Electromechanical Modeling of MEMS-Based Piezoelectric Energy Harvesting Devices for Applications in Domestic Washing Machines
Abstract
1. Introduction
2. Electromechanical Modeling
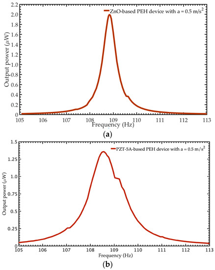
3. Results and Discussion
4. Conclusions
Author Contributions
Funding
Acknowledgments
Conflicts of Interest
References
- Narita, F.; Fox, M. A review on piezoelectric, magnetostrictive, and magnetoelectric materials and device technologies for energy harvesting applications. Adv. Eng. Mater. 2019, 20, 1700743. [Google Scholar] [CrossRef]
- Setthawong, P.; Osothsilp, A.; Triyason, T. An IoT implementation for vacancy state of public coin operated washing machine using vibration level sensors in an apartment setting in Thailand. In Mobile and Wireless Technologies 2017. ICMWT 2017; Kim, K., Joukov, N., Eds.; Lecture Notes in Electrical Engineering; Springer: Singapore, 2017; Volume 425, pp. 129–138. [Google Scholar]
- Dange, S.; Chatterjee, M. IoT Botnet: The Largest Threat to the IoT Network. In Data Communication and Networks. Advances in Intelligent Systems and Computing; Jain, L., Tsihrintzis, G., Balas, V., Sharma, D., Eds.; Springer: Singapore, 2020; Volume 1049, pp. 137–157. [Google Scholar]
- Malik, M.; Dutta, M.; Granjal, J. A Survey of Key Bootstrapping Protocols Based on Public Key Cryptography in the Internet of Things. IEEE Access 2019, 7, 27443–27464. [Google Scholar] [CrossRef]
- Wang, Z.L.; Song, J. Piezoelectric Nanogenerators Based on Zinc Oxide Nanowire Arrays. Science 2006, 312, 242–246. [Google Scholar] [CrossRef] [PubMed]
- Hu, D.; Yao, M.; Fan, Y.; Ma, C.; Fan, M.; Liu, M. Strategies to achieve high performance piezoelectric nanogenerators. Nano Energy 2019, 55, 288–304. [Google Scholar] [CrossRef]
- Yuan, H.; Lei, T.; Qin, Y.; Yang, R. Flexible electronic skins based on piezoelectric nanogenerators and piezotronics. Nano Energy 2019, 59, 84–90. [Google Scholar] [CrossRef]
- Yan, J.; Liu, M.; Jeong, Y.G.; Kang, W.; Li, L.; Zhao, Y.; Deng, N.; Cheng, B.; Yang, G. Performance enhancements in poly(vinylidene fluoride)-based piezoelectric nanogenerators for efficient energy harvesting. Nano Energy 2019, 56, 662–692. [Google Scholar] [CrossRef]
- Maiwa, H. Piezoelectric Energy Harvesting. In Piezoelectric Materials; Ogawa, T., Ed.; Intech: Rijeka, Croatia, 2016; pp. 129–142. [Google Scholar]
- Szperlich, P.; Toroń, B. An Ultrasonic Fabrication Method for Epoxy Resin/SbSI Nanowire Composites, and their Application in Nanosensors and Nanogenerators. Polymers 2019, 11, 479. [Google Scholar] [CrossRef]
- Nowak, M.; Tański, T.; Szperlich, P.; Matysiak, W.; Kępińska, M.; Stróż, D.; Bober, Ł.; Toroń, B. Using of sonochemically prepared SbSI for electrospun nanofibers. Ultrason. Sonochem. 2017, 38, 544–552. [Google Scholar] [CrossRef]
- Toroń, B.; Szperlich, P.; Nowak, M.; Stróż, D.; Rzychoń, T. Novel piezoelectric paper based on SbSI nanowires. Cellulose 2018, 25, 7–15. [Google Scholar] [CrossRef]
