Cyclic Mechanical Behavior of Two Sandy Soils Used as Heat Storage Media
Abstract
1. Introduction
2. Experimental Program
2.1. Tested Soils
2.2. Equipments Used
2.3. Experimental Procedure
3. Results and Discussion
3.1. Time Plots
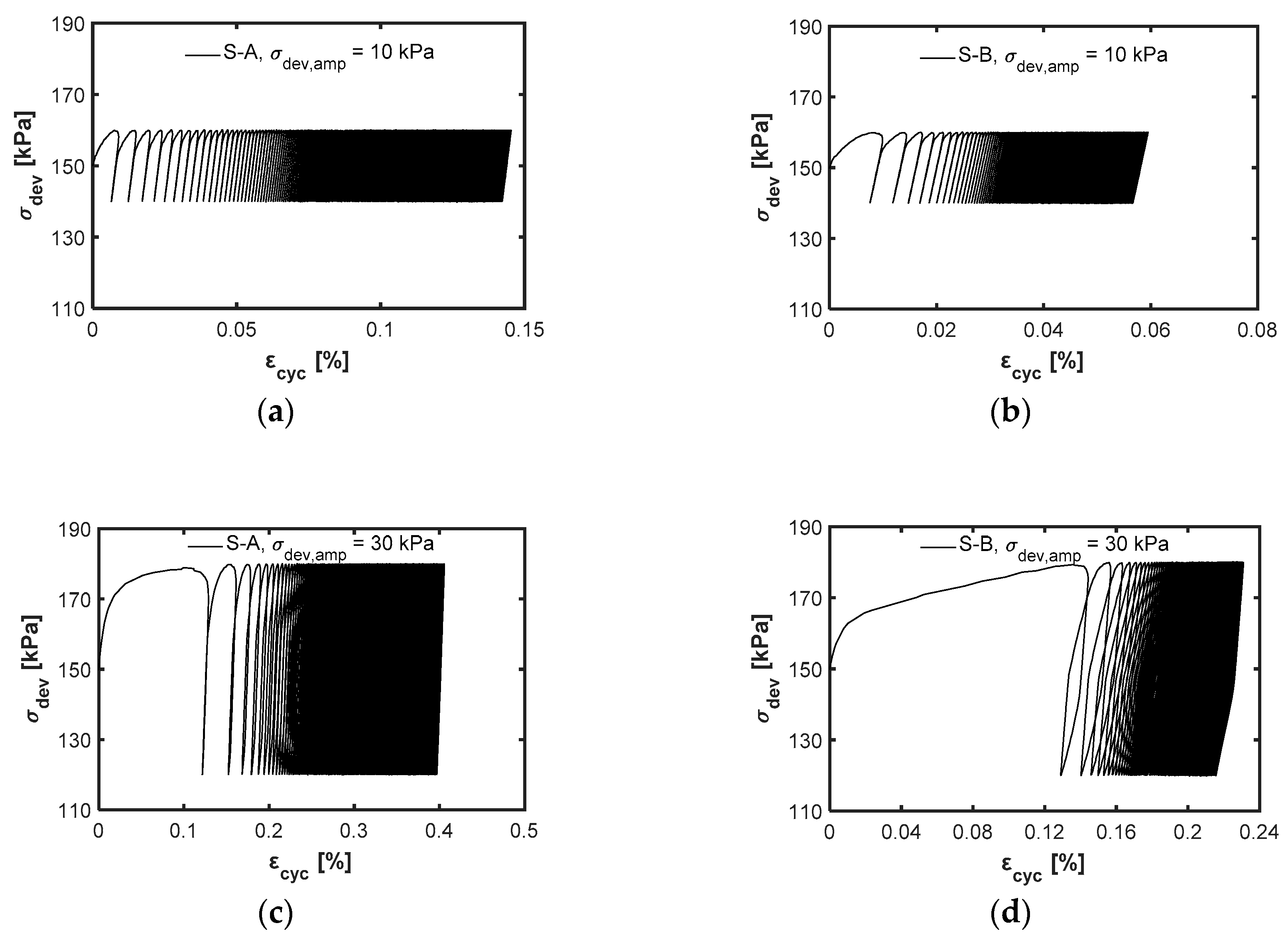
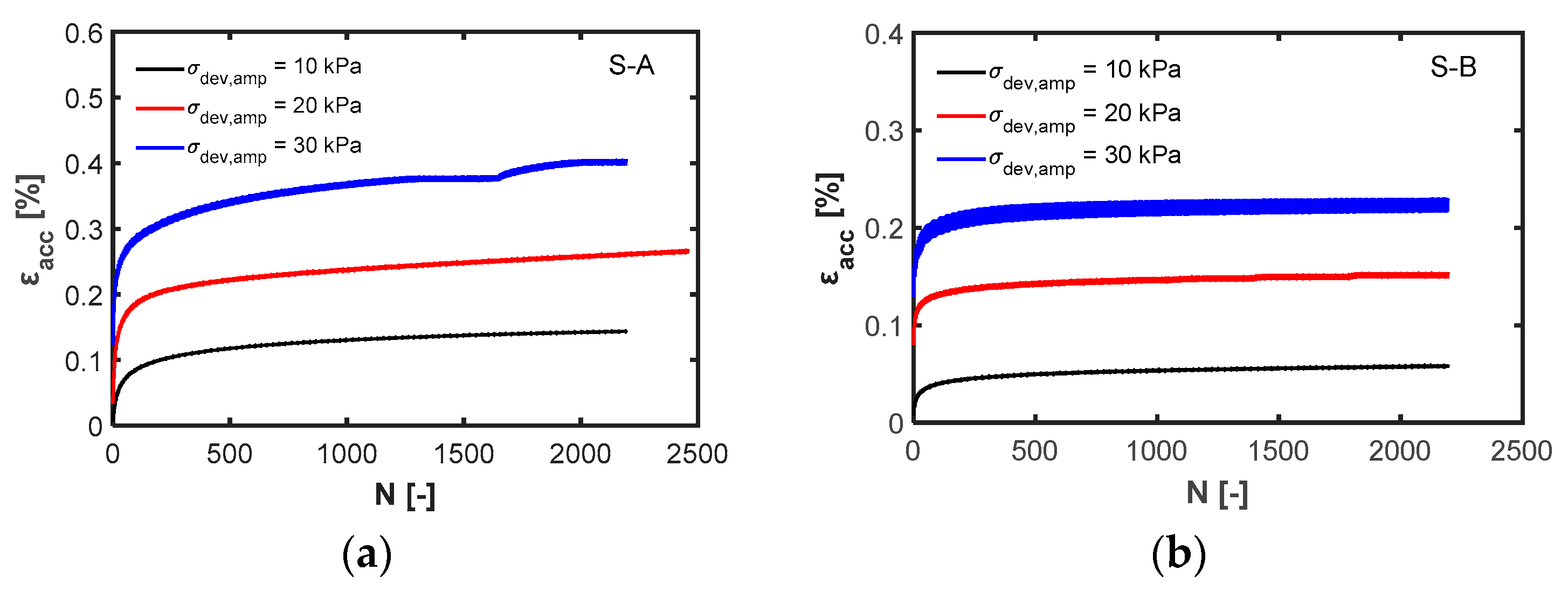
3.2. Cyclic Loading Results at Different Deviatoric Stress Amplitudes
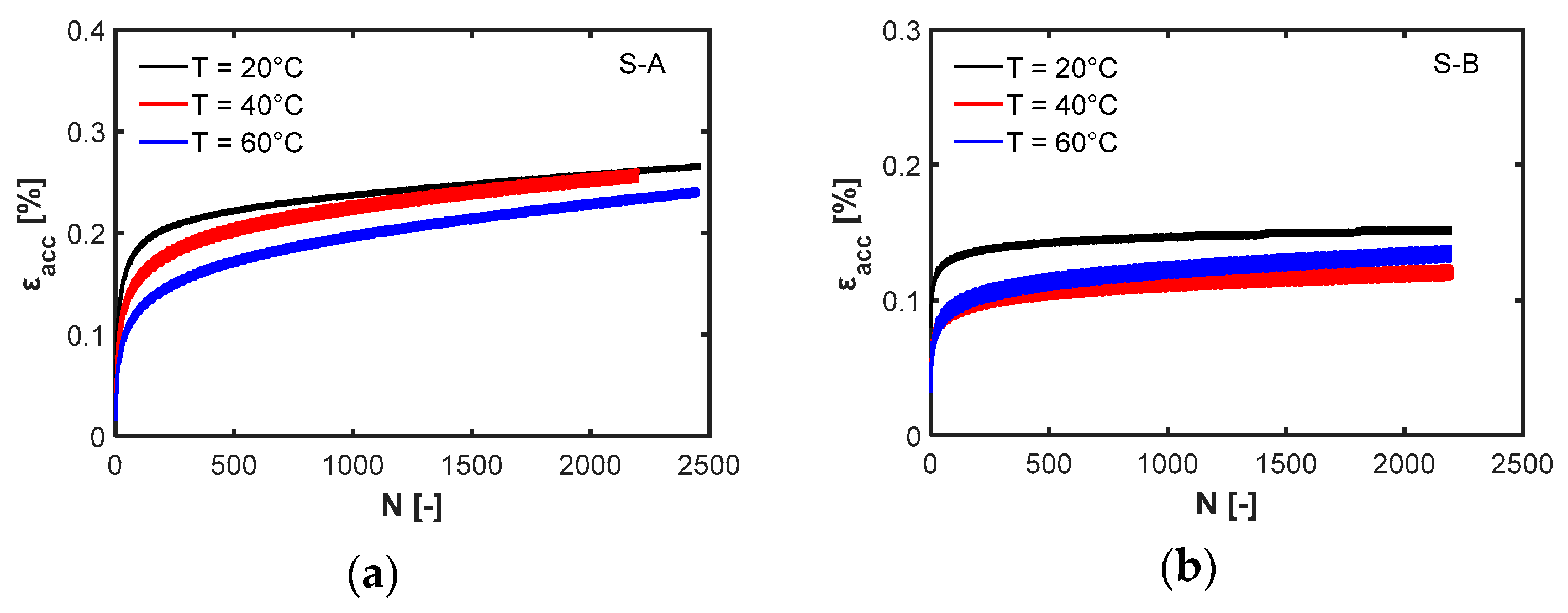
3.3. Cyclic Loading Results at Different Temperatures
4. Conclusions
Author Contributions
Funding
Acknowledgments
Conflicts of Interest
References
- Laing, D.; Steinmann, W.-D.; Tamme, R.; Richter, C. Solid media thermal storage for parabolic trough power plants. Sol. Energy 2006, 80, 1283–1289. [Google Scholar] [CrossRef]
- Bauer, D.; Marx, R.; Nußbicker-Lux, J.; Ochs, F.; Heidemann, W.; Müller-Steinhagen, H. German central solar heating plants with seasonal heat storage. Sol. Energy 2010, 84, 612–623. [Google Scholar] [CrossRef]
- Marx, R.; Nußbicker-Lux, J.; Bauer, D.; Heidemann, W.; Drück, H. Saisonale Wärmespeicher—Bauarten, Betriebsweise und Anwendungen. Chem. Ing. Tech. 2011, 83, 1994–2001. [Google Scholar] [CrossRef]
- Laing, D.; Bahl, C.; Bauer, T.; Fiss, M.; Breidenbach, N.; Hempel, M. High-temperature solid-media thermal energy storage for solar thermal power plants. Proc. IEEE 2012, 100, 516–524. [Google Scholar] [CrossRef]
- Sibbitt, B.; McClenahan, D.; Djebbar, R.; Thornton, J.; Wong, B.; Carriere, J.; Kokko, J. The performance of a high solar fraction seasonal storage district heating system - five years of operation. Energy Procedia 2012, 30, 856–865. [Google Scholar] [CrossRef]
- Başer, T.; McCartney, J.S. Transient evaluation of a soil-borehole thermal energy storage system. Renew. Energy 2020, 147, 2582–2598. [Google Scholar] [CrossRef]
- Skarphagen, H.; Banks, D.; Frengstad, B.S.; Gether, H. Design considerations for borehole thermal energy storage (BTES): A review with emphasis on convective heat transfer. Geofluids 2019, 4961781, 1–26. [Google Scholar] [CrossRef]
