Degradation and Dependence Analysis of a Lithium-Ion Battery Pack in the Unbalanced State
Abstract
1. Introduction
2. Experimental Methods
2.1. Test Equipment
2.2. Cycle Life Tests
- The battery with no degradation treatment (referred to as the normal cell) had good initial consistency.
- The battery that underwent the initial capacity degradation treatment (referred to as the degraded cell) had the same degree of degradation.
3. Results
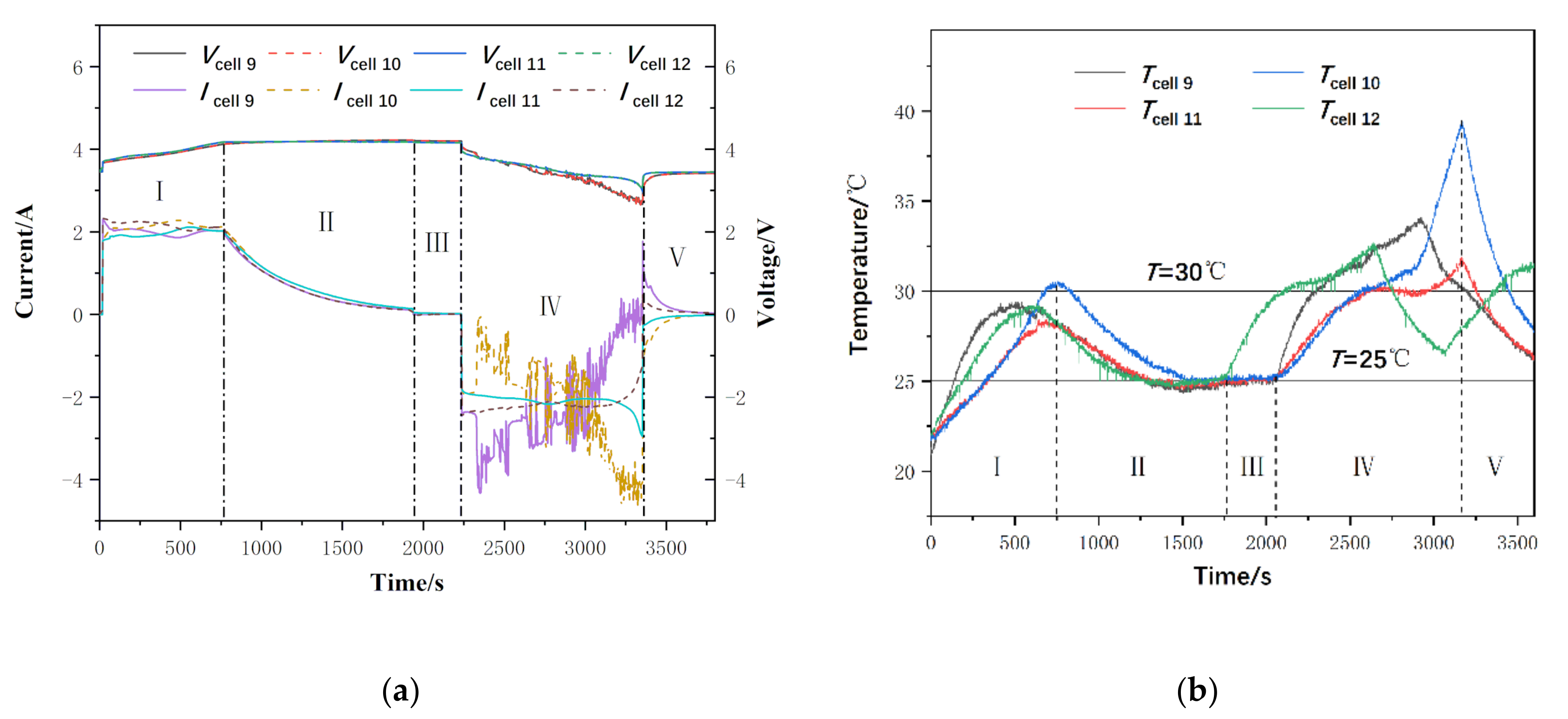
3.1. Unbalance Analysis in the Charge–Discharge Cycle
- The series configuration that primarily reflected the voltage difference:
- 2.
