How Smart Metering and Smart Charging may Help a Local Energy Community in Collective Self-Consumption in Presence of Electric Vehicles
Abstract
1. Introduction
2. State of the Art and Related Works
2.1. Smart Metering
2.2. Smart Charging
3. The Local Energy Community, Smart Metering and Smart Charging: Framework, Methods and Specifics
3.1. The Local Energy Community
3.2. The Communication Architecture
3.3. The Smart Charging Service
4. The Smart Meter Enabling the Smart Charging
The Smart Meter
5. The Experimental Test, Energetic and Economic Analysis
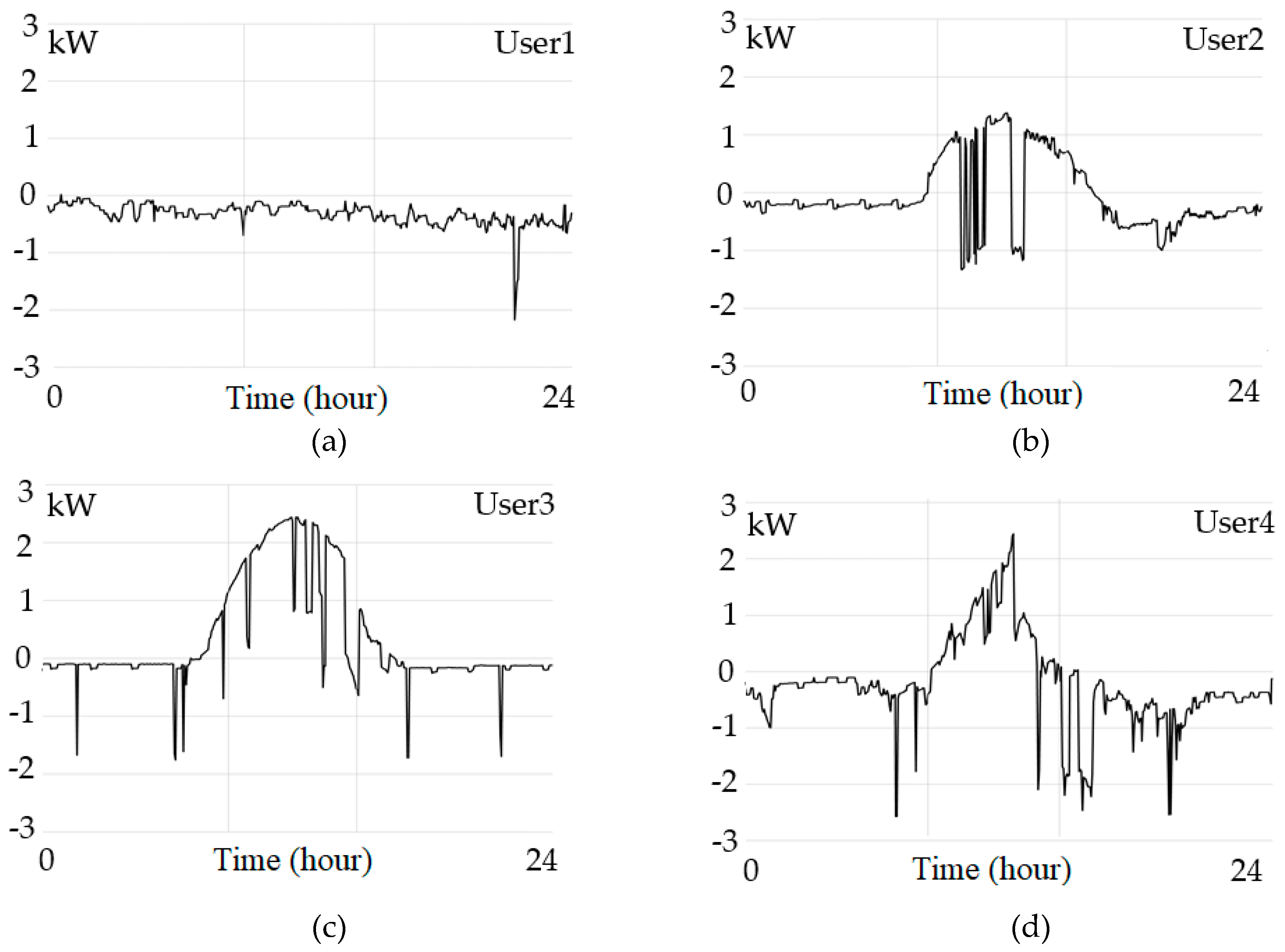
5.1. The Local Community
5.2. Two Case Studies: Case0 and Case1
5.3. Energetic Analysis: Case0, None Electric Vehicle, Bussiness as Usual
5.4. Energetic Analysis: Case1, Smart Charging, Increasing Self Consumption
5.5. Economic Analysis: Operating as Individuals, Business as Usual
5.6. Economic Analysis: Operating as Local Energy Community, Greater Subsidies
5.7. Economic Analysis: Operating as Local Energy Community, Lower Bills
6. Future Works and Aims
7. Conclusions
Author Contributions
Funding
Acknowledgments
Conflicts of Interest
References
- Lowitzsch, J.; Hoicka, C.E.; van Tulder, F.J. Renewable energy communities under the 2019 European Clean Energy Package – Governance model for the energy clusters of the future. Renew. Sustain. Energy Rev. 2020, 122, 109489. [Google Scholar] [CrossRef]
- van der Schoor, T.; Scholtens, B. Power to the people: Local community initiatives and the transition to sustainable energy. Renew. Sustain. Energy Rev. 2015, 43, 666–675. [Google Scholar] [CrossRef]
- Koirala, B.P.; Koliou, E.; Friege, J.; Hakvoort, R.A.; Herder, P.M. Energetic communities for community energy: A review of key issues and trends shaping integrated community energy systems. Renew. Sustain. Energy Rev. 2016, 56, 722–744. [Google Scholar] [CrossRef]