- Cui, Y.J.; Sultan, N.; Delage, P. A thermomechanical model for saturated clays. Can. Geotech. J. 2000, 37, 607–620. [Google Scholar] [CrossRef]
- Burghignoli, A.; Desideri, A.; Miliziano, S. A laboratory study on the thermomechanical behaviour of clayey soils. Can. Geotech. J. 2000, 37, 764–780. [Google Scholar] [CrossRef]
- Abuel-Naga, H.M.; Bergado, D.T.; Lim, B.F. Effect of temperature on shear strength and yielding behavior of soft Bangkok clay. Soils Found. 2007, 47, 423–436. [Google Scholar] [CrossRef]
- Hueckel, T.; François, B.; Laloui, L. Explaining thermal failure in saturated clays. Géotechnique 2009, 59, 197–212. [Google Scholar] [CrossRef]
- Uchaipichat, A.; Khalili, N. Experimental investigation of thermo-hydro-mechanical behaviour of an unsaturated silt. Géotechnique 2009, 59, 339–353. [Google Scholar] [CrossRef]
- Hailemariam, H.; Schwindrofska, D.; Wuttke, F. Mechanical stability of cemented porous heat storage media. In Geotechnical Engineering in the XXI Century: Lessons learned and future challenges, Proceedings of the XVI Pan American Conference on Soil Mechanics and Geotechnical Engineering, Cancún, Mexico, 17–20 November 2019; López-Acosta, N.P., Martínez-Hernández, E., Espinosa-Santiago, A.L., Mendoza-Promotor, J.A., Ossa López, A., Eds.; IOS Press: Amsterdam, The Netherlands, 2019; pp. 2867–2872. [Google Scholar]
- Sawicki, A.; Swidzinski, W. Mechanics of a sandy subsoil subjected to cyclic loadings. Int. J. Numer. Anal. Methods Geomech. 1989, 13, 511–529. [Google Scholar] [CrossRef]
- Zienkiewicz, O.C.; Chang, C.T.; Hinton, E. Non-linear seismic response and liquefaction. Int. J. Numer. Anal. Methods Geomech. 1978, 2, 381–404. [Google Scholar] [CrossRef]
- Finn, W.D.L. Dynamic response analyses of saturated sands. In Soil Mechanics–Transient and Cyclic Loads; Zienkiewicz, O.C., Ed.; Wiley: New York, NY, USA, 1982. [Google Scholar]
