Abstract
Evaluation of appropriate areas to introduce a closed-loop ground-source heat pump (GSHP) system in the case of a standard detached residence was conducted in Akita Plain, Japan. Depth of borehole heat exchanger (BHE) required to use a GSHP system was taken as the suitability index, which is simpler for the general public to understand and to promote the system. Heating and cooling loads of the standard size detached residence were calculated based on the 2013 Energy Conservation Standard. To estimate BHE depths and estimate a suitable area, identical 3D BHE models were constructed at 30 points in the plain. Required BHE depths were determined by performing heat exchange simulations at each location using the calculated loads and heat exchange rates. A suitability map showing distribution of the required BHE depths was prepared. BHE depths were shorter in the north-western area compared to the other parts, implying that the coastal lowlands in this area are more suitable for closed-loop system in the standard detached residences in terms of heat exchange performance as well as the cost reduction. Thickly distributed Quaternary System with higher thermal conductivity is contributing to shorter BHE depths. The suitability map is effective to adopt potential areas for the system installation in the standard detached Japanese residences.
1. Introduction
In ground source heat pump (GSHP) system, heat energy of low enthalpy is exchanged with that of shallow underground. For heating purpose heat is extracted from the underground, while for cooling purpose heat is rejected to the underground. Likewise, it is also used for snow-melting purposes. As underground temperature is relatively stable throughout the year, a GSHP system is considered to be good for energy saving and eradication of heat island phenomena in urban areas [1,2]. However, the higher initial cost for its installation is a major obstacle for its development in Japan [3].
In a closed-loop GSHP system, borehole heat exchangers (BHEs) are used to exchange heat with underground. As borehole drilling is necessary beforehand, the cost becomes higher with the depth of the borehole, because the geology of Japan is so heterogeneous, consisting of alluvial deposits such as sand, gravel, clay, etc. in shallow depths. Generally, to be on the safer side, deeper BHE is designed because of a lack of valid prediction of optimum required depths. This eventually results in higher initial cost. In this situation, the optimum depth of BHE required for efficient heating and cooling should be determined, that can contribute to lower the initial cost and as well as operating costs. Heat exchange performance and the required depth of BHE strongly depends on the underground hydrology, geology, and thermal condition. Hence, region wide assessment of areas suitable to introduce a closed-loop GSHP system is important for perfect design and promotion of its development in Japan.
Past research had done suitability assessments estimating potential locations to install a closed loop GSHP system. Fujii et al. [4] constructed a field-wide model of groundwater flow systems and evaluated the relationship between groundwater flow velocity and heat exchange rates of a GSHP system using a ground heat exchanger model. Fujii et al. [3] developed a suitability map showing heat exchange rate distribution with variation of more than 40% and focused its importance for accurate system design and siting. Shrestha et al. [5] computed variation of heat exchange rates in basin scale for a closed loop system and suggested to install a system coupled with artesian well at the locations where heat exchange rates were lower. Kaneko et al. [6] performed heat exchange simulations and compared the results based on different hydrogeological conditions of Japan’s plain and basin. Uchida et al. [7] used geographical information system (GIS) tool of Weighted Overlay to prepare suitability maps based on geology and groundwater data. Yoshioka et al. [8] also developed heat exchange rates map and compared with the hydrogeological and thermal information of the study area. Shrestha et al. [9,10] prepared suitability maps depicting the distribution of effective thermal conductivity and coefficient of performance of a particular GSHP system with its operating costs in Tsugaru Plain of northern Japan. These maps can be used to select suitable areas in terms of thermal properties of geological formation and economic efficiency of the system. Nam and Ooka [11] used GIS data of geology and groundwater published by the National Land Survey Division and the Land and Water Bureau in Ministry of Land, Infrastructure, Transport and Tourism of Japan and discussed installation potential of a GSHP system based on these data in Tokyo’s 23 wards. Ishihara et al. [12] analyzed underground geology and computed ground effective thermal conductivity to find the appropriate areas for GSHP system installation. Bae et al. [13] did a feasibility study based on underground thermal properties in South Korea and concluded that deeper BHE can perform better and has good potential in higher geothermal gradient condition. However, in the case of Japan, the deeper BHE will result in higher initial cost. The optimum required depth of BHE should be assessed which can result in higher performance and lower cost, in order to promote GSHP system in Japan.