- The parallel configuration that primarily reflected the current difference:
- 3.
- The series–parallel configuration that reflected both the current and voltage differences:
- 4.
- The parallel–series configuration that reflected both the current and voltage differences:
- For the series circuit, the voltage value of the degraded battery is significantly higher than that of the normal battery. Moreover, due to the higher internal resistance, the degraded battery increases the load in the circuit and accelerates the energy consumption of the battery pack, and there is also the risk of reverse voltage;
- For the parallel circuit, due to the lower discharge capacity of the degraded battery and the higher resistance, the normal battery must make up for its insufficient discharge, causing the current of the normal battery to become higher than the set value.
3.2. Degradation Process and Dependency Analysis
3.2.1. Capacity Degradation Process Analysis
- When the normal cell was connected in series with the degraded cell, the degradation rate did not show a large difference.
- When the normal cell was connected in parallel with the degraded cell, the degradation rate of the normal cell was significantly smaller than that of the degraded cell.
- The degradation rates of Pack A and its cells were not significantly different. The degradation rates of Pack B and Pack C were significantly higher than the rates of their cells.
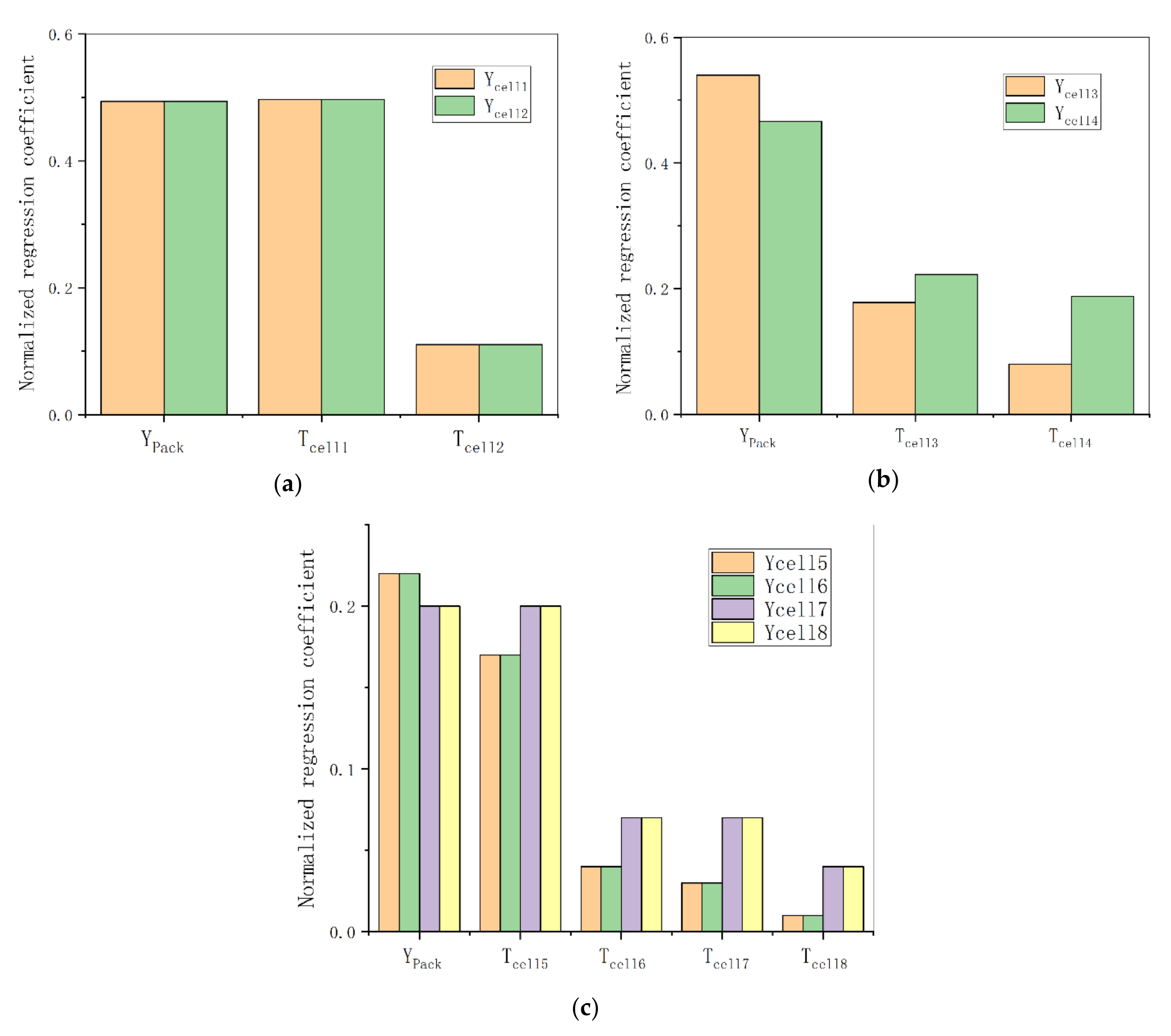
3.2.2. Dependency Analysis of the Battery Packs
- Cell-1 and Cell-2 in Pack A had the same effect on the battery degradation and temperature.