- Azarova, V.; Cohen, J.; Friedl, C.; Reichl, J. Designing local renewable energy communities to increase social acceptance: Evidence from a choice experiment in Austria, Germany, Italy, and Switzerland. Energy Policy 2019, 132, 1176–1183. [Google Scholar] [CrossRef]
- Wirth, S. Communites matter: Institutional preconditions for community renewable energy. Energy Policy 2014, 70, 236–246. [Google Scholar] [CrossRef]
- Berka, A.; MacArthur, J.; Gonnelli, C. Explaining inclusivity in energy transitions: Local and community energy in Aotearoa New Zealand. Environ. Innov. Soc. Transit. 2020, 34, 165–182. [Google Scholar] [CrossRef]
- Moroni, S.; Antoniucci, V.; Bisello, A. Local energy communities and distributed generation: Contrasting perspectives, and inevitable policy trade-offs, beyond the apparent global consensus. Sustainability 2019, 11, 3493. [Google Scholar] [CrossRef]
- Nolden, C.; Barnes, J.; Nicholls, J. Community energy business model evolution: A review of solar photovoltaic developments in England. Renew. Sustain. Energy Rev. 2020, 122, 109722. [Google Scholar] [CrossRef]
- Hahnel, J.; Herberz, M.; Pena-Bello, A.; Parra, D.; Brosch, T. Becoming prosumer: Revealing trading preferences and decision-making strategies in peer-to-peer energy communities. Energy Policy 2020, 137, 111098. [Google Scholar] [CrossRef]
- Mittal, A.; Krejci, C.C.; Dorneich, M.; Fickes, D. An agent-based approach to modeling zero energy communities. Solar Energy 2019, 191, 193–204. [Google Scholar] [CrossRef]
- Ceglia, P.; Esposito, E.; Marrasso, M.; Sasso, P. From smart energy community to smart energy municipalities: Literature review, agendas and pathways. J. Clean. Prod. 2020, 254, 120118. [Google Scholar] [CrossRef]
- Giordano, A.; Ghiani, E.; Pilo, F.; Rosetti, L. Planning of Energy Production and Management of Energy Resources in Local Energy Communities: The Case of Berchidda Municipality (Italy). Proceedings 2019, 20, 16. [Google Scholar] [CrossRef]
- DIRECTIVE (EU) 2019/944, Article 16. Available online: https://eur-lex.europa.eu/eli/dir/2019/944/oj (accessed on 1 June 2020).