Based on the above past research, potential areas to install a closed loop system can be judged. However, the results of these researches are not directly linked with any kind of houses or buildings, and their heating and cooling loads. Suitability indexes used in these studies are mainly heat exchange rates and, in some cases, thermal properties of geological formation, and system operating costs. Evaluation of suitable areas based on the depth of BHE required to exchange heat with underground has not been studied at all till now. Required BHE depth as a suitability index can be easier to understand for general people. In Japan, GSHP system installation in government related buildings and office buildings are already progressing. However, in residential buildings, it is still lagging behind. Therefore, analysis of BHE depths required to heat and cool the residence building can be more useful from the view point of promotion of GSHP systems in Japan.
In this study, evaluation of suitable areas to introduce closed-loop system in case of a standard Japanese detached residence was conducted in the Akita Plain of Japan, on the basis of required depth of BHE. Heating and cooling loads of the standard detached residence were taken into consideration based on the Energy Conservation Standard of Japan and the actual weather condition of the plain. The required depth of BHE that satisfies these heating and cooling loads were computed incorporating the results of regional groundwater flow and heat transport analysis, which is a novel approach to assess possible areas to introduce a closed-loop system. Areas with shorter BHE depths are appropriate to install closed-loop system in terms of heat exchange efficiency and cost reduction.
2. Study Area
Akita Plain is situated in Akita Prefecture, the northern Japan (Figure 1). It is an alluvial plain with a dimension of about 16 km from north to south. It is surrounded by the Taihei Mountains and Dewa mountain range with more than 1000 m elevation in the east, Sea of Japan in the west and hills in the north and south. Quaternary alluvial deposits are transported mainly by Omono River and its tributaries flowing in the plain. Quaternary formations consist of sand, gravel, and silt. Its depth varies from 0 m in the surrounding mountains to around 100 m in the north-western lowlands. Tertiary formations consist of mudstones and siltstones [14].
Figure 1.
Location of Akita Plain with model boundary.
The climate zone of Akita Plain is a humid subtropical climate and falls in the cold weather region of Japan with snowy winter. It receives heavy snowfall as it is located close to the Sea of Japan. In summer, it has humid weather. Atmospheric temperature varies from below freezing point in winter to more than 30 °C in summer.
3. Heating and Cooling Loads
Heating and cooling loads required to heat and cool a typical standard Japanese detached residence were calculated using the standardized plan of building load conditions which is based on the 2013 Energy Conservation Standard supervised by National Institute for Land and Infrastructure Management and Building Research Institute of Japan as shown in Equations (1) and (2) [15].
where:
- Qh, Qc: Heating and cooling loads (W/m2)
- U: Outer surface average heat transmission coefficient (W/m2/K)
- Ae: Total outer surface area (m2)
- Af: Total floor area (m2)
- Ti: Room temperature (°C)
- To: Atmospheric temperature (°C)
- I: Solar radiation (W/m2)
- η: Average solar heat acquisition rate (W/(W/m2))
Model Case of Detached Residence
In this study, a standard size single family house used in the Energy Conservation Standard was considered as a representative detached residence. The standard detached residence is taken as a two-story wooden house. The first floor consists of a living room, kitchen, Japanese style room, bathroom, and toilet. The second floor has a bedroom, two children’s rooms, and a toilet. The total floor area and total outer surface area used in the model case are 120 m2 and 313 m2 respectively [16,17,18].
