Conceptual Approach on Feasible Hydrogen Contents for Retrofit of CNG to HCNG under Heavy-Duty Spark Ignition Engine at Low-to-Middle Speed Ranges
Abstract
1. Introduction
2. Model Description
2.1. Target Engine and Detailed One-Dimensional Engine Modeling
2.2. Latin Hypercube Sampling for the Response Surface Model
3. Results and Discussions
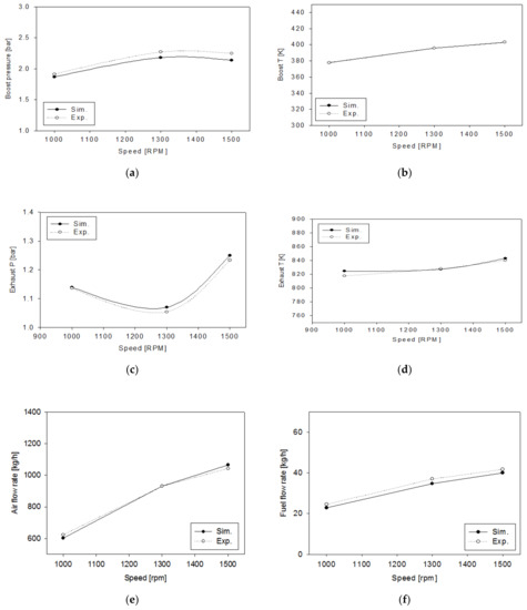
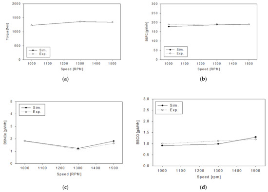
3.1. Validation Results and Response Surface from Latin Hypercube Sampling
3.2. Response Surface Model under a 1000 rpm Full-Load Condition
3.3. Response Surface Model under a 1300 rpm Full-Load Condition
3.4. Response Surface Model under a 1500 rpm Full-Load Condition
4. Conclusions
- Based on experimental data, a 1D gas engine generator is modeled and validated. The LHS method is employed to obtain the RSM as a fractional factorial DOE considering random sampling, spark timing, excess air ratio, and H2 content, as independent variables within the desired ranges.
- Using fuel containing 6–10% hydrogen under all target operating conditions, the virtual HCNG engine is observed to be capable of reaching similar levels of torque and BSFC for the same lambda (i.e., λCH4+H2). Moreover, NOx formation loss is observed in the region where engine speed is relatively low (i.e., 1000 rpm) under conditions similar to those of the base engine. On the contrary, NOx loss can be avoided despite hydrogen addition in the relatively middle speed region (1300 and 1500 rpm). With fuel containing 6–10% hydrogen, it is possible to achieve performance and emission similar to those of the base engine in the middle speed operation range of the large engine. This demonstrates the application potential of hydrogen addition by considering achievable hydrogen yield from onboard reforming system.
- The results suggest that the yields of onboard reforming as reported by many studies are suitable for the middle speed ranges of heavy-duty HCNG engine operation in terms of performance and emissions. In future work, the characteristics of the HCNG engine under high speed ranges will also be taken into consideration relative to CO emissions, and the hydrogen content map for all operating speeds will be suggested for COx-free engine systems. Based on the performance and emission tendencies conducted from the present work, system to component analysis will be taken under feasible hydrogen contents. By connecting to 3D combustion analysis, detailed engine concepts will be conducted and reformer concepts will be introduced to achieve hydrogen yield suggested in this study.
Author Contributions
Funding
Acknowledgments
Conflicts of Interest
Abbreviations
| aTDC | After top dead center |
| BSNOx | Brake specific nitrogen oxides |
| BSCO | Brake specific carbon monoxide |
| CA | Crank angle |
| CO | Carbon monoxide |
| CR | Compression ratio |
| DoE | Design of experiment |
| EAR | Excess air ratio |
| HCNG | Hydrogen-added compressed natural gas |
| LHS | Latin hypercube sampling |
| NOx | Nitric oxides |
| RSM | Response surface model |
| SI | Spark ignition |
Nomenclature
| mu | unburned zone mass, kg |
| mb | burned zone mass, kg |
| mf | fuel mass, kg |
| ma | air mass, kg |
| hf | fuel mass enthalpy, J/kg |
| ha | air mass enthalpy, J/kg |
| hf,i | injected fuel mass enthalpy, J/kg |
| eu | unburned zone energy, kW |
| eb | burned zone energy, kW |
| p | cylinder pressure, bar |
| Vu | unburned zone volume, m3 |
| Vb | burned zone volume, m3 |
| Qu | unburned zone heat transfer, kW |
| Qb | burned zone heat transfer, kW |
| λ | excess air ratio |
References
- Yan, F.; Xu, L.; Wang, Y. Application of hydrogen enriched natural gas in spark ignition IC engines: From fundamental fuel properties to engine performances and emissions. Renew. Sustain. Energy Rev. 2018, 82, 1457–1488. [Google Scholar] [CrossRef]
- Dhyani, V.; Subramanian, K.A. Experimental based comparative exergy analysis of a multi-cylinder spark ignition engine fuelled with different gaseous (CNG, HCNG, and hydrogen) fuels. Int. J. Hydrog. Energy 2019, 44, 20440–20451. [Google Scholar] [CrossRef]