- Hart, G.W. Nonintrusive appliance load monitoring. Proc. IEEE 1992, 80, 1870–1891. [Google Scholar] [CrossRef]
- Lam, H.Y.; Fung, G.S.K.; Lee, W.K. A novel method to construct Taxonomy of electrical appliances based on Load Signatures. IEEE Trans. Consum. Electron. 2007, 53, 653–660. [Google Scholar] [CrossRef]
- Agrawal, R.; Imielinski, T. Mining association rules between sets of items in large databases. In Proceedings of the 1993 ACM SIGMOD International Conference on Management of Data; ACM Press: Washington, DC, USA, 1993. [Google Scholar]
- Knyrim, R.; Trieb, G. Smart metering under EU data protection law. Int. Data Priv. Law 2011, 1, 121–128. [Google Scholar] [CrossRef]
- Directive 95/46/EC of The European Parliament and The Council of 24 October 1995 on The Protection of Individuals with Regard to The Processing of Personal Data and on The Free Movement of Such Data. Available online: https://eur-lex.europa.eu/legal-content/en/TXT/?uri=CELEX%3A31995L0046 (accessed on 1 June 2020).
- Weaver, K.T. A perspective on How Smart Meters Invade Individual Privacy; Sky Vision Solution Press: Hoboken, NJ, USA, 2014; Available online: https://skyvisionsolutions.files.wordpress.com/2014/08/utility-smart-meters-invade-privacy-22-aug-2014.pdf (accessed on 22 August 2014).
- Data Protection Impact Assessment Template for Smart Grid and Smart Metering systems. Smart Grid Task Force 2012-14 Expert Group 2: Regulatory Recommendations for Privacy, Data Protection and Cyber-Security in the Smart Grid Environment 2018. Available online: https://ec.europa.eu/energy/sites/ener/files/documents/2014_dpia_smart_grids_forces.pdf (accessed on 1 June 2020).
- Xie, S.; Zhang, F.; Lin, H.; Tian, Y. A New Secure and anonymous metering scheme for smart grid communications. Energies 2019, 12, 4751. [Google Scholar] [CrossRef]
- Directive 2019/944 of The European Parliament and of The Council of 5 June 2019 on Common Rules for The Internal Market for Electricity and Amending Directive 2012/27/EU. Available online: https://eur-lex.europa.eu/eli/dir/2019/944/oj (accessed on 1 June 2020).
- Anda, M.; Temmen, J. Smart metering for residential energy efficiency: The use of community based social marketing for behavioural change and smart grid introduction. Renew. Energy 2014, 67. [Google Scholar] [CrossRef]
- Andoni, M.; Robu, V.; Flynn, D.; Abram, S.; Geach, D.; Jenkins, D.P.; McCallum, P.; Peacock, A. Blockchain technology in the energy sector: A systematic review of challenges and opportunities. Renew. Sustain. Energy Rev. 2019, 100. [Google Scholar] [CrossRef]
- Sun, Q. A Comprehensive review of smart energy meters in intelligent energy networks. IEEE Internet Things J. 2016, 3. [Google Scholar] [CrossRef]
- Sanduleac, M.; Stanescu, C.; Golovanov, N. Power networks observability, control and automation using Unbundled Smart Meters. In Proceedings of the International Conference on Development and Application Systems (DAS), Suceava, Romania, 19–21 May 2016. [Google Scholar]
- Tang, X.; Milanovic, J. Phase Identification of LV Distribution Network with Smart Meter Data. In Proceedings of the IEEE Power & Energy Society General Meeting (PESGM), Atlanta, GA, USA, 4–8 August 2018. [Google Scholar]
- Zhou, S.; Brown, M. Smart meter deployment in Europe: A comparative case study on the impacts of national policy schemes. J. Clean. Prod. 2017, 144. [Google Scholar] [CrossRef]
- Benchmarking Smart Metering Deployment in the EU-27 with a Focus on Electricity. EU Commission 2014. Available online: https://ses.jrc.ec.europa.eu/publications/reports/benchmarking-smart-metering-deployment-eu-27-focus-electricity (accessed on 1 June 2020).