Room temperature was set as 22 °C for heating and 26 °C during cooling. Outer surface average heat transmission coefficient (U) and average solar heat acquisition rate (η) were taken as 0.75 and 0, respectively, for Akita City, based on the standard values set in the Energy Conservation Standard [15,16]. For atmospheric temperature, variation for the past 14 years observed in the Akita City was referenced from data published by Japan Meteorological Agency [19]. The average value of each year was calculated and the year which is close to the 14-year average was taken as a standard year for atmospheric temperature. The average value of the year 2009 was found close to the 14-year average. Hence, this year’s atmospheric temperature was selected as the standard values. Hourly variation of atmospheric temperature throughout a year was considered in the calculations of heating and cooling loads (Figure 2).
Figure 2.
Hourly variation of atmospheric temperature in Akita City.
Heating period was designated for 6 months from November to April and cooling period for 5 months from May to September. Operating mode of GSHP system was set in such a manner that heating starts once the atmospheric temperature decreases below 14 °C and cooling starts as the atmospheric temperature rises above 26 °C. Based on above mentioned scenarios, heating and cooling loads of the standard detached residence were calculated using Equations (1) and (2) (Figure 3). The heat pump was assumed to have a coefficient of performance (COP) of 3.5 for heating and 5.5 for cooling. These COP values are the typical averaged values for the GSHP used in the residences of Japan. Using calculated heating and cooling loads, and respective COPs of the heat pump, the amount of the heat exchange rate with underground required for heating and cooling of a detached residence was estimated (Figure 4).
Figure 3.
Daily variation of heating and cooling loads in one year.
Figure 4.
Daily variation of heat exchange rates in one year.
4. Groundwater Flow and Heat Transport Analysis
Groundwater flow and heat transport analysis was conducted for Akita Plain using a three-dimensional analysis model (Figure 5) to determine groundwater flow condition and temperature variation in underground formation. FEFLOW [20], a finite element program was used. The model boundary was set on water divides surrounding the plain, which is about 28.5 km long in north–south and 39.6 km long in east–west direcions.
Figure 5.
Three-dimensional analysis model of Akita Plain.
The analysis model was constructed of 16 hydrogeological layers in total. First to fifth layers were classified as Quaternary System and 6th to 16th layers were Tertiary System. Bottom elevation of these layers were referenced from [21]. Quaternary System is considered as the major aquifer system consisting of gravel, sand, and silt. Analysis model parameters are shown in Table 1. Hydraulic and thermal conductivities were set as matching parameters by comparing measured values of groundwater level and underground temperature profile with their corresponding calculated values, which is discussed in following section. Volumetric heat capacity was set as 2.5 MJ/m3/K. Porosity of layers were set based on the data of Japan Society of Thermophysical Properties [22].
Table 1.
Analysis model parameters.
For groundwater flow analysis, model top was set with groundwater table calculated as a function of surface elevation. The model bottom was taken to be impermeable. At lateral sides, no groundwater flow was considered. Rivers were fixed with 10-year average elevation of the river surface. For heat transport analysis, the model top was fixed with temperature values estimated from the yearly average atmospheric temperature measured at Akita City of 10.9 °C and its decrement rate with elevation of 6.5 × 10−3 °C/m. The model bottom was fixed with values estimated by using geothermal gradient of 0.057 °C/m referenced from the Geological Survey of Japan [23]. A saturated steady state analysis was carried out with this model.