- The effect of Cell-3 on the capacity of the battery pack in Pack B was significantly higher than that of Cell-4. However, for the impact on temperature, Cell-4 is higher than Cell-3. Based on previous analysis and test results, in the unbalanced state, the normal cell in the parallel structure will demonstrate an over-current phenomenon because it must compensate for the insufficient discharge capacity of the degraded cell. As the cycle increases, the difference between the cells becomes greater, and the current load of the normal battery also becomes greater. It can be seen from the formula that the heat of the battery increases with the current squared. Therefore, when the difference between batteries reaches a certain level, the influence of normal batteries on temperature plays a leading role.
- Pack C combined the characteristics of Pack A and Pack B, and the battery in series had the same degree of influence. In addition, there was a significant difference in the degree of influence of the parallel battery.
- The temperature of the degraded cells was affected by the cells more than it was by the normal cells.
4. Conclusions
Author Contributions
Funding
Conflicts of Interest
Glossary
| Variable | |
| Discharge capacity | |
| Capacity degradation rate | |
| Capacity degradation mAh | |
| Correlation coefficient | |
| Charge–discharge cycle | |
| Matrix containing the independent variables | |
| Matrix containing the dependent variables | |
| Principal component vector of A | |
| Principal component vector of B | |
| Score vector of | |
| Score vector of | |
| Regression coefficient for independent variables | |
| Regression coefficient for dependent variables | |
| Cross-validity test coefficient |
Appendix A



References
- Yun, L.; Sandoval, J.; Zhang, J.; Gao, L.; Garg, A.; Wang, C.T. Lithium-Ion Battery Packs Formation with Improved Electrochemical Performance for Electric Vehicles: Experimental and Clustering Analysis. J. Electrochem. Energy Convers. Storage 2019, 16, 11. [Google Scholar] [CrossRef]
- Kim, K.; Park, K.; Lee, J.; Chun, K.; Lee, S.H. Analysis of Battery/Generator Hybrid Container Ship for CO2 Reduction. IEEE Access 2018, 6, 14537–14543. [Google Scholar] [CrossRef]
- Donateo, T.; Ficarella, A.; Spedicato, L.; Arista, A.; Ferraro, M. A new approach to calculating endurance in electric flight and comparing fuel cells and batteries. Appl. Energy 2017, 187, 807–819. [Google Scholar] [CrossRef]
- Wang, X.Y.; Zhao, X.; Wang, S.Q.; Sun, L.P. Reliability and maintenance for performance-balanced systems operating in a shock environment. Reliab. Eng. Syst. Saf. 2020, 195. [Google Scholar] [CrossRef]
- Zhang, C.P.; Jiang, Y.; Jiang, J.C.; Cheng, G.; Diao, W.P.; Zhang, W.G. Study on battery pack consistency evolutions and equilibrium diagnosis for serial- connected lithium-ion batteries. Appl. Energy 2017, 207, 510–519. [Google Scholar] [CrossRef]
- He, X.M.; Zhang, G.; Feng, X.N.; Wang, L.; Tian, G.Y.; Ouyang, M.G. A Facile Consistency Screening Approach to Select Cells with Better Performance Consistency for Commercial 18650 Lithium Ion Cells. Int. J. Electrochem. Sci. 2017, 12, 10239–10258. [Google Scholar] [CrossRef]
