Energetic, Economic and Environmental (3E) Assessment and Design of Solar-Powered HVAC Systems in Pakistan
Abstract
1. Introduction
2. Working Principle and Description of Two Cooling Systems
2.1. Conventional Vapour Compression Cycle
2.2. Solar-Driven Vapour Absorption Cycle
3. Simulation Methodology
3.1. General Approach
3.2. The Case Study Building
3.3. Evacuated Tube Collector
3.4. Hot Water Storage Tank
3.5. Absorption Chiller
3.6. Vapour Compression Chiller
3.7. Cooling Tower
3.8. Pumps
3.9. Pipes
3.10. System Performance Indices
3.11. Model Validation
4. Results and Discussion
4.1. Weather Data
4.2. Cooling Load
4.3. Water-Cooled Vapour Compression Chiller Results
4.4. Solar-Driven Vapour Absorption Chiller Results
4.5. Energetic, Economic and Environmental (3E) Results
4.6. Parametric Study
5. Conclusions
- (1)
- At the current discount rate for Pakistan, the comparison of solar thermal and electric cooling technologies showed that the levelized capital cost of solar-absorption chillers is about three times higher than for conventional water-cooled chillers. The cost of the ACS system depends on selection of collector area and boiler for auxiliary energy requirements. On the other hand, the running cost of the solar-driven ACS is 4.1-times lower than for the water-cooled VCC. It was found that 3.19-times less CO2 emissions will be produced annually by using a solar-driven vapour absorption chiller for the selected building instead of an electrically driven water-cooled vapour compression chiller. In the case of using a solar-driven vapour absorption chiller to fulfil cooling needs of the selected building archetype, 1.65 × 106 kWh of primary energy can be saved annually.
- (2)
- The parametric study results indicate that solar fraction increases with increasing collector area, but the rate of increase of solar fraction decreases at higher collector areas. The rate of increase of solar fraction above an optimum collector area is not significant. There is no strong dependence between solar fraction and storage tank volume for the tested system. This is most likely due to the daytime only operation of the system so that a small storage tank is sufficient to balance solar resource and demand differences.