- Purusothaman, Y.; Rao Alluri, N.; Chandrasekhar, A.; Kim, S.-J. Photoactive piezoelectric energy harvester driven by antimony sulfoiodide (SbSI): A AVBVICVII class ferroelectric-semiconductor compound. Nano Energy 2018, 50, 256–265. [Google Scholar] [CrossRef]
- Jesionek, M.; Toroń, B.; Szperlich, P.; Biniaś, W.; Biniaś, D.; Rabiej, S.; Starczewska, A.; Nowak, M.; Kępińska, M.; Dec, J. Fabrication of a new PVDF/SbSI nanowire composite for smart wearable textile. Polymer 2019, 180, 121729. [Google Scholar] [CrossRef]
- Manbachi, A.; Cobbold, R.S. Development and application of piezoelectric materials for ultrasound generation and detection. Ultrasound 2011, 19, 187–196. [Google Scholar] [CrossRef]
- Chamanian, S.; Muhtaroğlu, A.; Külah, H. A Self-Adapting Synchronized-Switch Interface Circuit for Piezoelectric Energy Harvesters. IEEE Trans. Power Electron. 2020, 35, 901–912. [Google Scholar] [CrossRef]
- Chauhan, S.S.; Joglekar, M.M.; Manhas, S.K. High Power Density CMOS Compatible Micro-Machined MEMs Energy Harvester. IEEE Sens. J. 2019, 19, 9122–9130. [Google Scholar] [CrossRef]
- Chamanian, S.; Uluşan, H.; Koyuncuoğlu, A.; Muhtaroğlu, A.; Külah, H. An Adaptable Interface Circuit With Multistage Energy Extraction for Low-Power Piezoelectric Energy Harvesting MEMS. IEEE Trans. Power Electron. 2019, 34, 2739–2747. [Google Scholar] [CrossRef]
- Li, G.; Yi, Z.; Hu, Y.; Liu, J.; Yang, B. High-performance low-frequency MEMS energy harvester via partially covering PZT thick film. J. Micromechan. Microeng. 2018, 28, 095007. [Google Scholar] [CrossRef]
- Tian, W.; Ling, Z.; Yu, W.; Shi, J. A Review of MEMS Scale Piezoelectric Energy Harvester. Appl. Sci. 2018, 8, 645. [Google Scholar] [CrossRef]
- Damya, A.; Abbaspour Sani, E.; Rezazadeh, G. An innovative piezoelectric energy harvester using clamped–clamped beam with proof mass for WSN applications. Microsyst. Technol. 2018, (in press). [CrossRef]
- Liu, H.; Lee, C.; Kobayashi, T.; Tay, C.J.; Quan, C. Investigation of a MEMS piezoelectric energy harvester system with a frequency-widened-bandwidth mechanism introduced by mechanical stoppers. Smart Mater. Struct. 2012, 21, 035005. [Google Scholar] [CrossRef]
- Lu, F.; Lee, H.P.; Lim, S.P. Modeling and analysis of micro piezoelectric power generators for micro-electromechanical-systems applications. Smart Mater. Struct. 2003, 13, 57. [Google Scholar] [CrossRef]
- Mouapi, A. Design, Modeling and Simulation of Piezoelectric Microgenerator for application in Underground Vehicles. In 2019 IEEE International Conference on Environment and Electrical Engineering and 2019, IEEE Industrial and Commercial Power Systems Europe (EEEIC/I & CPS Europe), 11–14 June 2019; IEEE: Genova, Italy, June 2019; pp. 1–5. [Google Scholar]
- Pradeesh, E.L.; Udhayakumar, S. Effect of placement of piezoelectric material and proof mass on the performance of piezoelectric energy harvester. Mech. Syst. Signal Process. 2019, 130, 664–676. [Google Scholar] [CrossRef]