- Sakti, A.; Azevedo, I.M.L.; Fuchs, E.R.H.; Michalek, J.J.; Gallagher, K.G.; Whitacre, J.F. Consistency and robustness of forecasting for emerging technologies: The case of Li-ion batteries for electric vehicles. Energy Policy 2017, 106, 415–426. [Google Scholar] [CrossRef]
- Rumpf, K.; Rheinfeld, A.; Schindler, M.; Keil, J.; Schua, T.; Jossen, A. Influence of Cell-to-Cell Variations on the Inhomogeneity of Lithium-Ion Battery Modules. J. Electrochem. Soc. 2018, 165, A2587–A2607. [Google Scholar] [CrossRef]
- Santhanagopalan, S.; White, R.E. Quantifying Cell-to-Cell Variations in Lithium Ion Batteries. Int. J. Electrochem. 2012. [Google Scholar] [CrossRef]
- Wang, X.; Wang, Z.; Wang, L.; Wang, Z.; Guo, H. Dependency analysis and degradation process-dependent modeling of lithium-ion battery packs. J. Power Sources 2019, 414, 318–326. [Google Scholar] [CrossRef]
- Qi, J.; Lu, D.D.C. Review of Battery Cell Balancing Techniques. In Proceedings of the 2014 Australasian Universities Power Engineering Conference (AUPEC), Perth, Australia, 28 September–1 October 2014. [Google Scholar]
- Cao, J.; Schofield, N.; Emadi, A. Battery balancing methods: A comprehensive review. In Proceedings of the 2008 IEEE Vehicle Power and Propulsion Conference, Harbin, China, 3–5 September 2008. [Google Scholar]
- Omariba, Z.B.; Zhang, L.; Sun, D.J.I.A. Review of Battery Cell Balancing Methodologies for Optimizing Battery Pack Performance in Electric Vehicles. IEEE Access 2019, 7, 129335–129352. [Google Scholar] [CrossRef]
- Devie, A.; Baure, G.; Dubarry, M. Intrinsic Variability in the Degradation of a Batch of Commercial 18650 Lithium-Ion Cells. Energies 2018, 11, 31. [Google Scholar] [CrossRef]
- Feng, X.N.; Xu, C.S.; He, X.M.; Wang, L.; Zhang, G.; Ouyang, M.G. Mechanisms for the evolution of cell variations within a LiNixCoyMnzO2/graphite lithium-ion battery pack caused by temperature non-uniformity. J. Clean Prod. 2018, 205, 447–462. [Google Scholar] [CrossRef]
- Rumpf, K.; Naumann, M.; Jossen, A. Experimental investigation of parametric cell-to-cell variation and correlation based on 1100 commercial lithium-ion cells. J. Energy Storage 2017, 14, 224–243. [Google Scholar] [CrossRef]
- Wang, Z.P.; Liu, P.; Wang, L.F. Analysis on the capacity degradation mechanism of a series lithium-ion power battery pack based on inconsistency of capacity. Chin. Phys. B 2013, 22. [Google Scholar] [CrossRef]
- Li, J.Q.; Tan, F.; Zhang, C.N.; Sun, F.C. Capacity Fade Diagnosis of Lithium ion Battery Pack in Electric Vehicle Base on Fuzzy Neural Network. Energy Proced. 2014, 61, 2066–2070. [Google Scholar] [CrossRef]
- Peterson, S.B.; Apt, J.; Whitacre, J.F. Lithium-ion battery cell degradation resulting from realistic vehicle and vehicle-to-grid utilization. J. Power Sources 2010, 195, 2385–2392. [Google Scholar] [CrossRef]
- Stoican, O.S. Voltage Reversal in Series-connected Three 1.5V AAA Alkaline Batteries. Int. J. Electrochem. Sci. 2019, 14, 897–904. [Google Scholar] [CrossRef]