Verification of Analysis Model
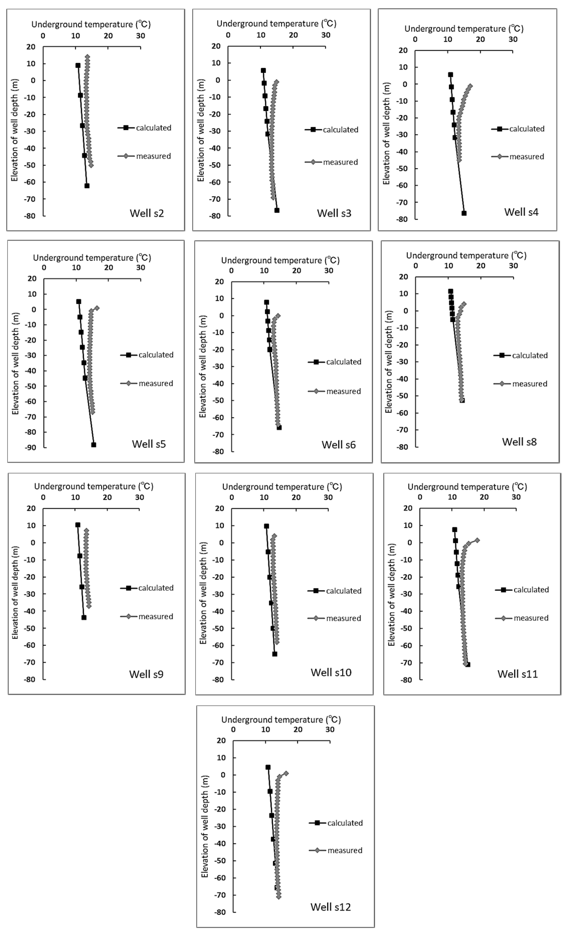
Verification of the analysis model was performed by comparing measured hydraulic heads and vertical temperature distribution of existing wells (Figure 6 and Figure 7) with their corresponding calculated values. Groundwater levels and vertical temperature profiles measured by Uchida et al. [12] were used in this verification. Groundwater levels were measured at 22 existing wells and vertical temperature profiles were measured at 10 existing wells. Comparison between measured and calculated hydraulic heads of is shown in Figure 8. There were some discrepancies in a few wells, however, overall agreement between calculated and measured values were satisfactory. Also in the case of vertical temperature distribution, measured and calculated values agreed well, showing good consistency (Figure 9). Groundwater temperature at shallow depths are readily affected by variation in atmospheric temperature. Due to this, calculated and measured values did not match well at the upper part of the existing wells, but the temperature profiles fitted closer with the well depth at almost all of the observation points. Therefore, it can be said that the analysis model reflected the natural groundwater flow system in the Akita Plain reasonably well.
Figure 6.
Existing wells for groundwater level measurement (22 nos.).
Figure 7.
Existing wells for underground temperature measurement (10 nos.).
Figure 8.
Comparison between measured and calculated hydraulic heads.
Figure 9.
Comparison between measured and calculated vertical temperature distribution.
5. Estimation of Required BHE Depth
In this study, the suitability index for the introduction of a closed-loop GSHP system is set as BHE depth required to fulfill heating and cooling demands of the standard detached residence. In order to estimate suitable areas based on the required BHE depth, identical three-dimensional BHE models (Figure 10) were constructed at 30 points in the Akita Plain (Figure 11). Dimensions of BHE models were set as 20 m × 20 m × 120m. Also for the BHE model, finite element software FEFLOW was used [24]. The same hydrogeology and parameters set for the analysis model (Figure 5, Table 1) mentioned in Section 4 were used for the BHE models. In these BHE models, initial conditions of underground temperature distribution, groundwater levels, and flow velocities were assigned according to their calculated values resulted at their respective locations in the analysis model.
Figure 10.
The 3D borehole heat exchanger (BHE) model.
Figure 11.
Suitability map showing distribution of required BHE depths.
BHE was affixed at the center with a 150 mm diameter of borehole. Double U-tube of external diameter 32 mm and thickness 2.9 mm was considered, which was grouted in the borehole with silica sand. For Akita Plain, which has cold weather in winter, propylene glycol 15%, an antifreeze, was used as a heat-transfer medium.
The model top and bottom were set as impermeable. Model sides were assigned with hydraulic heads resulted at the selected points of BHE models in the analysis model (Figure 5). For temperature analysis, top and bottom of BHE models were fixed with temperature values resulted from the analysis model. Vertical meshes of BHE models were set at 10 m intervals up to 50 m depth. From 50 to 120 m depth, the vertical meshes were divided by 2 m intervals so that BHE depths can be varied a few meters during numbers of heat exchange simulations.
