRef]
- Varga, T.; Olm, C.; Nagy, T.; Zsely, I.G.; Valko, E.; Palvolgyi, R.; Curran, H.J.; Turanyi, T. Development of a Joint Hydrogen and Syngas Combustion Mechanism Based on an Optimization Approach. Int. J. Chem. Kinet. 2016, 48, 407–422. [Google Scholar] [CrossRef]

























| Test Facility | Fuel Composition | p | T | Ref. | ||||
|---|---|---|---|---|---|---|---|---|
| Mix | CH4 [mol%] | C3H8 [mol%] | C7H16 [mol%] | ϕ [−] | [bar] | [K] | ||
| Rapid compression machine | 1 | 100 | 0 | 0 | 0.526 | 100 | 906–941 | [13] |
| 2 | 95 | 5 | 0 | 0.526 | 100 | 888–916 | [13] | |
| 3 | 90 | 10 | 0 | 0.526 | 100 | 803–898 | [12] | |
| 4 | 70 | 30 | 0 | 0.526 | 100 | 826–865 | [13] | |
| 5 | 92.68 | 4.88 | 2.44 | 0.594 | 60 | 701–877 | [12] | |
| 6 | 90.48 | 4.76 | 4.76 | 0.661 | 60 | 671–781 | [12] | |
| 7 | 92.68 | 4.88 | 2.44 | 0.594 | 100 | 709–817 | [12] | |
| 8 | 97.56 | 0 | 2.44 | 0.599 | 60 | 720–869 | [12] | |
| Shock tube | 9 | 86.36 | 4.55 | 9.09 | 0.796 | 60 | 748–1187 | [12] |
| 10 | 90.91 | 0 | 9.09 | 0.816 | 60 | 785–1284 | [12] | |
| Reaction Number | Reaction Equation |
|---|---|
| 42 | CH4 + OH ↔ H2O + CH3 |
| 44 | CH4 + O2 ↔ CH3 + HO2 |
| 45 | CH4 + HO2 ↔ CH3 + H2O2 |
| Reaction Number | Reaction Equation |
|---|---|
| 235 | C3H8 + OH ↔ n-C3H7 + H2O |
| 238 | C3H8 + HO2 ↔ n-C3H7 + H2O2 |
| 244 | n-C3H7 + O2 ↔ C3H6 + HO2 |
| 247 | C3H6OOH + O2 ↔ OC3H5OOH + OH |
| 248 | OC3H5OOH ↔ CH2CHO + CH2O + OH |
| Reaction Number | Reaction Equation |
|---|---|
| 1 | H + O2 ↔ OH + O |
| 25 | CO + OH ↔ CO2 + H |
| 56 | CH3 + H (+M) ↔ CH4 (+M) |
| Step | React. | Reaction Equation | Purpose | Mech. |
|---|---|---|---|---|
| 1 | 42 | CH4 + OH ↔ H2O + CH3 | Update of adjustments made in [7] | MechC |
| 44 | CH4 + O2 ↔ CH3 + HO2 | |||
| 45 | CH4 + HO2 ↔ CH3 + H2O2 | |||
| 302 | n-C7-OQOOH ↔ OH + CH2O + CO + C2H4 + n-C3H7 | |||
| 2 | 235 | C3H8 + OH ↔ n-C3H7 + H2O | Correcting propane influence on IDT | MechD |
| 238 | C3H8 + HO2 ↔ n-C3H7 + H2O2 | |||
| 244 | n-C3H7 + O2 ↔ C3H6 + HO2 | |||
| 247 | C3H6OOH + O2 ↔ OC3H5OOH + OH | |||
| 248 | OC3H5OOH ↔ CH2CHO + CH2O + OH | |||
| 3 | 1 | H + O2 ↔ OH + O | Correcting flame speed calculation | TU Wien dual fuel mech. 2.0 |
| 25 | CO + OH ↔ CO2 + H | |||
| 56 | CH3 + H (+M) ↔ CH4 (+M) |
© 2020 by the authors. Licensee MDPI, Basel, Switzerland. This article is an open access article distributed under the terms and conditions of the Creative Commons Attribution (CC BY) license (http://creativecommons.org/licenses/by/4.0/).
Share and Cite
Schuh, S.; Winter, F. Dual Fuel Reaction Mechanism 2.0 including NOx Formation and Laminar Flame Speed Calculations Using Methane/Propane/n-Heptane Fuel Blends. Energies 2020, 13, 778. https://doi.org/10.3390/en13040778
Schuh S, Winter F. Dual Fuel Reaction Mechanism 2.0 including NOx Formation and Laminar Flame Speed Calculations Using Methane/Propane/n-Heptane Fuel Blends. Energies. 2020; 13(4):778. https://doi.org/10.3390/en13040778
Chicago/Turabian StyleSchuh, Sebastian, and Franz Winter. 2020. "Dual Fuel Reaction Mechanism 2.0 including NOx Formation and Laminar Flame Speed Calculations Using Methane/Propane/n-Heptane Fuel Blends" Energies 13, no. 4: 778. https://doi.org/10.3390/en13040778
APA StyleSchuh, S., & Winter, F. (2020). Dual Fuel Reaction Mechanism 2.0 including NOx Formation and Laminar Flame Speed Calculations Using Methane/Propane/n-Heptane Fuel Blends. Energies, 13(4), 778. https://doi.org/10.3390/en13040778