- (3)
- Another critical parameter that affects the performance of solar collectors is flow rate in the solar collector loop. It is found that increasing the flow rate results in higher useful energy gain and higher collector efficiency. The parametric study shows that the mass flow per unit collector area for optimal collector performance lies in the range of 16–50 kg/h m2. For higher flowrates, collector yield decreases and it also results in higher energy consumption of pumps.
- (4)
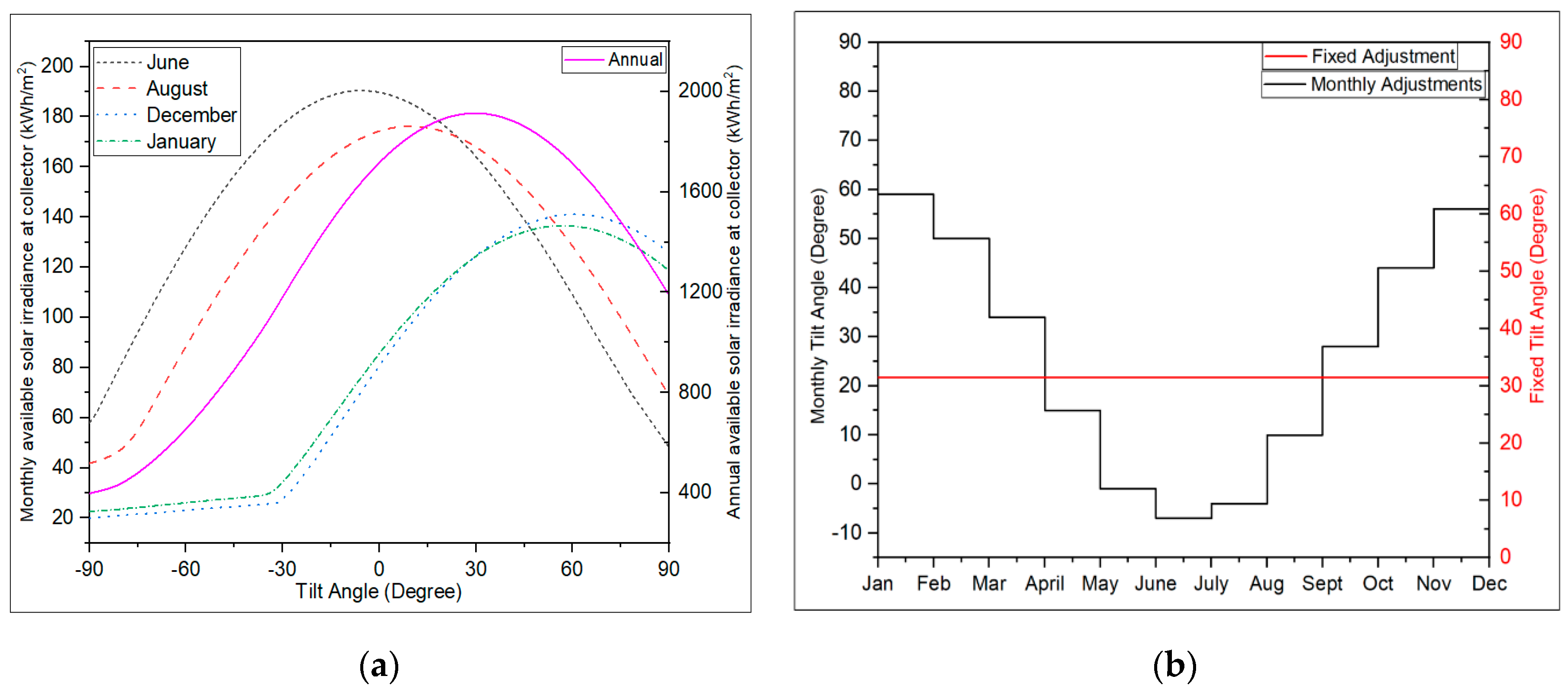
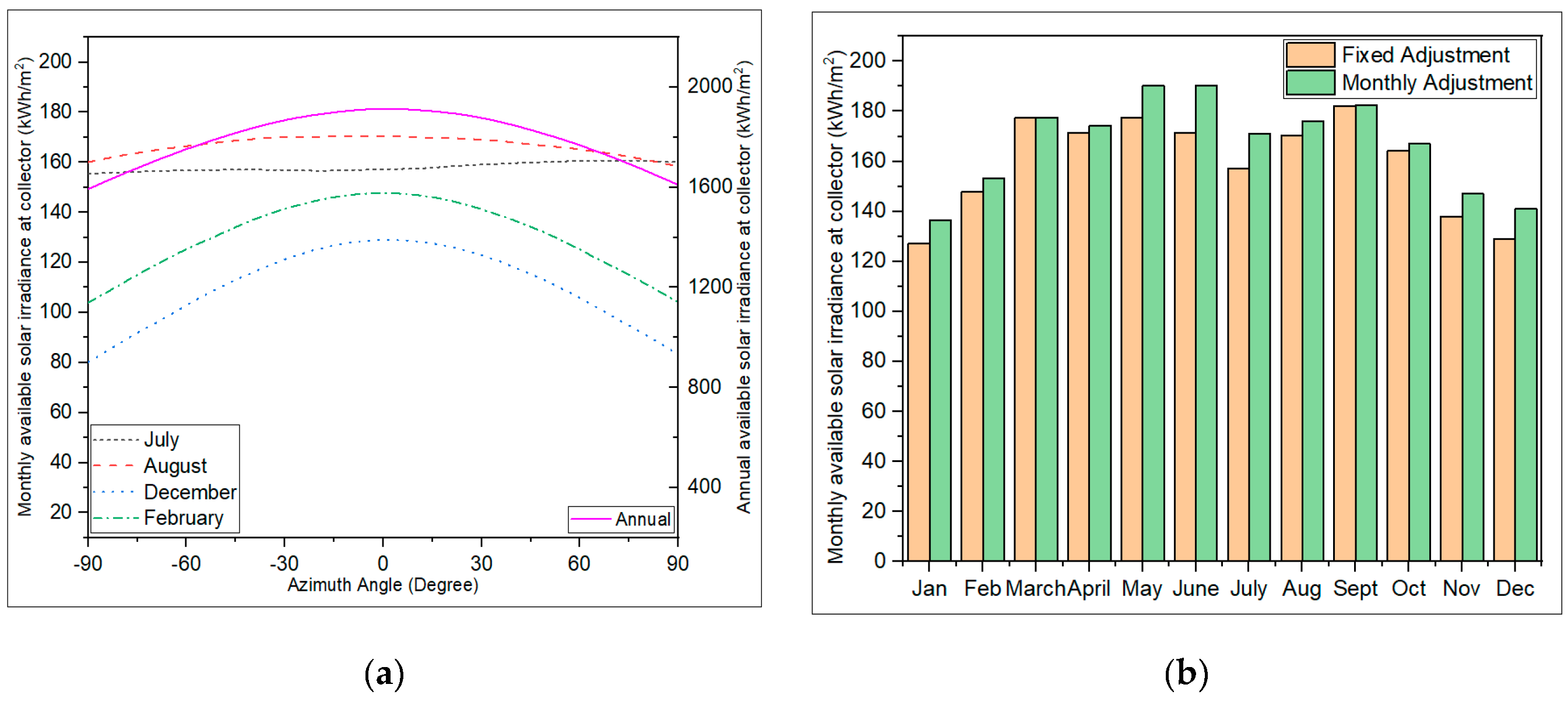
- To maximize the amount of solar irradiance on the collector surface, collector tilt (slope) angle and azimuthal angle with annual optimum fixed adjustment and monthly adjustments were investigated. It was found that adjusting the collector tilt on a monthly basis results in 5% more solar irradiance per m2 of collector surface with respect to annual optimum fixed adjustment. Further, increasing the collector tilt angle adjustment frequency on a fortnightly and daily basis results in 5.1% and 5.35% more solar irradiance per unit collector area compared to annual fixed adjustment, as increasing the frequency of slope adjustment from monthly to fortnightly or daily marginally increased the solar irradiance. It is beneficial to adjust collector slope on a monthly basis. Maximum solar irradiance is received at the collector surface in the winter season by setting the collector at higher tilt angles and at lower angles for the summer season.
Author Contributions
Funding
Acknowledgments
Conflicts of Interest
Nomenclature
| aperture area (m2) | |
| optical collector efficiency | |
| first order collector heat loss coefficient (W/m2 K) | |