- Ni, J.; Indraratna, B.; Geng, X.-Y.; Carter, J.P.; Chen, Y.-L. Model of soft soils under cyclic loading. Int. J. Geomech. 2014, 04014067, 1–10. [Google Scholar] [CrossRef]
- Khasawneh, Y.; Bobet, A.; Frosch, R. A simple soil model for low frequency cyclic loading. Comput. Geotech. 2017, 84, 225–237. [Google Scholar] [CrossRef]
- Vucetic, M. Cyclic threshold shear strains in soils. J. Geotech. Eng. ASCE 1994, 120, 2208–2228. [Google Scholar] [CrossRef]
- Hsu, C.C.; Vucetic, M. Threshold shear strain for cyclic pore-water pressure in cohesive soils. J. Geotech. Geoenvironmental Eng. ASCE 2006, 132, 1325–1335. [Google Scholar] [CrossRef]
- Ichii, K.; Mikami, T. Cyclic threshold shear strain in pore water pressure generation in clay in situ samples. Soils Found. 2018, 58, 756–765. [Google Scholar] [CrossRef]
- Lentz, R.W.; Baladi, G.Y. Simplified procedure to characterize permanent strain in sand subjected to cyclic loading. In International Symposium on Soils under Cyclic and Transient Loading, Swansea, UK, 7–11 January 1980; Balkema: Rotterdam, The Netherlands, 1980; pp. 89–95. [Google Scholar]
- Suiker, A.S.G. Static and Cyclic Loading Experiments on Non Cohesive Granular Materials; Report No. 1-99-DUT-1; TU Delft: Mekelweg, The Netherlands, 1999. [Google Scholar]
- Duku, P.M.; Stewart, J.P.; Whang, D.H.; Yee, E. Volumetric strains of clean sands subject to cyclic loads. J. Geotech. Geoenviron. Eng. ASCE 2008, 134, 1073–1085. [Google Scholar] [CrossRef]
- Tatsuoka, F.; Toki, S.; Miura, S.; Kato, H.; Okamoto, M.; Yamada, S.-I.; Yasuda, S.; Tanizawa, F. Some factors affecting cyclic undrained triaxial strength of sand. Soils Found. 1986, 26, 99–116. [Google Scholar] [CrossRef]
- Doughty, C.; Nir, A.; Tsang, C.F.; Bodvarsson, G.S. Heat storage in unsaturated soils: Initial theoretical analysis of storage design and operational method. In Proceedings of the International Conference on Subsurface Heat Storage in Theory and Practice, Stockholm, Sweden, 6–8 June 1983; pp. 518–523. [Google Scholar]
