A Real-Time Approach for Thermal Comfort Management in Electric Vehicles
Abstract
1. Introduction
2. System Description and Modeling
2.1. HVAC System Description and Modeling
2.2. Powertrain Model
2.3. Battery Model
3. Real Time Energy Management
3.1. Principle of the Proposed Approach
3.2. Thermal Comfort Criterion
3.3. Phase 1: Traction Energy Estimation
3.4. Phase 2: Fast Cooling and HVAC Power Estimation
3.5. Phase 3: Thermal Comfort Maintaining
| Algorithm 1. The main points of the TCMS algorithm are summarized hereunder |
| Input: battery initial state-of-charge; traffic prediction ( and for each section of the planned road); weather prediction along the planned road |
| Phase 1: Initialization |
| Estimate the required energy for traction along the whole planned trip |
| Calculate the energy available for thermal comfort during the whole planned |
| trip Output: energy available for thermal comfort during the whole planned trip |
| Phase 2: Fast cooling |
| While (current PMV > 0) |
| Estimate , the energy to maintain the current thermal comfort until the end of the trip |
| Calculate , the energy left for the thermal comfort until the end of the trip |
| If (): |
| Apply maximum cooling command |
| Else: |
| Exit while loop |
| Output: Thermal comfort setting point for phase 3 |
| Phase 3: Thermal comfort maintaining |
| For the rest of the trip: |
| Apply command such that at the lowest energy cost |
| Output: Predicted and actual HVAC power profile, PMV profile |
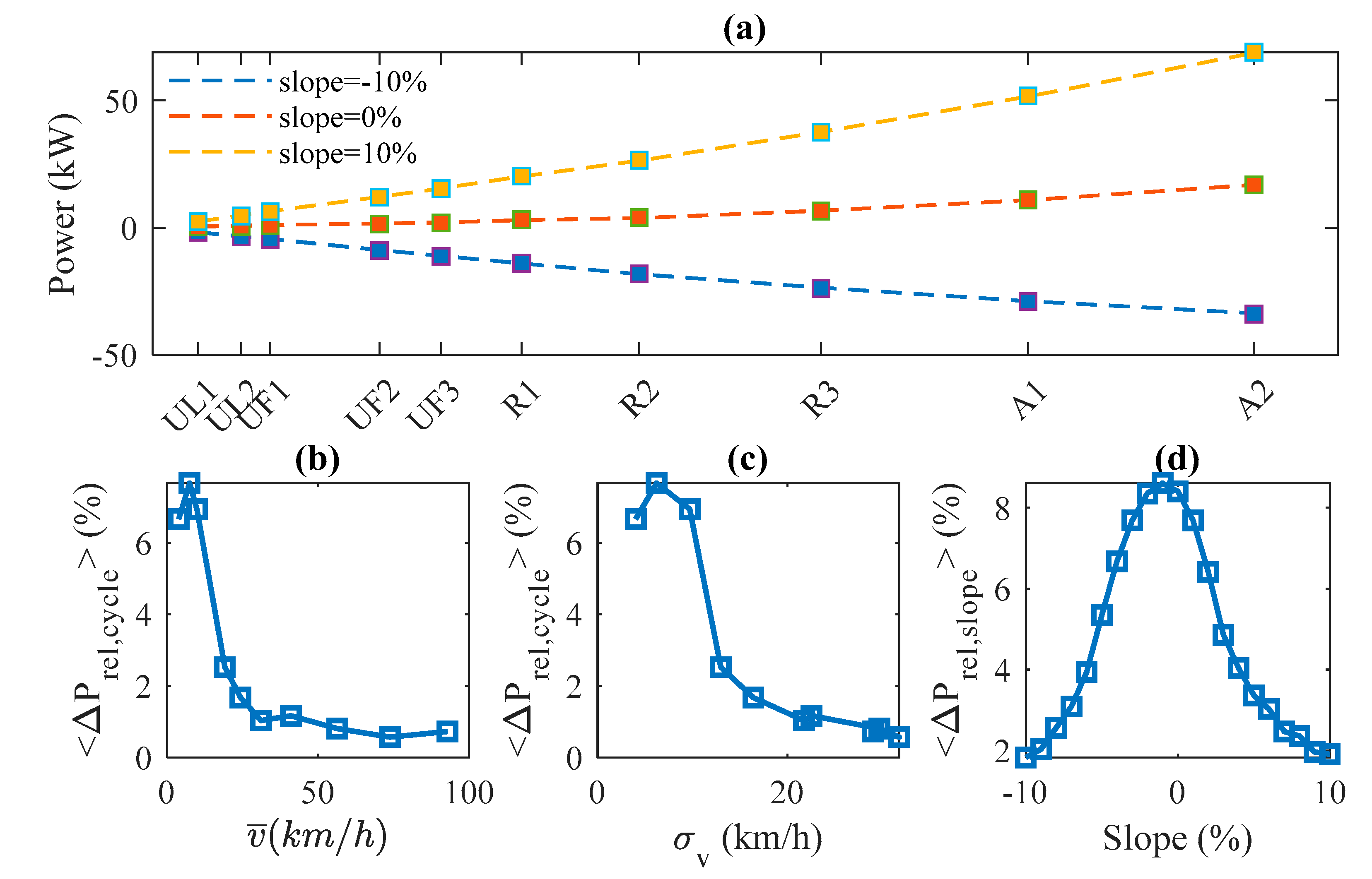
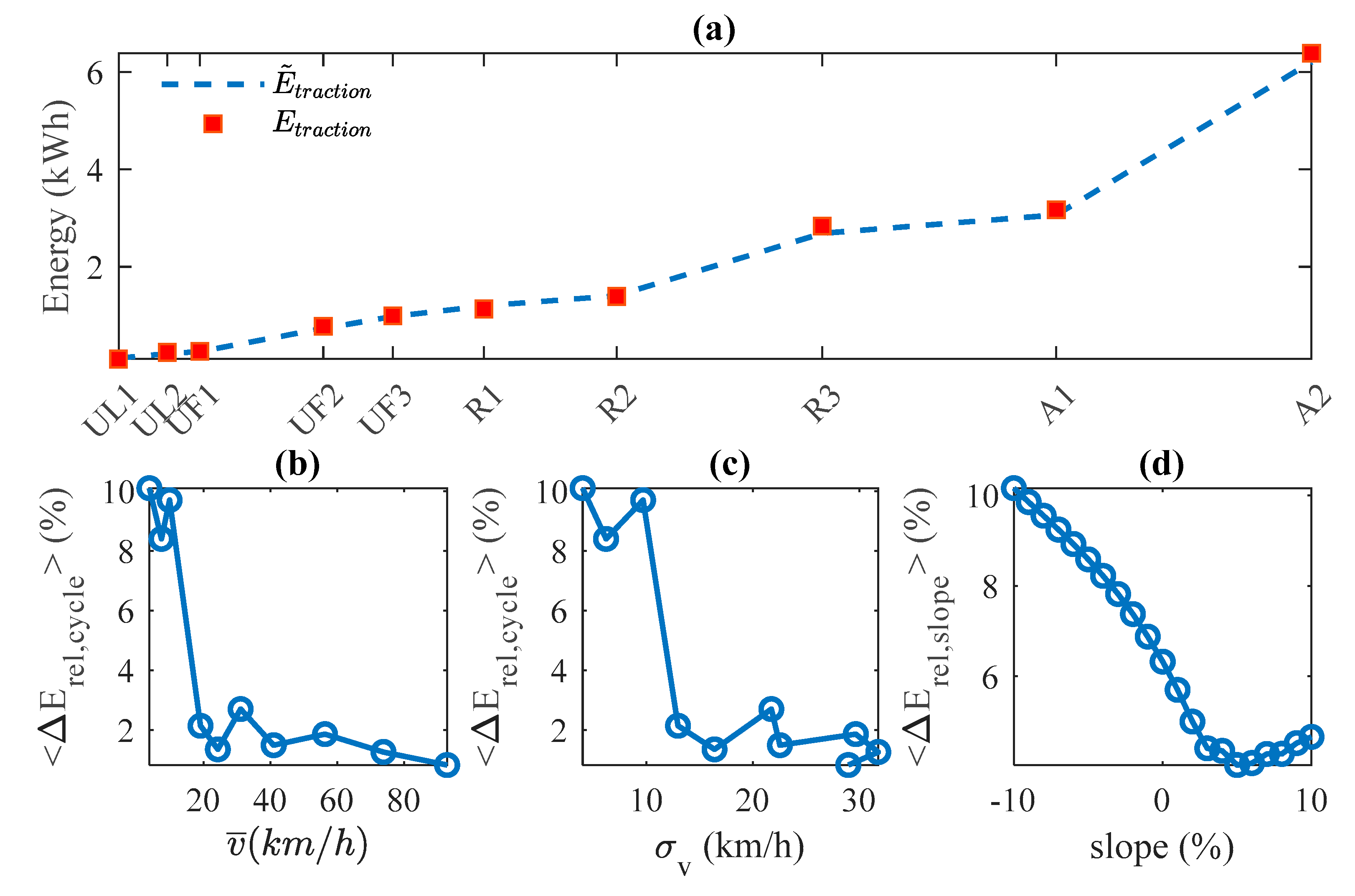
4. Results and Discussion
4.1. Test Scenarios
4.2. Ideal Comfort Results
4.3. Qualitative Observations for a Specific Scenario
4.4. Statistical Analysis over All the Scenarios
5. Conclusions and Perspectives
Author Contributions
Funding
Acknowledgments
Conflicts of Interest
Appendix A
Construction of the Look-Up Table