- Lather, R.S.; Das, L.M. Performance and emission assessment of a multi- cylinder SI engine using CNG & HCNG as fuels. Int. J. Hydrog. Energy 2019, 44, 21181–21192. [Google Scholar]
- Alrazen, H.A.; Ahmad, K.A. HCNG fueled spark-ignition (SI) engine with its effects on performance and emissions. Renew. Sustain. Energy Rev. 2018, 82, 324–342. [Google Scholar] [CrossRef]
- Zhao, J.; Ma, F.; Xiong, X.; Deng, J.; Wang, L.; Naeve, N.; Zhao, S. Effects of compression ratio on the combustion and emission of a hydrogen enriched natural gas engine under different excess air ratio. Energy 2013, 59, 635–658. [Google Scholar] [CrossRef]
- Mehra, R.K.; Duan, H.; Juknelevicius, R.; Ma, F.; Li, J. Progress in hydrogen enriched compressed natural gas (HCNG) internal combustion engines e a comprehensive review. Renew. Sustain. Energy Rev. 2017, 80, 1458–1498. [Google Scholar] [CrossRef]
- Lee, J.; Park, C.; Bae, J.; Kim, Y.; Choi, Y.; Lim, B. Effect of different excess air ratio values and spark advance timing on combustion and emission characteristics of hydrogen-fueled spark ignition engine. Int. J. Hydrog. Energy 2019, 44, 25021–25030. [Google Scholar] [CrossRef]
- Lee, S.; Kim, C.; Choi, Y.; Lim, G.; Park, C. Emissions and fuel consumption characteristics of an HCNG-fueled heavy-duty engine at idle. Int. J. Hydrog. Energy 2014, 39, 8078–8086. [Google Scholar] [CrossRef]
- Park, C.; Lee, S.; Kim, C.; Choi, Y. A comparative study of lean burn and exhaust gas recirculation in an HCNG-fueled heavy-duty engine. Int. J. Hydrog. Energy 2017, 42, 26094–26101. [Google Scholar] [CrossRef]
- Bogarra, M.; Herreros, J.M.; Tsolakis, A.; York, A.P.E.; Millington, P.J. Study of particulate matter and gaseous emissions in gasoline direct injection engine using on-board exhaust gas fuel reforming. Appl. Energy 2016, 180, 245–255. [Google Scholar] [CrossRef]
- Casanovas, A.; Divins, N.; Rejas, A.; Bosch, R.; Llorca, J. Finding a suitable catalyst for on-board ethanol reforming using exhaust heat from an internal combustion engine. Int. J. Hydrog. Energy 2016, 42, 13621–13690. [Google Scholar] [CrossRef]
- Zhang, Z.; Jia, P.; Reng, S.; Liang, J.; Long, Y.; Li, G. Numerical simulation of exhaust reforming characteristics in catalytic fixed-bed reactors for a natural gas engine. Chem. Eng. Sci. 2018, 191, 200–207. [Google Scholar] [CrossRef]
- Zhang, Z.; Xie, Q.; Liang, J.; Li, G. Numerical study of combustion characteristics of a natural gas HCCI engine with closed loop exhaust-gas fuel reforming. Appl. Therm. Eng. 2017, 119, 430–437. [Google Scholar] [CrossRef]
- Li, G.; Long, Y.; Zhang, Z.; Liang, J.; Zhang, X.; Zhang, X.; Wang, Z. Performance and emissions characteristics of a lean-burn marine natural gas engine with the addition of hydrogen-rich reformate. Int. J. Hydrog. Energy 2019, 44, 31554–31556. [Google Scholar] [CrossRef]
- Long, Y.; Li, G.; Zhang, Z.; Liang, J.; Mao, L.; Li, Y. Effects of reformed exhaust gas recirculation on the HC and CO emissions of a spark-ignition engine fueled with LNG. Int. J. Hydrog. Energy 2018, 45, 21070–21078. [Google Scholar] [CrossRef]
- Catapan, R.C.; Cancino, L.R.; Oliveira, A.A.M.; Schwarz, C.; Nitschke, H.; Frank, T. Potential for onboard hydrogen production in a direct injection ethanol fueled spark ignition engine with EGR. Fuel 2018, 234, 441–446. [Google Scholar] [CrossRef]
- Park, J.; Choi, J. A numerical investigation of lean operation characteristics of spark ignition gas engine fueled with biogas and added hydrogen under various boost pressures. Appl. Therm. Eng. 2017, 117, 225–234. [Google Scholar] [CrossRef]
- Jung, S.Y.; Park, J. Numerical prediction of effects of CO2 or H2 content on combustion characteristics and generation efficiency of biogas-fueled engine generator. Int. J. Hydrog. Energy 2017, 42, 16991–16999. [Google Scholar] [CrossRef]