Previous research [25] had indicated that after 3 years of system operation, the underground temperature structure becomes almost unperturbed. Hence, to save the computing time, simulations of heat exchange with the underground were conducted for 3 years using the constructed BHE model at each location. As mentioned in Section 3, heating was done for 6 months from November to April and cooling was done for 4 months from May to September. The calculated amount of heat exchange (Figure 4) for both heating and cooling were taken as the input values of BHE model, and the temperature of heat transfer medium at the inlet and outlet of BHE were obtained as the outputs. For each BHE model, numbers of heat exchange simulations were done by varying the BHE depths. Then, the particular BHE depth was confirmed as the required depth for system installation, in which case the average of inlet and outlet temperatures of BHE was above −2 °C.
As the heating loads in the Akita Plain are higher than cooling loads, heat extraction from the underground is expected to be higher. This can lower the underground temperature and reduce the efficiency of the GSHP system. Hence, to operate the closed-loop GSHP system efficiently in the Akita Plain, precaution must be taken that underground temperature does not decrease below the freezing point. So, the required depth of BHEs were computed such that the average temperature of heat transfer medium at the inlet and outlet of BHE does not decrease below −2 °C. In this way, the required depth of the BHE at each location was calculated by conducting heat exchange simulations. Based on the calculated values, a suitability map showing the distribution of required BHE depths was prepared (Figure 11).
Distribution of Required BHE Depth
Depth of BHE required to install the closed-loop GSHP system was found shorter in the north-western coastal lowland compared to the hilly and mountainous areas in the east (Figure 11). In the lowland areas, BHE depths varied from 57 to 80 m, while in the hilly areas required depths were more than 80 m, and in north-eastern mountainous areas, more than 90 m. It indicates that the coastal lowland areas in the north-west are more appropriate to introduce closed-loop GSHP systems in the standard Japanese detached residences in terms of heat exchange performance and the cost reduction.
It has been found that the apparent thermal conductivity of underground becomes higher with faster groundwater flow velocity, due to groundwater advection effect. This in turn enhances the heat exchange performance of BHE resulting in shorter BHE depths [5,26,27,28,29]. However, the groundwater flow velocity calculated from the analysis model in Section 4 was determined to be very slow in the Akita Plain. Variation of groundwater flow velocity in the plain is shown in Figure 12. These values are the average of groundwater flow velocities up to 100 m depth from ground surface. Lower flow velocity is considered to be because of lower hydraulic gradients. Niibori et al. [30], Uchida et al. [7], and Kimura [31] reported that groundwater flow velocity slower than 1 × 10−5 m/s has negligible influence on the increment of heat exchange rates of BHE. As the flow velocity within the Akita Plain is lower than 1 × 10−5 m/s, its influence on the required BHE depth seems to be minimal.
Figure 12.
Variation of groundwater flow velocity averaged up to 100 m depth.
From geological data, Quaternary System was found to be very thickly distributed in the north-western coastal lowland with thickness up to 100 m (Figure 13). The thermal conductivity of Quaternary System in the Akita Plain is higher than that of Tertiary System. Therefore, in the area where there is thicker Quaternary System, the heat exchange efficiency of BHE is higher. It thereby can contribute to shorter BHE depths. Hence, it was concluded that the shorter BHE depths at the north-western areas was because of thicker Quaternary alluvial deposits and higher thermal conductivity.
Figure 13.
Variation of thickness of Quaternary System.
6. Conclusions
Suitability evaluation was conducted in the Akita Plain of Japan to install a closed-loop GSHP system in case of a standard Japanese detached residence. In this study, depth of BHE required to satisfy heating and cooling loads of the detached residence was taken as a suitability index. Required BHE depth is simpler to be understood by general public and useful to promote the system in residential buildings of Japan. Heating and cooling loads were calculated using the actual variation of atmospheric temperature in the plain based on the 2013 Energy Conservation Standard. Regional groundwater flow condition and underground temperature were also incorporated based on numerical analysis groundwater flow and heat transport.