| second order heat loss coefficient (W/m2 K2) | |
| ACS | absorption cooling system |
| specific heat capacity of water (kJ/kg K) | |
| chw | chilled water |
| unit cost of electricity (Rs./kWh) | |
| cw | cooling water |
| rated capacity of chiller (kW) | |
| CIL | levelized capital investment (Rs.) |
| unit cost of natural gas (Rs./m3/h) | |
| total annual consumption of electricity (kWh) | |
| annual CO2 emissions from electricity (kg) | |
| total annual consumption of natural gas (kWh) | |
| annual CO2 emissions from natural gas (kg) | |
| annual cost of electricity (Rs.) | |
| ETC | evacuated tube collector |
| G | solar irradiance (kJ/h m2) |
| annual cost of natural gas (Rs.) | |
| interest rate (%) | |
| hw | hot water |
| n | project lifetime (years) |
| m | mass flow rate of water (kg/h) |
| shaft power (kJ/h) | |
| Rs. | Pakistani Rupees |
| useful energy gain from collector (kJ/h) | |
| energy losses in collector (kJ/h) | |
| heat transfer into the tank (kJ/h) | |
| heat transfer out of tank (kJ/h) | |
| chilled water energy stream (kJ/h) | |
| hot water energy stream (kJ/h) | |
| rate of energy transferred to fluid stream (kJ/h) | |
| rate of energy delivered by auxiliary source (kJ/h) | |
| energy removed from chilled water stream (kJ/h) | |
| rate of energy delivered by solar (kJ/h) | |
| solar fraction | |
| chilled water inlet temperature (K) | |
| chilled water set point temperature (K) | |
| U | heat transfer coefficient (W/m2 K) |
| collector thermal efficiency | |
| VCC | vapour compression cycle |
| motor efficiency | |
| pump efficiency |
References
- Kibria, A.; Akhundjanov, S.B.; Oladi, R. Fossil fuel share in the energy mix and economic growth. Int. Rev. Econ. Financ. 2019, 59, 253–264. [Google Scholar] [CrossRef]
- Baz, K.; Xu, D.; Ampofo, G.M.K.; Ali, I.; Khan, I.; Cheng, J.; Ali, H. Energy consumption and economic growth nexus: New evidence from Pakistan using asymmetric analysis. Energy 2019, 189, 116254. [Google Scholar] [CrossRef]