- Ko, E.; Yoon, W.; Park, J. Fundamental characteristics of combustion under a spark ignition engine generator fueled by hydrogen-added biogas. High Temp. High Press. 2019, 48, 5–15. [Google Scholar] [CrossRef]
- Yoon, W.; Ko, E.; Cho, H.; Park, J. A numerical investigation of hydrogen’s effects on the performance of a heavy-duty natural-gas engine for a combined hydrogen, heat and power system. High Temp. High Press. 2019, 48, 25–36. [Google Scholar] [CrossRef]
- Heywood, J.B. Internal Combustion Engine Fundamentals; McGraw Hill: New York, NY, USA, 1988. [Google Scholar]
- McKay, M.C.; Beckman, R.J.; Conover, W.J. Comparison of three methods for selecting values of input variables in the analysis of output from a computer code. Technometrics 1979, 21, 239–245. [Google Scholar]
- Park, J.; Song, S. Predicting the performance and NOx emissions of a turbocharged spark-ignition engine generator fueled with biogases and hydrogen addition under down-boosting condition. Int. J. Hydrog. Energy 2014, 39, 8510–8524. [Google Scholar] [CrossRef]
- Park, J.; Lee, K.S.; Kim, M.S.; Jung, D. Numerical analysis of a dual-fueled CI (compression ignition) engine using Latin hypercube sampling and multi-objective Pareto optimization. Energy 2014, 70, 278–287. [Google Scholar] [CrossRef]













| Item | Specification |
|---|---|
| Engine type | In-line 6 |
| Bore | 123 mm |
| Stroke | 155 mm |
| Displacement | 11 L |
| Compression ratio | 13:1 |
| Intake system | Waste-gate Turbocharger |
| Max. power | 250 kW@2100 rpm |
| Max. torque | 140 kgm@1300 rpm |
| Speed | 1000, 1300, 1500 rpm |
| Load | Full load |
| Test Conditions at Each rpm | 1000 rpm | 1300 rpm | 1500 rpm |
|---|---|---|---|
| Load (%) | 100 | 100 | 100 |
| BMEP (bar) | 13.9 | 15.4 | 15.1 |
| Boost pressure (bar) | 1.92 | 2.29 | 2.27 |
| Excess air ratio, lambda (-) | 1.54 | 1.56 | 1.56 |
| Variables | Sampling Ranges | # of Sampling Points |
|---|---|---|
| Spark timing (CA aTDC) | from −50 to −10 | 150 sampling pointsat each speed condition |
| Total excess air ratio | 1.2–2.0 | |
| Hydrogen content (vol. %) | 5–15 |
| RPM | Boost P | Boost T | Exhaust P | Exhaust T | Air Flow Rate | Fuel Flow Rate |
|---|---|---|---|---|---|---|
| Error, % @1000 | −2.28 | −0.18 | 0.32 | 0.84 | −3.37 | −4.17 |
| Error, % @1300 | −3.87 | −0.22 | 1.45 | −0.10 | 0.21 | −5.41 |
| Error, % @1500 | −4.90 | −0.25 | 1.29 | 0.35 | 2.19 | −4.76 |
| Standard error (%) Abs. value | 3.68 | 0.22 | 1.02 | 0.43 | 1.92 | 4.78 |
| RPM | Torque | BSFC | BSNOx | BSCO |
|---|---|---|---|---|
| Error, % @1000 | 0.28 | −5.90 | 0.55 | −7.52 |
| Error, % @1300 | 0.08 | −1.61 | 5.26 | −2.03 |
| Error, % @1500 | −0.06 | 0.40 | 4.69 | 6.78 |
| Standard error (%) Abs. value | 0.14 | 2.64 | 3.50 | 5.44 |
© 2020 by the authors. Licensee MDPI, Basel, Switzerland. This article is an open access article distributed under the terms and conditions of the Creative Commons Attribution (CC BY) license (http://creativecommons.org/licenses/by/4.0/).
Share and Cite
Park, B.Y.; Lee, K.-H.; Park, J. Conceptual Approach on Feasible Hydrogen Contents for Retrofit of CNG to HCNG under Heavy-Duty Spark Ignition Engine at Low-to-Middle Speed Ranges. Energies 2020, 13, 3861. https://doi.org/10.3390/en13153861
Park BY, Lee K-H, Park J. Conceptual Approach on Feasible Hydrogen Contents for Retrofit of CNG to HCNG under Heavy-Duty Spark Ignition Engine at Low-to-Middle Speed Ranges. Energies. 2020; 13(15):3861. https://doi.org/10.3390/en13153861
Chicago/Turabian StylePark, Bum Youl, Ki-Hyung Lee, and Jungsoo Park. 2020. "Conceptual Approach on Feasible Hydrogen Contents for Retrofit of CNG to HCNG under Heavy-Duty Spark Ignition Engine at Low-to-Middle Speed Ranges" Energies 13, no. 15: 3861. https://doi.org/10.3390/en13153861
APA StylePark, B. Y., Lee, K.-H., & Park, J. (2020). Conceptual Approach on Feasible Hydrogen Contents for Retrofit of CNG to HCNG under Heavy-Duty Spark Ignition Engine at Low-to-Middle Speed Ranges. Energies, 13(15), 3861. https://doi.org/10.3390/en13153861