- Hart, G.K.; Whiddon, W.I. Ground Source Heat Pump Planning Workshop; Summary of Proceedings Electric Power Research Institute: Palo Alto, CA, USA, 1984; Volume 2033, p. 12. [Google Scholar]
- American Society for Testing and Materials. Soil and Rock (I); ASTM International: West Conshohocken, PA, USA, 2011; ASTM D420-D5876. [Google Scholar]
- American Society for Testing and Materials. Standard Test Method for Determination of Thermal Conductivity of Soil and Soft Rock by Thermal Needle Probe Procedure; ASTM International: West Conshohocken, PA, USA, 2008; ASTM D 5334-08. [Google Scholar]
- Institute of Electrical and Electronics Engineers. IEEE Guide for Soil Thermal Resistivity Measurements; Institute of Electrical and Electronics Engineers: New York, NY, USA, 1981; IEEE 442. [Google Scholar]
- Carslaw, H.S.; Jaeger, J.C. Conduction of Heat in Solids, 2nd ed.; Oxford: London, UK, 1959. [Google Scholar]
- Kluitenberg, G.J.; Ham, M.; Bristow, K.L. Error analysis of the heat pulse method for measuring soil volumetric heat capacity. Soil Sci. Soc. Am. J. 1993, 57, 1444–1451. [Google Scholar] [CrossRef]
- Peralta, P.K. Investigations on the Behavior of Large Diameter Piles under Long-Term Lateral Cyclic Loading in Cohesionless Soil. Ph.D. Thesis, Leibnitz Universität Hannover, Hannover, Germany, 2010. [Google Scholar]
- Shajarati, A.; Sørensen, K.W.; Nielsen, S.K.; Ibsen, L.B. Behaviour of cohesionless soils during cyclic loading. In DCE Technical Memorandum, No. 14; Department of Civil Engineering, Aalborg University: Aalborg, Denmark, 2012. [Google Scholar]
- Goldscheider, M. Shakedown and incremental collapse of structures in dry sand bodies. In Proceedings of the Dynamical Methods in Soil and Rock Mechanics, Plastic and Long-Term Effects in Soils 2, Karlsruhe, Germany, 5–16 September 1977; Gudehus, G., Ed.; Balkema: Rotterdam, The Netherlands, 1978; Volume 2 of 3. [Google Scholar]