- Shahid, M.; Ullah, K.; Imran, K.; Mahmood, I.; Mahmood, A. Electricity supply pathways based on renewable resources: A sustainable energy future for Pakistan. J. Clean. Prod. 2020, 263, 121511. [Google Scholar] [CrossRef]
- Flores-Chamba, J.; López-Sánchez, M.; Ponce, P.; Guerrero-Riofrío, P.; Álvarez-García, J. Economic and spatial determinants of energy consumption in the European union. Energies 2019, 12, 4118. [Google Scholar] [CrossRef]
- Akbar, U.; Popp, J.; Khan, H.; Khan, M.A.; Oláh, J. Energy Efficiency in Transportation along with the Belt and Road Countries. Energies 2020, 13, 2067. [Google Scholar] [CrossRef]
- Talbi, B.; Nguyen, D.K. An empirical analysis of energy demand in Tunisia. Econ. Bull. 2014, 34, 452–458. [Google Scholar]
- O’Connor, D.; Calautit, J.K.; Hughes, B.R. A novel design of a desiccant rotary wheel for passive ventilation applications. Appl. Energy 2016, 179, 99–109. [Google Scholar] [CrossRef]
- Shirazi, A.; Taylor, R.A.; Morrison, G.L.; White, S.D. Solar-powered absorption chillers: A comprehensive and critical review. Energy Convers. Manag. 2018, 171, 59–81. [Google Scholar] [CrossRef]
- She, X.; Cong, L.; Nie, B.; Leng, G.; Peng, H.; Chen, Y.; Zhang, X.; Wen, T.; Yang, H.; Luo, Y. Energy-efficient and -economic technologies for air conditioning with vapor compression refrigeration: A comprehensive review. Appl. Energy 2018, 232, 157–186. [Google Scholar] [CrossRef]
- Henning, H.; Motta, M.; Mugnier, D. Solar Cooling Handbook, 3rd ed.; TEcSol, F., Ed.; AMBRA|V: Vienna, Austria, 2013; ISBN 9783990434383. [Google Scholar]
- Henning, H.M. Solar assisted air conditioning of buildings—An overview. Appl. Therm. Eng. 2007, 27, 1734–1749. [Google Scholar] [CrossRef]
- International Energy Agency (IEA). Technology Roadmap Solar Heating and Cooling. Available online: https://www.iea.org/publications/freepublications/%0Apublication/Solar_Heating_Cooling_Roadmap_2012_WEB.pdf (accessed on 21 July 2020).