A standard size single family house, the same as that used in the Energy Conservation Standard was considered as a representative detached residence. The heating period was set for 6 months from November to April and the cooling period for 5 months from May to September. Heating starts when the atmospheric temperature falls below 14 °C and cooling starts as the atmospheric temperature rises above 26 °C. From these settings, heating and cooling loads of the standard detached residence in one year were calculated. Based on these heating and cooling loads, the amount of heat exchange rates with underground was calculated.
To calculate the required BHE depths and estimate suitable areas, identical BHE models were constructed at 30 points in the plain. The number of simulations of heat exchange with the underground was conducted at each point with the calculated heat exchange rates as model inputs, and the inlet and outlet temperature of the BHE were obtained as outputs. Then, the required depth of BHEs were confirmed at each point such that the average of inlet and outlet temperatures of BHE does not go below −2 °C. A distribution map of required BHE depths was prepared as a suitability map.
Required BHE depths for system installation were shorter in the north-western areas compared to the other parts of the Akita Plain. As the required BHE depths were shorter, the north-western coastal lowland areas are considered to be more appropriate to introduce a closed-loop GSHP system in the standard Japanese detached residences in terms of heat exchange performance as well as the cost reduction.
Groundwater was found to be flowing very slowly in the plain, implying that its influence to the shorter BHE depths is minimal. From geological data, the Quaternary System is thickly distributed in the north-western areas with a thickness up to 100 m. Thermal conductivity of the Quaternary System is higher than the Tertiary System, which can enhance the heat exchange efficiency of the BHE and thereby can contribute to shorter BHE depths. Hence, it was concluded that shorter BHE depths at the north-western areas was due to thicker Quaternary alluvial deposits and higher thermal conductivity.
Prepared suitability map with the variation of required BHE depths is significant and effective to find candidate areas to introduce closed-loop system in the standard detached Japanese residences. This kind of study can be extended to other major basins and plains of Japan, which can eventually contribute to the sustainable design and promotion of the GSHP system in Japan.
Author Contributions
Conceptualization, G.S., M.Y., H.F., and Y.U.; Data curation, G.S.; Formal analysis, G.S. and M.Y.; Funding acquisition, Y.U.; Investigation, G.S. and M.Y.; Methodology, G.S., M.Y., and H.F., Supervision, H.F. and Y.U.; Writing—original draft, G.S.; Writing—review and editing, M.Y. and H.F. All authors have read and agreed to the published version of the manuscript.
Funding
This study was funded by the New Energy and Industrial Technology Development Organization (NEDO) of Japan under the project “Development of Technology using Renewable Heat Energy” for fiscal year 2014 to 2018.
Acknowledgments
Authors gratefully acknowledge NEDO for granting the fund to carry out this study. We would like to thank Shiori Ikeda and Hiroyuki Kosukegawa for their valuable support and cooperation to this research.
Conflicts of Interest
The authors declare no conflict of interest.