References
- Ibrahim, B.S.K.K.; Aziah, M.A.N.; Ahmad, S.; Akmeliawati, R.; Nizam, H.M.I.; Muthalif, A.G.A.; Toha, S.F.; Hassan, M.K. Fuzzy-based Temperature and Humidity Control for HV AC of Electric Vehicle. Procedia Eng. 2012, 41, 904–910. [Google Scholar] [CrossRef]
- Beinarts, I. Fuzzy logic control method of HVAC equipment for optimization of passengers’ thermal comfort in public electric transport vehicles. In Proceedings of the Eurocon 2013, Zagreb, Croatia, 1–4 July 2013; pp. 1180–1186. [Google Scholar]
- Fayaz, M.; Ullah, I.; Shah, A.S.; Kim, D. An Efficient Energy Consumption and User Comfort Maximization Methodology Based on Learning to Optimization and Learning to Control Algorithms. J. Intell. Fuzzy Syst. 2019, 37, 6683–6706. [Google Scholar] [CrossRef]
- Xie, Y.; Liu, Z.; Liu, J.; Li, K.; Zhang, Y.; Wu, C.; Wang, P.; Wang, X. A Self-learning intelligent passenger vehicle comfort cooling system control strategy. Appl. Therm. Eng. 2020, 166, 114646. [Google Scholar] [CrossRef]
- Sakhdari, B.; Azad, N.L. An Optimal Energy Management System for Battery Electric Vehicles. IFAC-PapersOnLine 2015, 48, 86–92. [Google Scholar] [CrossRef]
- Mansour, C.; Nader, W.B.; Breque, F.; Haddad, M.; Nemer, M. Assessing additional fuel consumption from cabin thermal comfort and auxiliary needs on the worldwide harmonized light vehicles test cycle. Transp. Res. Part D Transp. Environ. 2018, 62, 139–151. [Google Scholar] [CrossRef]
- Shojaei, S. Application of Key-off Cooling and Partial Charging in Plug-in Electric Vehicles; Phd thesis. University of Warwick: Coventry, UK, 2018. [Google Scholar]
- de Nunzio, G.; Sciarretta, A.; Steiner, A.; Mladek, A. Thermal management optimization of a heat-pump-based HVAC system for cabin conditioning in electric vehicles. In Proceedings of the 2018 Thirteenth International Conference on Ecological Vehicles and Renewable Energies (EVER), Monte-Carlo, Monaco, 10–12 April 2018; pp. 1–7. [Google Scholar]