- Sanchez-Sutil, F. Development and Calibration of an Open Source, Low-Cost Power Smart Meter Prototype for PV Household-Prosumers. Electronics 2019, 8, 878. [Google Scholar] [CrossRef]
- González, I.; Calderón, A.J. Integration of open source hardware Arduino platform in automation systems applied to Smart Grids/Micro-Grids. Sustain. Energy Technol. Assess. 2019, 36. [Google Scholar] [CrossRef]
- Viciana, E.; Alcayde, A.; Montoya, F.G.; Baños, R.; Arrabal-Campos, F.M.; Zapata-Sierra, A.; Manzano-Agugliaro, F. OpenZmeter: An efficient low-cost energy smart meter and power quality analyzer. Sustainability 2018, 10, 4038. [Google Scholar] [CrossRef]
- Pereira, R.I.S.; Dupont, I.M.; Carvalho, P.C.M.; Jucá, S.C.S. IoT embedded linux system based on Raspberry Pi applied to real-time cloud monitoring of a decentralized photovoltaic plant. Measurement 2018, 114. [Google Scholar] [CrossRef]
- Tran, V.T.; Sutanto, D.; Muttaqi, K.M. The state of the art of battery charging infrastructure for electrical vehicles: Topologies, power control strategies, and future trend. In Proceedings of the Australasian Universities Power Engineering Conference (AUPEC), Melbourne, Australa, 19–22 November 2017. [Google Scholar]
- Yilmaz, M.; Krein, P.T. Review of charging power levels and infrastructure for plug-in electric and hybrid vehicles. In Proceedings of the IEEE International Electric Vehicle Conference 2012, 15 October 2012. [Google Scholar]
- Kesler, M.; Kisacikoglu, M.C.; Tolbert, L.M. Vehicle-to-Grid reactive power operation using Plug-In electric vehicle bidirectional offboard charger. IEEE Trans. Ind. Electron. 2014, 61. [Google Scholar] [CrossRef]
- Zhang, J.; Lai, J.J.; Kim, R.Y.; Yu, W. Density design of a soft-switching high-power bidirectional dc–dc converter. IEEE Trans. Power Electron. 2007, 22. [Google Scholar] [CrossRef]
- Kisacikoglu, M.C.; Kesler, M.; Tolbert, L.M. Single-Phase On-board bidirectional PEV charger for V2G reactive power operation. IEEE Trans. Smart Grid 2015, 6. [Google Scholar] [CrossRef]
- Monteiro, V.; Pinto, J.G.; Exposto, B.; Monteiro, L.F.C.; Couto, C.; Afonso, J.L. A novel concept of unidirectional bridgeless combined boost-buck converter for EV battery chargers. In Proceedings of the IEEE 24th International Symposium on Industrial Electronics (ISIE), Búzlos, Brazil, 3–5 June 2015. [Google Scholar]
- Huber, J.; Schaule, E.; Jung, D.; Weinhardt, C. Quo vadis smart charging? A literature review and expert survey on technical potentials and user acceptance of smart charging systems. World Electr. Veh. J. 2019, 10, 85. [Google Scholar] [CrossRef]
- Hildermeier, J.; Kolokathis, C.; Rosenow, J.; Hogan, M.; Wiese, C.; Jahn, A. Smart EV Charging: A Global Review of Promising Practices. World Electr. Veh. J. 2019, 10, 80. [Google Scholar] [CrossRef]
- Moses, P.S.; Masoum, M.A.S.; Hajforoosh, S. Overloading of distribution transformers in smart grid due to uncoordinated charging of plug-In electric vehicles. In Proceedings of the IEEE PES Innovative Smart Grid Technologies (ISGT), Washington, DC, USA, 16–20 January 2012. [Google Scholar]
- Zhang, G.; Tan, S.T.; Wang, G.G. Real-Time Smart Charging of Electric Vehicles for Demand Charge Reduction at Non-Residential Sites. IEEE Trans. Smart Grid 2018, 9. [Google Scholar] [CrossRef]