- Roundy, S.J. Energy Scavenging for Wireless Sensor Nodes with a Focus on Vibration to Electricity Conversion. Ph.D. Thesis, University of California, Berkeley, CA, USA, 2003. [Google Scholar]
- Rao, S.S. Mechanical Vibrations, 4th ed.; Pearson-Prentice Hall: Upper Saddle River, NJ, USA, 2004; pp. 134–633. [Google Scholar]
- Beer, F.P.; Johnston, E.R., Jr.; David, F.; Eisenberg, E.R. Vector Mechanics for Engineers: Statics and Dynamics, 10th ed.; McGraw Hill Higher Education: New York, NY, USA, 2012; p. 1280. [Google Scholar]
- Weaver, W., Jr.; Timoshenko, S.P.; Young, D.H. Vibration Problems in Engineering, 5th ed.; John Wiley & Sons: New York, USA, 1990; p. 624. [Google Scholar]
- Hibbeler, R.C. Engineering mechanics: Statics, 12th ed.; Pearson Education: Upper Saddle River, NJ, USA, 2010; p. 650. [Google Scholar]
- Bauchau, O.A.; Craig, J.I. Euler-Bernoulli beam theory. In Structural analysis; Bauchau, O.A., Craig, J.I., Eds.; Springer: Dordrecht, The Netherlands, 2009; pp. 173–221. [Google Scholar]
- Craig, R.R., Jr. Mechanics of Materials, 1st ed.; John Wiley & Sons Inc.: New York, NY, USA, 1996; pp. 243–250. [Google Scholar]
- Tung, V.T.; Tinh, N.T.; Yen, N.H.; Tuan, D.A. Evaluation of Electromechanical Coupling Factor for Piezoelectric Materials Using Finite Element Modeling. Int. J. Mater. Chem. 2013, 3, 4. [Google Scholar]
- Pan, C.T.; Liu, Z.H.; Chen, Y.C. Study of broad bandwidth vibrational energy harvesting system with optimum thickness of PET substrate. Curr. Appl. Phys. 2012, 12, 684–696. [Google Scholar] [CrossRef]
- Blom, F.R.; Bouwstra, S.; Elwenspoek, M.; Fluitman, J.H.J. Dependence of the quality factor of micromachined silicon beam resonators on pressure and geometry. J. Vacuum Sci. Technol. 1992, 10, 19–26. [Google Scholar] [CrossRef]
- Kuang, Y.; Daniels, A.; Zhu, M. A sandwiched piezoelectric transducer with flex end-caps for energy harvesting in large force environments. J. Phys. D Appl. Phys. 2017, 50, 345501. [Google Scholar] [CrossRef]
- Ong, C.W.; Zong, D.G.; Aravind, M.; Choy, C.L.; Lu, D.R. Tensile strength of zinc oxide films measured by a microbridge method. J. Mater. Res. 2003, 18, 2464–2472. [Google Scholar] [CrossRef]
- Cao, H.; Evans, A.G. Nonlinear deformation of ferroelectric ceramics. J. Am. Ceram. Soc. 1993, 76, 890–896. [Google Scholar] [CrossRef]
- Iqbal, M.; Khan, F.U. Hybrid vibration and wind energy harvesting using combined piezoelectric and electromagnetic conversion for bridge health monitoring applications. Energy Convers. Manag. 2018, 172, 611–618. [Google Scholar] [CrossRef]










| Geometrical Parameter | Dimension (mm) | Geometrical Parameter | Dimension (µm) |
|---|---|---|---|
| Ls1 | 8 | t1s1 = t1s2 | 150 |
| Ls2 | 5 | t2s1 = t2s2 | 1.5 |
| b1s1 = b2s1 | 10 | t3s2 | 600 (Design with PZT-5A) 810 (Design with ZnO) |
| b1s2 = b2s2 = b3s2 | 15 | h1s1 = h1s2 | 150 |
| h2s1 = h2s2 | 151.5 | ||