- Hongwen, H.; Chen, W.; Hui, J. A Stochastic Model Predictive Controller Based on Combined Conditions of Air Conditioning System for Electric Vehicles. DEStech Trans. Environ. Energy Earth Sci. 2019. [Google Scholar] [CrossRef]
- He, H.; Jia, H.; Sun, C.; Sun, F. Stochastic Model Predictive Control of Air Conditioning System for Electric Vehicles: Sensitivity Study, Comparison, and Improvement. IEEE Trans. Ind. Inform. 2018, 14, 4179–4189, No. 9. [Google Scholar] [CrossRef]
- Vatanparvar, K.; Al Faruque, M.A. Design and Analysis of Battery-Aware Automotive Climate Control for Electric Vehicles. ACM Trans. Embed. Comput. Syst. 2018, 17, 22. [Google Scholar] [CrossRef]
- Vatanparvar, K.; Al Faruque, M.A. Battery lifetime-aware automotive climate control for Electric Vehicles. In Proceedings of the 2015 52nd ACM/EDAC/IEEE Design Automation Conference (DAC), San Francisco, CA, USA, 8–12 June 2015; pp. 1–6. [Google Scholar]
- Busl, M. Design of an Energy-Efficient Climate Control Algorithm for Electric Cars. Master’s Thesis, Lund University, Lund, Sweden, 2011. [Google Scholar]
- Vatanparvar, K.; Al Faruque, M.A. Eco-Friendly Automotive Climate Control and Navigation System for Electric Vehicles. In Proceedings of the 2016 ACM/IEEE 7th International Conference on Cyber-Physical Systems (ICCPS), Vienna, Austria, 11–14 April 2016; pp. 1–10. [Google Scholar]
- Vatanparvar, K.; Faezi, S.; Burago, I.; Levorato, M.; Al Faruque, M.A. Extended Range Electric Vehicle With Driving Behavior Estimation in Energy Management. IEEE Trans. Smart Grid 2019, 10, 2959–2968. [Google Scholar] [CrossRef]
- Schaut, S.; Sawodny, O. Thermal Management for the Cabin of a Battery Electric Vehicle Considering Passengers’ Comfort. IEEE Trans. Control Syst. Technol. 2020, 28, 1476–1492. [Google Scholar] [CrossRef]