- Vaya, M.G.; Andersson, G. Centralized and decentralized approaches to smart charging of plug-in Vehicles. In Proceedings of the IEEE Power and Energy Society General Meeting, San Diego, CA, USA, 22–26 July 2012. [Google Scholar]
- Turker, H.; Pirsan, V.; Bacha, S.; Frey, D.; Richer, J.; Lebrusq, P. Heuristic strategy for smart charging of Plug-In Electric Vehicle in residential areas: Variable charge power. In Proceedings of the International Conference on Renewable Energy Research and Application (ICRERA), Milwaukee, WI, USA, 19–22 October 2014. [Google Scholar]
- Scorrano, M.; Danielis, R.; Pastore, S.; Lughi, V.; Massi Pavan, A. Modeling the total cost of ownership of an electric car using a residential photovoltaic generator and a battery storage Unit—An Italian case study. Energies 2020, 13, 2584. [Google Scholar] [CrossRef]
- Fachrizal, R.; Munkhammar, J. Improved photovoltaic self-consumption in residential buildings with distributed and centralized smart charging of electric vehicles. Energies 2020, 13, 1153. [Google Scholar] [CrossRef]
- Nour, M.; Said, S.M.; Ali, A.; Farkas, C. Smart Charging of Electric Vehicles According to Electricity Price. In Proceedings of the International Conference on Innovative Trends in Computer Engineering (ITCE), Aswan, Egypt, 2–4 February 2019. [Google Scholar]
- Ghotge, R.; Snow, Y.; Farahani, S.; Lukszo, Z.; van Wijk, A. Optimized scheduling of EV charging in solar parking lots for local peak reduction under EV demand uncertainty. Energies 2020, 13, 1275. [Google Scholar] [CrossRef]
- Trippe, A.E.; Massier, T.; Hamacher, T. Optimized charging of electric vehicles with regard to battery constraints—Case study: Singaporean car park. IEEE Energytech 2013. [Google Scholar] [CrossRef]
- Clairand, J.; Rodríguez-García, J.; Álvarez-Bel, C. Smart Charging for Electric Vehicle Aggregators Considering Users’ Preferences. IEEE Access 2018, 6. [Google Scholar] [CrossRef]
- López, K.; Gagné, C.; Gardner, M. Demand-Side Management Using Deep Learning for Smart Charging of Electric Vehicles. In Proceedings of the IEEE Transactions on Smart Grid, Kuala Lumpur, Malaysia, 19 June 2019. [Google Scholar]
- Moslemi, R.; Hooshmand, A.; Sharma, R.K. A machine learning based demand charge management solution. In Proceedings of the IEEE PES Innovative Smart Grid Technologies Conference Europe (ISGT-Europe), Torino, Italy, 26–29 September 2017. [Google Scholar]
- Clairand, J.-M. Participation of Electric Vehicle Aggregators in Ancillary Services Considering Users’ Preferences. Sustainability 2020, 12, 8. [Google Scholar] [CrossRef]
- Dahmane, Y.; Ghanes, M.; Chenouard, R.; Alvarado-Ruiz, M. Decentralized Control of Electric Vehicle Smart Charging for Cost Minimization Considering Temperature and Battery Health. In Proceedings of the IEEE International Conference on Communications, Control, and Computing Technologies for Smart Grids (SmartGridComm), Beijing, China, 21–23 October 2019. [Google Scholar]
- Yoon, D.-H.; Kang, S.-K.; Kim, M.; Han, Y. Exploiting coarse-grained parallelism using cloud computing in massive power flow computation. Energies 2018, 11, 2268. [Google Scholar] [CrossRef]
- Tawalbeh, L.; Muheidat, F.; Tawalbeh, M.; Quwaider, M. IoT Privacy and security: Challenges and solutions. Appl. Sci. 2020, 10, 4102. [Google Scholar] [CrossRef]