| h3s2 | 751.5 (Design with PZT-5A) 961.5 (Design with ZnO) |
| Material | Density (kg/m3) | Young’s Modulus (GPa) | Poisson Ratio | References |
|---|---|---|---|---|
| PZT-5A | 7750 | 65 | 0.31 | [33] |
| ZnO | 5665 | 137 | 0.25 | [34] |
| PET | 1400 | 2.4 | 0.36 | [34] |
| UV-resin | 1037.78 | 2.4 | 0.34 | [34] |
| Parameter | Design with PZT-5A | Design with ZnO | |
|---|---|---|---|
| Elastic Centroid | as1 | 0.000091143 m | 0.0001025271 m |
| as2 | 0.000364615 m | 0.0004542 m | |
| Bending Moment | M0 | 0.00000721820 Nm | 0.00000886784 Nm |
| Reaction Load | R0 | 0.000795119875 N | 0.0009507091 N |
| Weight per unit Length | ws1 | 0.0217414125 N/m | 0.021434604 N/m |
| ws2 | 0.124237715 N/m | 0.1558464 N/m | |
| Bending Stiffness | (EIz)s1 | 0.0000111524 Nm2 | 0.000014257 Nm2 |
| (EIz)s2 | 0.00134101 Nm2 | 0.00296993 Nm2 | |
| Potential Energy Kinetic Energy | Pmax | 7.4995E−9 J | 8.98301 E−9 J |
| Kmax λ2 | 1.7267 E−14 J | 2.01875 E−14 J |
| Parameter | ZnO-Based PEH Device | PZT-5A-Based PEH Device |
|---|---|---|
| First bending resonant frequency (Hz) | 108.84 | 108.54 |
| Maximum deflection at resonance (mm) | 7.83 | 8.09 |
| Maximum normal stress along x-axis (MPa) | 38.45 | 11.74 |
| Maximum output voltage (mV) | 545.32 | 45.10 |
| Optimum load resistance (kΩ) | 151.12 | 1.5 |
| Output power (µW) | 1.97 | 1.35 |
© 2020 by the authors. Licensee MDPI, Basel, Switzerland. This article is an open access article distributed under the terms and conditions of the Creative Commons Attribution (CC BY) license (http://creativecommons.org/licenses/by/4.0/).
Share and Cite
Martínez-Cisneros, E.; Velosa-Moncada, L.A.; Del Angel-Arroyo, J.A.; Aguilera-Cortés, L.A.; Cerón-Álvarez, C.A.; Herrera-May, A.L. Electromechanical Modeling of MEMS-Based Piezoelectric Energy Harvesting Devices for Applications in Domestic Washing Machines. Energies 2020, 13, 617. https://doi.org/10.3390/en13030617
Martínez-Cisneros E, Velosa-Moncada LA, Del Angel-Arroyo JA, Aguilera-Cortés LA, Cerón-Álvarez CA, Herrera-May AL. Electromechanical Modeling of MEMS-Based Piezoelectric Energy Harvesting Devices for Applications in Domestic Washing Machines. Energies. 2020; 13(3):617. https://doi.org/10.3390/en13030617
Chicago/Turabian StyleMartínez-Cisneros, Eustaquio, Luis A. Velosa-Moncada, Jesús A. Del Angel-Arroyo, Luz Antonio Aguilera-Cortés, Carlos Arturo Cerón-Álvarez, and Agustín L. Herrera-May. 2020. "Electromechanical Modeling of MEMS-Based Piezoelectric Energy Harvesting Devices for Applications in Domestic Washing Machines" Energies 13, no. 3: 617. https://doi.org/10.3390/en13030617
APA StyleMartínez-Cisneros, E., Velosa-Moncada, L. A., Del Angel-Arroyo, J. A., Aguilera-Cortés, L. A., Cerón-Álvarez, C. A., & Herrera-May, A. L. (2020). Electromechanical Modeling of MEMS-Based Piezoelectric Energy Harvesting Devices for Applications in Domestic Washing Machines. Energies, 13(3), 617. https://doi.org/10.3390/en13030617