- Bächle, T.; Graichen, K.; Buchholz, M.; Dietmayer, K. Model Predictive Heating Control for Electric Vehicles Using Load Prediction and Switched Actuators. IFAC-PapersOnLine 2016, 49, 406–411. [Google Scholar]
- Esqueda-Merino, D.; Dubray-Demol, A.; Olaru, S.; Godoy, E.; Dumur, D. Energetic optimization of automotive thermal systems using mixed-integer programming and model predictive control. In Proceedings of the 2013 IEEE International Conference on Control Applications (CCA), Hyderabad, India, 28–30 August 2013; pp. 223–228. [Google Scholar]
- He, H.; Jia, H.; Huo, W.; Yan, M. Stochastic Dynamic Programming of Air Conditioning System for Electric Vehicles. Energy Procedia 2017, 105, 2518–2524. [Google Scholar] [CrossRef]
- Lahlou, A.; Ossart, F.; Boudard, E.; Roy, F.; Bakhouya, M. A dynamic programming approach for thermal comfort control in electric vehicles. In Proceedings of the IEEE Vehicle Power Propulsion Conf., Chicago, IL, USA, 27–30 August 2018. [Google Scholar]
- Bellman, R. Dynamic Programming, 1st ed.; Princeton Univ. Press: Princeton, Princeton, USA, 1957. [Google Scholar]
- Fanger, P.O. Thermal Comfort: Analysis and Applications in Environmental Engineering; McGraw-Hill: New York, NY, USA, 1970. [Google Scholar]
- ANSI/ASHRAE Standard 55. Thermal Environmental Conditions for Human Occupancy; American Society of Heating, Refrigerating and Air conditioning Engineers: Atlanta, GA, USA, 1992. [Google Scholar]
- Zhang, H.; Cao, D.; Du, H. Modeling, Dynamics, and Control of Electrified Vehicles; Woodhead Publishing: Cambridge, UK, 2017. [Google Scholar]
- S.M. Mousavi, G.; Nikdel, M. Various battery models for various simulation studies and applications. Renew. Sustain. Energy Rev. 2014, 32, 477–485. [Google Scholar] [CrossRef]
- Drive Cycle Data. Available online: https://www.nrel.gov/transportation/secure-transportation-data/tsdc-drive-cycle-data.htmlISO7730:2005(en) (accessed on 31 July 2019).