- Schreiber, M.; Hochloff, P. Capacity-dependent tariffs and residential energy management for photovoltaic storage systems. In Proceedings of the IEEE Power and Energy Society General Meeting, Vancouver, BC, Canada, 21–25 July 2013. [Google Scholar]
- Widén, J. Improved photovoltaic self-consumption with appliance scheduling in 200 single-family buildings. Appl. Energy 2014, 126. [Google Scholar] [CrossRef]












| PV Generator | Storage | Meter | |||
|---|---|---|---|---|---|
| (kW) | (kW) | (kWh) | (kW) | ||
| User1 | Consumer | - | 50 | 40.0 | 4.50 |
| User2 | Prosumer | 2.25 | - | - | 3.00 |
| User3 | Prosumer | 4.50 | - | - | 4.50 |
| User4 | Prosumer | 6.27 | - | - | 4.50 |
| Production (kWh) | Consumption (kWh) | Net Metering (%) | Synchronous (%) | ||||
|---|---|---|---|---|---|---|---|
| Case0 | Case1 | Case0 | Case1 | Case0 | Case1 | ||
| Daily | 20.51 | 27.65 | 37.02 | 100.00 | 100.00 | 21.51 | 66.52 |
| 9→15 | 18.78 | 4.34 | 13.72 | 23.12 | 73.05 | 17.29 | 66.47 |
| 15→9 | 1.74 | 23.31 | 23.31 | 100.00 | 100.00 | 67.07 | 67.09 |
| Production | Consumption | Subsidy | Bill | ||||
|---|---|---|---|---|---|---|---|
| (kWh) | (kWh) | A (€) | B (€) | C (€) | Tot (€) | (€) | |
| User1w/out EV | 0.00 | 8.28 | 0.00 | 0.00 | 0.00 | 0.00 | 1.55 |
| User1with EV | 0.00 | 17.65 | 0.00 | 0.00 | 0.00 | 0.00 | 3.12 |
| User2 | 5.11 | 6.62 | 0.27 | 0.03 | 0.00 | 0.30 | 1.32 |
| User3 | 10.81 | 2.87 | 0.15 | 0.02 | 0.41 | 0.58 | 0.57 |
| User4 | 4.59 | 9.88 | 0.24 | 0.03 | 0.00 | 0.27 | 1.98 |
| Communityw/out User1 | 20.51 | 19.37 | 1.02 | 0.12 | 0.05 | 1.20 | 3.31 |
| CommunityCase0 | 20.51 | 27.65 | 1.07 | 0.13 | 0.00 | 1.20 | 4.65 |
| CommunityCase1 | 20.51 | 37.02 | 1.07 | 0.13 | 0.00 | 1.20 | 4.68 |
© 2020 by the authors. Licensee MDPI, Basel, Switzerland. This article is an open access article distributed under the terms and conditions of the Creative Commons Attribution (CC BY) license (http://creativecommons.org/licenses/by/4.0/).
Share and Cite
Barone, G.; Brusco, G.; Menniti, D.; Pinnarelli, A.; Polizzi, G.; Sorrentino, N.; Vizza, P.; Burgio, A. How Smart Metering and Smart Charging may Help a Local Energy Community in Collective Self-Consumption in Presence of Electric Vehicles. Energies 2020, 13, 4163. https://doi.org/10.3390/en13164163
Barone G, Brusco G, Menniti D, Pinnarelli A, Polizzi G, Sorrentino N, Vizza P, Burgio A. How Smart Metering and Smart Charging may Help a Local Energy Community in Collective Self-Consumption in Presence of Electric Vehicles. Energies. 2020; 13(16):4163. https://doi.org/10.3390/en13164163
Chicago/Turabian StyleBarone, Giuseppe, Giovanni Brusco, Daniele Menniti, Anna Pinnarelli, Gaetano Polizzi, Nicola Sorrentino, Pasquale Vizza, and Alessandro Burgio. 2020. "How Smart Metering and Smart Charging may Help a Local Energy Community in Collective Self-Consumption in Presence of Electric Vehicles" Energies 13, no. 16: 4163. https://doi.org/10.3390/en13164163
APA StyleBarone, G., Brusco, G., Menniti, D., Pinnarelli, A., Polizzi, G., Sorrentino, N., Vizza, P., & Burgio, A. (2020). How Smart Metering and Smart Charging may Help a Local Energy Community in Collective Self-Consumption in Presence of Electric Vehicles. Energies, 13(16), 4163. https://doi.org/10.3390/en13164163