- Alternative Energy Development Board. Available online: http://www.aedb.org/ae-technologies/solar-power/solar-resources (accessed on 6 April 2019).
- Chen, J.F.; Dai, Y.J.; Wang, R.Z. Experimental and analytical study on an air-cooled single effect LiBr-H2O absorption chiller driven by evacuated glass tube solar collector for cooling application in residential buildings. Sol. Energy 2017, 151, 110–118. [Google Scholar] [CrossRef]
- Bi, Y.; Qin, L.; Guo, J.; Li, H.; Zang, G. Performance analysis of solar air conditioning system based on the independent-developed solar parabolic trough collector. Energy 2020, 196, 117075. [Google Scholar] [CrossRef]
- Zheng, X.; Shi, R.; Wang, Y.; You, S.; Zhang, H.; Xia, J.; Wei, S. Mathematical modeling and performance analysis of an integrated solar heating and cooling system driven by parabolic trough collector and double-effect absorption chiller. Energy Build. 2019, 202, 109400. [Google Scholar] [CrossRef]
- Al-Alili, A.; Hwang, Y.; Radermacher, R.; Kubo, I. A high efficiency solar air conditioner using concentrating photovoltaic/thermal collectors. Appl. Energy 2012, 93, 138–147. [Google Scholar] [CrossRef]
- Buonomano, A.; Calise, F.; D’Accadia, M.D.; Ferruzzi, G.; Frascogna, S.; Palombo, A.; Russo, R.; Scarpellino, M. Experimental analysis and dynamic simulation of a novel high-temperature solar cooling system. Energy Convers. Manag. 2016, 109, 19–39. [Google Scholar] [CrossRef]
- Xu, Z.Y.; Wang, R.Z. Comparison of CPC driven solar absorption cooling systems with single, double and variable effect absorption chillers. Sol. Energy 2017, 158, 511–519. [Google Scholar] [CrossRef]
- Gomri, R. Simulation study on the performance of solar/natural gas absorption cooling chillers. Energy Convers. Manag. 2013, 65, 675–681. [Google Scholar] [CrossRef]
- Khan, M.S.A.; Badar, A.W.; Talha, T.; Khan, M.W.; Butt, F.S. Configuration based modeling and performance analysis of single effect solar absorption cooling system in TRNSYS. Energy Convers. Manag. 2018, 157, 351–363. [Google Scholar] [CrossRef]
- Al-Ugla, A.A.; El-Shaarawi, M.A.I.; Said, S.A.M.; Al-Qutub, A.M. Techno-economic analysis of solar-assisted air-conditioning systems for commercial buildings in Saudi Arabia. Renew. Sustain. Energy Rev. 2016, 54, 1301–1310. [Google Scholar] [CrossRef]
- THOMSON REUTERS FOUNDATION NEWS. Available online: https://news.trust.org/item/20130625141050-sw1nq/ (accessed on 14 September 2019).
- TRNSYS. Available online: http://www.trnsys.com/ (accessed on 9 February 2019).
- SketchUp. Available online: https://www.sketchup.com/industries/architecture (accessed on 24 March 2019).
- Herrando, M.; Pantaleo, A.M.; Wang, K.; Markides, C.N. Solar combined cooling, heating and power systems based on hybrid PVT, PV or solar-thermal collectors for building applications. Renew. Energy 2019, 143, 637–647. [Google Scholar] [CrossRef]
- ASHRAE. Available online: https://ashrae.iwrapper.com/ViewOnline/Standard_90.2-2018 (accessed on 5 June 2019).
- VIESSMANN. Available online: http://www.viessmann-us.com/content/dam/internet-ca/pdfs/solar/vitosol_200-t_spe_tdm.pdf (accessed on 15 June 2019).
- Trnsys 18: A TRaNsient SYstem Simulation program. Sol. Energy Lab. Univ. Wis. Madison Math. Ref. 2018, 4, 705.