- Aizpuru, I.; Iraola, U.; Canales, J.M.; Unamuno, E.; Gil, I. Battery pack tests to detect unbalancing effects in series connected Li-ion cells. In Proceedings of the 4th International Conference on Clean Electrical Power: Renewable Energy Resources Impact, ICCEP 2013, Alghero, Italy, 11–13 June 2013; pp. 99–106. [Google Scholar]
- Chang, L.; Zhang, C.H.; Wang, T.X.; Yu, Z.H.; Cui, N.X.; Duan, B.; Wang, C.Y. Correlations of cell-to-cell parameter variations on current and state-of-charge distributions within parallel-connected lithium-ion cells. J. Power Sources 2019, 437. [Google Scholar] [CrossRef]
- Baochang, S.; Aidi, S.J.C.M. Control. Modelling and Current Distribution of Parallel-connected Lithium Cells. Comput. Meas. Control 2017, 25. [Google Scholar] [CrossRef]
- Zhang, Y.C.; Zhao, R.X.; Dubie, J.; Jahns, T.; Juang, L. Investigation of Current Sharing and Heat Dissipation in Parallel-Connected Lithium-Ion Battery Packs. In Proceedings of the 2016 IEEE Energy Conversion Congress and Exposition (ECCE), Milwaukee, WI, USA, 18–22 September 2016. [Google Scholar]
- Feng, X.N.; Xu, C.S.; He, X.M.; Wang, L.; Gao, S.; Ouyang, M.G. A graphical model for evaluating the status of series-connected lithium-ion battery pack. Int. J. Energy Res. 2019, 43, 749–766. [Google Scholar] [CrossRef]
- Ko, S.T.; Lee, J.; Ahn, J.H.; Lee, B.K. Innovative Modeling Approach for Li-Ion Battery Packs Considering Intrinsic Cell Unbalances and Packaging Elements. Energies 2019, 12, 356. [Google Scholar] [CrossRef]
- Dubarry, M.; Pastor-Fernandez, C.; Baure, G.; Yu, T.F.; Widanage, W.D.; Marco, J. Battery energy storage system modeling: Investigation of intrinsic cell-to-cell variations. J. Energy Storage 2019, 23, 19–28. [Google Scholar] [CrossRef]
- Dubarry, M.; Baure, G.; Pastor-Fernandez, C.; Yu, T.F.; Widanage, W.D.; Marco, J. Battery energy storage system modeling: A combined comprehensive approach. J. Energy Storage 2019, 21, 172–185. [Google Scholar] [CrossRef]
- Hong, H.P.; Zhou, W.; Zhang, S.; Ye, W.J.R.E.; Safety, S. Optimal condition-based maintenance decisions for systems with dependent stochastic degradation of components. Reliab. Eng. Syst. Saf. 2014, 121, 276–288. [Google Scholar] [CrossRef]
- D’Amico, G.; Petroni, F. Copula based multivariate semi-Markov models with applications in high-frequency finance. Eur. J. Oper. Res. 2018, 267, 765–777. [Google Scholar] [CrossRef]
- Guven, G.; Samkar, H. Examination of Dimension Reduction Performances of PLSR and PCR Techniques in Data with Multicollinearity. Iran. J. Sci. Technol. Trans. A-Sci. 2019, 43, 969–978. [Google Scholar] [CrossRef]
- Hannan, M.A.; Lipu, M.S.H.; Hussain, A.; Mohamed, A. A review of lithium-ion battery state of charge estimation and management system in electric vehicle applications: Challenges and recommendations. Renew. Sustain. Energy Rev. 2017, 78, 834–854. [Google Scholar] [CrossRef]