- Nilsson, H. Comfort Climate Evaluation with Thermal Manikin Methods and Computer Simulation Models. Ph.D. Thesis, Royal Institute of Technology, Stockholm, Sweden, 2004. [Google Scholar]
- Lee, J.H.; Kim, Y.K.; Kim, K.S.; Kim, S. Estimating Clothing Thermal Insulation Using an Infrared Camera. Sensors 2016, 16, 341. [Google Scholar] [CrossRef] [PubMed]
- Metabolic Rate. Available online: https://www.engineeringtoolbox.com/met-metabolic-rate-d_733.html (accessed on 31 July 2020).
- International Organization for Standardization (2005) Ergonomics of the Thermal Environment—Analytical Determination and Interpretation of Thermal Comfort using Calculation of the PMV and PPD Indices and Local Thermal Comfort Criteria (ISO 7730).



















| Thermal Sensation Scale | PMV |
|---|---|
| Hot | +3 |
| Warm | +2 |
| Slightly warm | +1 |
| Neutral | 0 |
| Slightly cool | −1 |
| Cool | −2 |
| Slightly cool | −3 |
| INRETS Cycles | Duration [s] | Distance [km] | [km/h] | [km/h] |
|---|---|---|---|---|
| UL1 | 806 | 0.85 | 3.81 | 4 |
| UL2 | 812 | 1.67 | 7.42 | 6.22 |
| UF1 | 681 | 1.88 | 9.92 | 9.74 |
| UF2 | 1055 | 5.61 | 19.14 | 12.97 |
| UF3 | 1068 | 7.23 | 24.36 | 16.43 |
| R1 | 889 | 7.79 | 31.55 | 21.94 |
| Data | Values |
|---|---|
| External temperature | |
| External relative humidity | |
| Solar radiation | |
| Average speed | Extracted from INRETS driving cycles: A2, R2, UF1 & UL1 |
| Speed standard deviation | |
| Slope | Variable slope profile |
| Clothing insulation | 1.1 clo |
| Metabolism | 1 met |
| Air speed | 1 m/s |
| [W/m2] | [°C] | [°C] | [kWh] |
|---|---|---|---|
| 0 | 25.1 | 24.7 | 1.94 |
| 500 | 31.3 | 23 | 2.26 |
| 1000 | 37.3 | 21.2 | 3.12 |
| INRETS Cycles | ||||
|---|---|---|---|---|
| A2 | −14.3 | 48.8 | −1.7 | 3.4 |
| R2 | −40.7 | 55.9 | −3.8 | 4.2 |
| UF1 | −32.5 | 55.3 | −3.2 | 4 |
| UL1 | −4.9 | 67.8 | −1.6 | 4.5 |
© 2020 by the authors. Licensee MDPI, Basel, Switzerland. This article is an open access article distributed under the terms and conditions of the Creative Commons Attribution (CC BY) license (http://creativecommons.org/licenses/by/4.0/).
Share and Cite
Lahlou, A.; Ossart, F.; Boudard, E.; Roy, F.; Bakhouya, M. A Real-Time Approach for Thermal Comfort Management in Electric Vehicles. Energies 2020, 13, 4006. https://doi.org/10.3390/en13154006
Lahlou A, Ossart F, Boudard E, Roy F, Bakhouya M. A Real-Time Approach for Thermal Comfort Management in Electric Vehicles. Energies. 2020; 13(15):4006. https://doi.org/10.3390/en13154006
Chicago/Turabian StyleLahlou, Anas, Florence Ossart, Emmanuel Boudard, Francis Roy, and Mohamed Bakhouya. 2020. "A Real-Time Approach for Thermal Comfort Management in Electric Vehicles" Energies 13, no. 15: 4006. https://doi.org/10.3390/en13154006
APA StyleLahlou, A., Ossart, F., Boudard, E., Roy, F., & Bakhouya, M. (2020). A Real-Time Approach for Thermal Comfort Management in Electric Vehicles. Energies, 13(15), 4006. https://doi.org/10.3390/en13154006