- ASHRAE. Solar Collectors and Photovoltaic in EnergyPRO; ASHRAE: Peachtree Corners, GA, USA, 2013; pp. 1–23. [Google Scholar]
- Han, Y.M.; Wang, R.Z.; Dai, Y.J. Thermal stratification within the water tank. Renew. Sustain. Energy Rev. 2009, 13, 1014–1026. [Google Scholar] [CrossRef]
- Khankari, G.; Munda, J.; Karmakar, S. Power Generation from Condenser Waste Heat in Coal-fired Thermal Power Plant Using Kalina Cycle. Energy Procedia 2016, 90, 613–624. [Google Scholar] [CrossRef]
- Munwir, A. (Damson Consulting Engineers, Lahore, Pakistan). Personal communication, 2020.
- The University of WISCONSIN. Available online: https://sel.me.wisc.edu/trnsys/validation/index.html (accessed on 2 February 2020).
- Energy Efficiency & Renewable Energy. Available online: https://www.energy.gov/eere/buildings/ashrae-standard-140-maintenance-and-development (accessed on 21 July 2020).
- Puig-Arnavat, M.; López-Villada, J.; Bruno, J.C.; Coronas, A. Analysis and parameter identification for characteristic equations of single- and double-effect absorption chillers by means of multivariable regression. Int. J. Refrig. 2010, 33, 70–78. [Google Scholar] [CrossRef]
- Kühn, A.; Ziegler, F. Operational results of a 10 kW absorption chiller and adaptation of the characteristic equation. Proc. First Int. Conf. Sol. Air Cond. 2005, 10, 5–9. [Google Scholar]
- Broad X Non-Electric Chiller: Model Selection & Design Manual. Available online: https://www.broadusa.net/en/wp-content/uploads/2015/03/Broad-X-chiller-Model-selection-design-manual-C.pdf (accessed on 6 January 2020).
- State Bank of Pakistan. Economic Data. Available online: http://www.sbp.org.pk/ecodata/index2.asp (accessed on 24 December 2019).
- National Electric Power Regulatory Authority. LESCO. Available online: https://nepra.org.pk/tariff/DistributionLESCO.php (accessed on 24 December 2019).
- Sui Northern Gas Pipelines Ltd. Consumer Gas Prices. Available online: https://www.sngpl.com.pk/ (accessed on 24 December 2019).
- Yousuf, I.; Ghumman, A.R.; Hashmi, H.N.; Kamal, M.A. Carbon emissions from power sector in Pakistan and opportunities to mitigate those. Renew. Sustain. Energy Rev. 2014, 34, 71–77. [Google Scholar] [CrossRef]
- Central Power Purchasing Agency. Available online: http://www.cppa.gov.pk/Home/DownloadDetails?Type=AnnualReports (accessed on 2 February 2020).