- Yedluri, A.K.; Anitha, T.; Kim, H.J. Fabrication of Hierarchical NiMoO4/NiMoO4 Nanoflowers on Highly Conductive Flexible Nickel Foam Substrate as a Capacitive Electrode Material for Supercapacitors with Enhanced Electrochemical Performance. Energies 2019, 12, 1143. [Google Scholar] [CrossRef]
- Kumar, Y.A.; Kumar, K.D.; Kim, H.J. Reagents assisted ZnCo2O4 nanomaterial for supercapacitor application. Electrochim. Acta 2020, 330. [Google Scholar] [CrossRef]
- Mu, Y.S.; Liu, X.D.; Wang, L.D. A Pearson’s correlation coefficient based decision tree and its parallel implementation. Inf. Sci. 2018, 435, 40–58. [Google Scholar] [CrossRef]
- Brozek, K.; Kogut, J. Analysis of pearson’s linear correlation coefficient with the use of numerical examples; Melandrium: Slany. In Proceedings of the 10th International Days of Statistics and Economics, Prague, Czech Republic, 8–10 September 2016; 2016; pp. 247–255. [Google Scholar]













| Item | Specification |
|---|---|
| Typical Capacity | 2150 mAh |
| Minimum Capacity | 2050 mAh |
| Charging Voltage | 4.2 V ± 0.05 V |
| Nominal Voltage | 3.62 V |
| Charging Method | Constant voltage with limited current |
| Charging Current | Standard charge: 1075 mA Rapid charge: 2150 mA |
| Charging Time | Standard charge: 3 h Rapid charge: 2.5 h |
| Max. Charge Current | 2150 mA |
| Max. Discharge Current | 10 A (Continuous discharge) |
| Discharge Cut-Off Voltage | 2.75 V |
| Cell Weight | 44.5 g max. |
| Cell Dimension | Diameter (max.): Φ 18.40 mm Height: 65 mm max. |
| Operating Temperature | Charge: 0 to 45 °C−10 to 0 °C (Charging voltage: 4.10 V/Cell, Charging Current: Under 0.5 C) (2 *) Discharge: −20 to 60 °C |
| Storage Temperature | 1 year: −20~25 °C (1 *); 3 months: −20~45 °C (1 *) |
| Cell-1 | Cell-2 | Cell-3 | Cell-4 | Cell-5 | Cell-6 | |
| Initial capacity (mAh) | 2100 | 2095 | 2103 | 2110 | 2100 | 2090 |
| Cell-7 | Cell-8 | Cell-9 | Cell-10 | Cell-11 | Cell-12 | |
| Initial capacity (mAh) | 2103 | 2104 | 2101 | 2115 | 2099 | 2110 |
| Cell | Initial Capacity (mAh) | Degraded Capacity (mAh) |
|---|---|---|
| Cell-1 | 2100 | 1995 |
| Cell-3 | 2103 | 1997 |
| Cell-5 | 2100 | 1996 |
| Cell-9 | 2101 | 1995 |
| Pack No. | Configuration | Cell No. |
|---|---|---|
| Pack A | Series | Cell 1, 2 |
| Pack B | Parallel | Cell 3, 4 |
| Pack C | Series–parallel | Cell 5, 6, 7, 8 |
| Pack D | Parallel–series | Cell 9, 10, 11, 12 |
| (a) | YCell-1 | YCell-2 | YPack-A | ||||
| YCell-1 | 1 | 0.9995 | 0.9910 | ||||
| YCell-2 | 1 | 0.9906 | |||||
| YPack-A | 1 | ||||||
| (b) | YCell-3 | YCell-4 | YPack-B | ||||
| YCell-3 | 1 | 0.9887 | 0.9750 | ||||
| YCell-4 | 1 | 0.9123 | |||||
| YPack-B | 1 | ||||||
| (c) | YCell-5 | YCell-6 | YCell-7 | YCell-8 | YPack-C | ||
| YCell-5 | 1 | 0.9995 | 0.9188 | 0.9178 | 0.9856 | ||
| YCell-6 | 1 | 0.9181 | 0.9171 | 0.9857 | |||
| YCell-7 | 1 | 0.9990 | 0.8999 | ||||
| YCell-8 | 1 | 0.8991 | |||||
| YPack-C | 1 | ||||||
| (d) | YCell-9 | YCell-10 | YCell-11 | YCell-12 | YPack-D | ||
| YCell-9 | 1 | 0.5767 | 0.3264 | 0.5750 | 0.4570 | ||
| YCell-10 | 1 | 0.3664 | 0.4711 | 0.2647 | |||
| YCell-11 | 1 | −0.5109 | 0.1485 | ||||