References
- Yasukawa, K.; Uchida, Y.; Tenma, N.; Taguchi, Y.; Muraoka, H.; Ishii, T.; Suwanlert, J.; Buapeng, S.; Ha, N.T. Groudnwater Temperature Survey for Geothermal Heat Pump Application in Tropical Asia. Bull. Geol. Surv. Jpn. 2009, 60, 459–467. [Google Scholar] [CrossRef]
- Lund, J.W.; Toth, A.N. Direct Utilization of Geothermal Energy 2020 Worldwide Review. In Proceedings of the World Geothermal Congress 2020, Reykjavik, Iceland, 26 April–2 May 2020. [Google Scholar]
- Fujii, H.; Inatomi, T.; Itoi, R.; Uchida, Y. Development of suitability maps for ground-coupled heat pump systems using groundwater and heat transport models. Geothermics 2007, 36, 459–472. [Google Scholar] [CrossRef]
- Fujii, H.; Itoi, R.; Fujii, J.; Uchida, Y. Optimizing the design of large-scale ground-coupled heat pump systems using groundwater and heat transport modeling. Geothermics 2005, 34, 347–364. [Google Scholar] [CrossRef]
- Shrestha, G.; Uchida, Y.; Ishihara, T.; Kaneko, S.; Kuronuma, S. Assessment of the Installation Potential of a Ground Source Heat Pump System Based on the Groundwater Condition in the Aizu Basin, Japan. Energies 2018, 11, 1178. [Google Scholar] [CrossRef]
- Kaneko, S.; Uchida, Y.; Shrestha, G.; Ishihara, T.; Yoshioka, M. Factors Affecting the Installation Potential of Ground Source Heat Pump Systems: A Comparative Study for the Sendai Plain and Aizu Basin, Japan. Energies 2018, 11, 2860. [Google Scholar] [CrossRef]
- Uchida, Y.; Yoda, Y.; Fujii, H.; Miyamoto, S.; Yoshioka, M. Adoption of suitability area for ground-coupled heat pump systems 1st paper, Development of suitability maps for ground-coupled heat pump systems using groundwater flow/heat transport modeling and geographic information system. J. Geotherm. Res. Soc. Jpn. 2010, 32, 229–239, (In Japanese with English abstract). [Google Scholar]
- Yoshioka, M.; Uchida, Y.; Yoda, Y.; Fujii, H.; Miyamoto, S. Adoption of suitability area for ground-coupled heat pump system 2nd paper, Development of heat exchange rate maps using groundwater flow/heat transport modeling. J. Geotherm. Res. Soc. Jpn. 2010, 32, 241–251, (In Japanese with English abstract). [Google Scholar]
- Shrestha, G.; Uchida, Y.; Yoshioka, M.; Fujii, H.; Ioka, S. Assessment of development potential of ground-coupled heat pump system in Tsugaru Plain, Japan. Renew. Energy 2015, 76, 249–257. [Google Scholar] [CrossRef]
- Shrestha, G.; Uchida, Y.; Yoshioka, M.; Fujii, H.; Ioka, S. Development of potential maps for ground-source heat pump systems with a new approach. J. Geotherm. Res. Soc. Jpn. 2015, 37, 133–141, (In Japanese with English abstract). [Google Scholar]
- Nam, Y.; Ooka, R. Development of potential map for ground and groundwater heat pump systems and the application to Tokyo. Energy Build. 2011, 43, 677–685. [Google Scholar] [CrossRef]
- Ishihara, T.; Shrestha, G.; Kaneko, S.; Uchida, Y. Analysis of Shallow Subsurface Geological Structures and Ground Effective Thermal Conductivity for the Evaluation of Ground-Source Heat Pump System Installation in the Aizu Basin, Northeast Japan. Energies 2018, 11, 2098. [Google Scholar] [CrossRef]
- Bae, S.M.; Nam, Y.; Shim, B.O. Feasibility Study of Ground Source Heat Pump System Considering Underground Thermal Properties. Energies 2018, 11, 1786. [Google Scholar] [CrossRef]
- Uchida, Y.; Maruyama, A.; Ikeda, K.; Fujii, H.; Abiko, H. Estimation of shallow subsurface thermal structure in limited observation well area—A case of the Akita Plain, Northeast Japan. Jpn. Assoc. Hydrol. Sci. 2005, 35, 191–203, (In Japanese with English abstract). [Google Scholar] [CrossRef]
- Building Research Institute, Japan. Technical Information on the Evaluation of Energy Consumption Performance Based on the 2013 Energy Conservation Standard (Housing). Available online: https://www.kenken.go.jp/becc/house_h25.html (accessed on 5 December 2019). (In Japanese)