| Properties | Sand A | Sand B |
|---|---|---|
| Gravel, >2 mm (wt.%) | 2.65 | 21.33 |
| Sand, 0.063–2 mm (wt.%) | 95.6 | 78.61 |
| Silt and clay, <0.063 mm (wt.%) | 1.75 | 0.06 |
| Porosity n (-) | 0.33 | 0.36 |
| Solids specific gravity Gs (-) | 2.68 | 2.67 |
| Dry density ρd (kg m−3) | 1790 | 1700 |
| Grain diameter at 10% passing D10 (mm) | 0.12 | 0.60 |
| Grain diameter at 50% passing D50 (mm) | 0.33 | 1.20 |
| Coefficient of uniformity Cu (-) | 3.33 | 2.17 |
| Coefficient of curvature Cc (-) | 1.30 | 1.28 |
| Dry effective thermal conductivity λdry (W m−1 K−1) 1 | 0.309 | 0.295 |
| Saturated eff. thermal conductivity λsat (W m−1 K−1) 1 | 2.188 | 2.054 |
| Dry effective specific heat capacity cdry (M J m−3 K−1) 1 | 1.355 | 1.269 |
| Saturated eff. specific heat capacity csat (M J m−3 K−1) 1 | 2.094 | 2.553 |
| Unified soil classification system (USCS) | SP 2 | SP 2 |
© 2020 by the authors. Licensee MDPI, Basel, Switzerland. This article is an open access article distributed under the terms and conditions of the Creative Commons Attribution (CC BY) license (http://creativecommons.org/licenses/by/4.0/).
Share and Cite
Hailemariam, H.; Wuttke, F. Cyclic Mechanical Behavior of Two Sandy Soils Used as Heat Storage Media. Energies 2020, 13, 3835. https://doi.org/10.3390/en13153835
Hailemariam H, Wuttke F. Cyclic Mechanical Behavior of Two Sandy Soils Used as Heat Storage Media. Energies. 2020; 13(15):3835. https://doi.org/10.3390/en13153835
Chicago/Turabian StyleHailemariam, Henok, and Frank Wuttke. 2020. "Cyclic Mechanical Behavior of Two Sandy Soils Used as Heat Storage Media" Energies 13, no. 15: 3835. https://doi.org/10.3390/en13153835
APA StyleHailemariam, H., & Wuttke, F. (2020). Cyclic Mechanical Behavior of Two Sandy Soils Used as Heat Storage Media. Energies, 13(15), 3835. https://doi.org/10.3390/en13153835