| YCell-12 | 1 | 0.2640 | |||||
| YPack-D | 1 | ||||||
| Pack-A | Cell-1 | Cell-2 | |||||
|---|---|---|---|---|---|---|---|
| mu | 0.6789 | 0.7545 | 0.7712 | ||||
| sigma | 5.0358 | 6.3175 | 6.7718 | ||||
| p-value | >0.05 | >0.05 | >0.05 | ||||
| Pack-B | Cell-3 | Cell-4 | |||||
| mu | 1.0801 | 0.8617 | 0.4764 | ||||
| sigma | 13.7966 | 12.5706 | 6.1109 | ||||
| p-value | >0.05 | >0.05 | >0.05 | ||||
| Pack-C | Cell-5 | Cell-6 | Cell-7 | Cell-8 | |||
| mu | 1.2921 | 0.6813 | 0.6822 | 0.4124 | 0.4112 | ||
| sigma | 24.4506 | 7.5422 | 7.4526 | 7.7252 | 7.6654 | ||
| p-value | >0.05 | >0.05 | >0.05 | >0.05 | >0.05 | ||
| Pack No. | Degradation Rate | Cell No. | Degradation Rate |
|---|---|---|---|
| Pack-A | 0.7998 | Cell-1 | 0.8019 |
| Cell-2 | 0.8020 | ||
| Pack-B | 1.2681 | Cell-3 | 0.8613 |
| Cell-4 | 0.5543 | ||
| Pack-C | 1.3131 | Cell-5 | 0.9024 |
| Cell-6 | 0.9055 | ||
| Cell-7 | 0.4931 | ||
| Cell-8 | 0.4930 | ||
| Pack-D | 0.3970 | Cell-9 | 0.0103 |
| Cell-10 | 0.3730 | ||
| Cell-11 | 0.6448 | ||
| Cell-12 | −0.2737 |
| Pack-A | YPack-A | TCell-1 | TCell-2 | ||||
| YCell-1 | 0.4936 | −0.4968 | −0.1104 | ||||
| YCell-2 | 0.4936 | −0.4967 | −0.1104 | ||||
| Ncomp | 2 | ||||||
| R2 | 0.9824 | 0.8323 | 0.9405 | ||||
| Pack-B | YPack-B | TCell-3 | TCell-4 | ||||
| YCell-3 | 0.5391 | −0.1781 | −0.0797 | ||||
| YCell-4 | 0.4664 | −0.2226 | −0.1875 | ||||
| Ncomp | 2 | ||||||
| R2 | 0.9521 | 0.9082 | 0.9378 | ||||
| Pack-C | YPack-C | TCell-5 | TCell-6 | TCell-7 | TCell-8 | ||
| YCell-5 | 0.2240 | −0.1681 | −0.0424 | −0.0345 | −0.0114 | ||
| YCell-6 | 0.2241 | −0.1681 | −0.0424 | −0.0345 | −0.0114 | ||
| YCell-7 | 0.2100 | −0.2019 | −0.0742 | −0.0658 | −0.0417 | ||
| YCell-8 | 0.2100 | −0.2019 | −0.0742 | −0.0658 | −0.0417 | ||
| Ncomp | 2 | ||||||
| R2 | 0.9300 | 0.9018 | 0.9068 | 0.9133 | 0.9050 | ||
Publisher’s Note: MDPI stays neutral with regard to jurisdictional claims in published maps and institutional affiliations. |
© 2020 by the authors. Licensee MDPI, Basel, Switzerland. This article is an open access article distributed under the terms and conditions of the Creative Commons Attribution (CC BY) license (http://creativecommons.org/licenses/by/4.0/).
Share and Cite
Wang, X.; Li, S.; Wang, L.; Sun, Y.; Wang, Z. Degradation and Dependence Analysis of a Lithium-Ion Battery Pack in the Unbalanced State. Energies 2020, 13, 5934. https://doi.org/10.3390/en13225934
Wang X, Li S, Wang L, Sun Y, Wang Z. Degradation and Dependence Analysis of a Lithium-Ion Battery Pack in the Unbalanced State. Energies. 2020; 13(22):5934. https://doi.org/10.3390/en13225934
Chicago/Turabian StyleWang, Xiaohong, Shixiang Li, Lizhi Wang, Yaning Sun, and Zhongxing Wang. 2020. "Degradation and Dependence Analysis of a Lithium-Ion Battery Pack in the Unbalanced State" Energies 13, no. 22: 5934. https://doi.org/10.3390/en13225934
APA StyleWang, X., Li, S., Wang, L., Sun, Y., & Wang, Z. (2020). Degradation and Dependence Analysis of a Lithium-Ion Battery Pack in the Unbalanced State. Energies, 13(22), 5934. https://doi.org/10.3390/en13225934