- Ko, M.J. A novel design method for optimizing an indirect forced circulation solar water heating system based on life cycle cost using a genetic algorithm. Energies 2015, 8, 11592–11617. [Google Scholar] [CrossRef]














| Parameter | Comfort & Gains Unit Amount | Parameter | Wall Layers & Windows Unit Amount | ||
|---|---|---|---|---|---|
| Temperature set point | °C | 26 | Uwall | W/m2 K | 2.003 |
| Relative Humidity set point | % | 50 | Wall thickness | m | 0.268 |
| Air change rate | vol./h | 2 | Uroof | W/m2 K | 0.535 |
| Infiltration | vol./h | 0.6 | Roof thickness | m | 0.052 |
| Lighting | W/m2 | 1.1 | U value, window | W/m2 K | 1.1 |
| Equipment | kW | 340 | G value, window | %/100 | 0.62 |
| Occupants Ufloor | no. W/m2 K | 100 0.336 | Roof solar absorptance Uskylights | %/100 W/m2 K | 0.1 5.69 |
| Parameter | Solar Collector Unit Amount | Parameter | Air Handling Unit Unit Amount | ||
|---|---|---|---|---|---|
| Collector area | m2 | 2100 | Capacity | CFM | 87,272 |
| Optical efficiency | - | 0.73 | Water flow rate | kg/h | 119,764 |
| W/(m2 K) | 1.21 | Air flow rate | kg/h | 249,657 | |
| W/(m2 K2) | 0.0075 | ||||
| Parameter | ACS Chiller Temperature Unit Amount | Parameter | ACS Chiller Flow Rates Unit Amount | ||
|---|---|---|---|---|---|
| HW | °C | 110 | HW | kg/h | 112,984 |
| CHW | °C | 6.67 | CHW | kg/h | 119,764 |
| CW | °C | 29.44 | CW | kg/h | 314,300 |
| Parameter | Cost Function | Parameter | Cost Function |
|---|---|---|---|
| ETC collector | 25,000 per m2 | Hot water storage tank | 40,000 per m3 |
| Auxiliary boiler | 110,000 per kW | Single-effect absorption chiller | 31,250 per kW |
| Vapour compression chiller | 25,568 per kW | Cooling tower | 2840 per kW |
| Pump | 6000 per kW |
| Parameter | Unit | Amount | Parameter | Unit | Amount |
|---|---|---|---|---|---|
| Interest rate or discount rate (i) [39] | % | 13.25 | Installation cost of ABS | % of CI | 150 |
| Average electricity price [40] | Rs./kWh | 20 | Installation cost of VCS | % of CI | 130 |
| Average natural gas price [41] | Rs./m3/h | 15 | CO2 emission factor for electricity [42] | kg per MWh | 566 |
| Lifetime of solar plant | Years | 23 | CO2 emission factor for natural gas [42] | kg per MWh | 202 |
| Primary energy factor for natural gas [43] | kWhPE/kWhNG | 1.22 | Primary energy factor for electricity [43] | kWhPE/kWhE | 3.05 |
| Sr.No | Parameter | VCC System | ACS System |
|---|---|---|---|
| 1 | Annual primary energy consumption (kWh) | 2.23 × 106 | 5.74 × 105 |
| 2 | Annualized capital investment cost (Rs.) | 1.07 × 107 | 3.31 × 107 |
| 3 | Monthly running cost (Rs.) | 1,612,186 | 393,269 |
| 4 | Annual CO2 emissions (tons) | 346.78 | 108.58 |
© 2020 by the authors. Licensee MDPI, Basel, Switzerland. This article is an open access article distributed under the terms and conditions of the Creative Commons Attribution (CC BY) license (http://creativecommons.org/licenses/by/4.0/).
Share and Cite
Mehmood, S.; Maximov, S.A.; Chalmers, H.; Friedrich, D. Energetic, Economic and Environmental (3E) Assessment and Design of Solar-Powered HVAC Systems in Pakistan. Energies 2020, 13, 4333. https://doi.org/10.3390/en13174333
Mehmood S, Maximov SA, Chalmers H, Friedrich D. Energetic, Economic and Environmental (3E) Assessment and Design of Solar-Powered HVAC Systems in Pakistan. Energies. 2020; 13(17):4333. https://doi.org/10.3390/en13174333
Chicago/Turabian StyleMehmood, Sajid, Serguey A. Maximov, Hannah Chalmers, and Daniel Friedrich. 2020. "Energetic, Economic and Environmental (3E) Assessment and Design of Solar-Powered HVAC Systems in Pakistan" Energies 13, no. 17: 4333. https://doi.org/10.3390/en13174333
APA StyleMehmood, S., Maximov, S. A., Chalmers, H., & Friedrich, D. (2020). Energetic, Economic and Environmental (3E) Assessment and Design of Solar-Powered HVAC Systems in Pakistan. Energies, 13(17), 4333. https://doi.org/10.3390/en13174333