- National Institute for Land and Infrastructure Management, and Building Research Institute. Calculations and Judgement Methods, and Explanations Based on the 2013 Energy Conservation Standard II Housing; Rengo Insatsu Center: Tokyo, Japan, 2013; 1042p. (In Japanese)
- Sakata, Y.; Katsura, T.; Nagano, K. Life-cycle-cost based analysis of borehole heat exchanger lengths considering groundwater flow effects in a residence as a case study. J. Groundw. Hydrol. 2018, 60, 483–494, (In Japanese with English abstract). [Google Scholar] [CrossRef]
- Sakata, Y.; Katsura, T.; Nagano, K. A Study on Size Determination of Ground Heat Exchangers in Closed-type Ground Source Heat Pump System: Simulation-based individual Determination and its Nationwide Application. J. Geotherm. Res. Soc. Jpn. 2019, 41, 75–89, (In Japanese with English abstract). [Google Scholar]
- Japan Meteorological Agency. Past Weather Data Search. Available online: www.data.jma.go.jp/obd/stats/etrn/index.php (accessed on 10 December 2019). (In Japanese)
- Diersch, H.J.G. FEFLOW Finite Element Modeling of Flow, Mass and Heat Transport in Porous and Fractured Media; Springer: Berlin/Heidelberg, Germany, 2014. [Google Scholar]
- Koshigai, M.; Marui, A.; Ito, N.; Yoshizawa, T. Development of three dimensional hydrogeological model and estimation of groundwater storage in Japanese islands. J. Groundw. Hydrol. 2011, 53, 357–377, (In Japanese with English abstract). [Google Scholar] [CrossRef][Green Version]
- Japan Society of Thermophysical Properties. Thermophysical Properties Handbook; Yokendo Co.: Tokyo, Japan, 1990. [Google Scholar]
- Geological Survey of Japan. Geothermal Gradient and Heat Flow Data in and around Japan, Digital Geoscience Map P-5; National Institute of Advanced Industrial Science and Technology: Ibaraki, Japan, 2004.
- Diersch, H.J.G.; Bauer, D.; Heidemann, W.; Ruhaak, W.; Schatzl, P. Finite element modeling of borehole heat exchanger systems Part 1. Fundamental. Comput. Geosci. 2011, 37, 1122–1135. [Google Scholar] [CrossRef]
- Tarnawski, V.R.; Leong, W.H.; Momose, T.; Hamada, Y. Analysis of ground source heat pumps with horizontal ground heat exchangers for northern Japan. Renew. Energy 2009, 34, 127–134. [Google Scholar] [CrossRef]
- Smith, L.; Chapman, D.S. On the thermal effects of groundwater flow: 1. Regional scale systems. J. Geophys. Res. 1983, 88, 593–608. [Google Scholar] [CrossRef]
- Gehlin, S.E.A.; Hellstrom, G. Influence on thermal response test by groundwater flow in vertical fractures in hard rock. Renew. Energy 2003, 28, 2221–2238. [Google Scholar] [CrossRef]
- Chiasson, A.D.; Rees, S.J.; Spitler, J.D. A preliminary assessment of the effects of groundwater flow on closed-loop ground-source heat pump systems. ASHRAE Trans. 2000, 106, 380–393. [Google Scholar]
- Domenico, P.A.; Schwartz, F.W. Physical and Chemical Hydrogeology, 2nd ed.; Wiley & Sons: New York, NY, USA, 1998; ISBN 0-471-59762-7. [Google Scholar]
- Niibori, Y.; Iwata, Y.; Mori, F.; Fukaya, G. A study on the relation between groundwater flow and the design of a ground-coupled HP system with a borehole. J. Geotherm. Res. Soc. Jpn. 2002, 24, 339–348, (In Japanese with English abstract). [Google Scholar]
- Kimura, S. On the Shallow Subsurface Thermal Regime and Groundwater Flow (3) Groundwater Flow Effect on the Performance of Borehole Heat Exchanger. J. Geotherm. Res. Soc. Jpn. 2006, 28, 315–322, (In Japanese with English abstract). [Google Scholar]
© 2020 by the authors. Licensee MDPI, Basel, Switzerland. This article is an open access article distributed under the terms and conditions of the Creative Commons Attribution (CC BY) license (http://creativecommons.org/licenses/by/4.0/).












