Extending the Application of the Smart Readiness Indicator—A Methodology for the Quantitative Assessment of the Load Shifting Potential of Smart Districts
Abstract
1. Introduction
2. Background
2.1. Regulative Background and Current Developments on the SRI
2.2. Smart Districts
2.3. The Potential of Load Shifting in Buildings for the Integration of RES
3. Methodology
“What is the potential of the district to take energy from the grid, store it over a certain period of time and again dispatch it back to the grid? What are the potential CO2 emission savings associated with the load shifting potential of the district?”
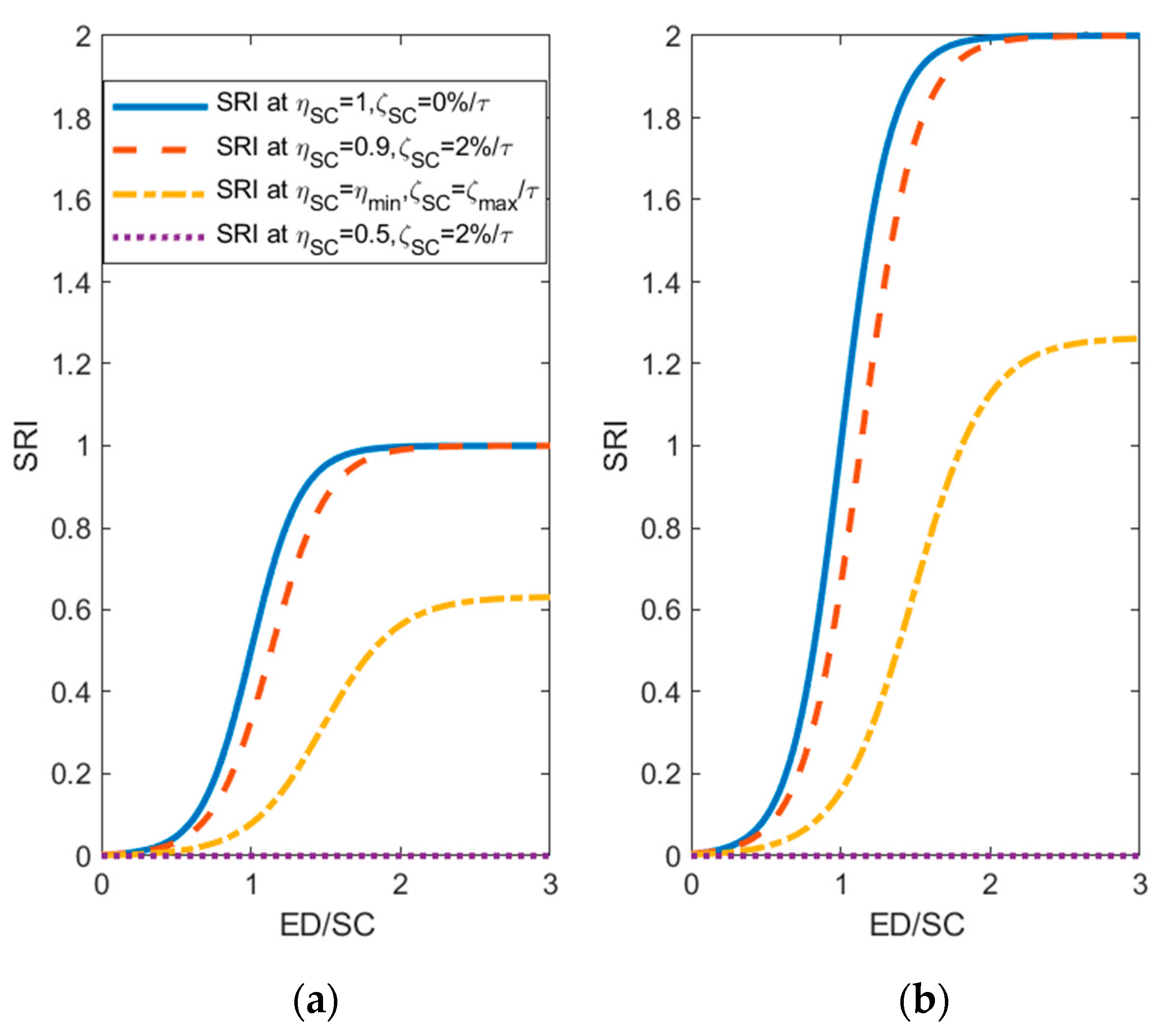
3.1. Adaptation of the Previously Published Methodology
- AF: Attenuation Factor to regulate the SRI related to storage efficiency.
- : Definition of the required minimal efficiency of the storage system. Substitute for the definition: with the minimal required efficiency factor and the maximal required losses.
- Λ: Definition point of the minimal efficiency . At this point the Attenuation Factor (AF) is always 0.63.
- k: defines how fast the SRI veers with a low efficiency towards 0. With a low k the SRI is slowly reduced. With a high k the AF (SRI will be cut off) is rapidly reduced with minimal efficiency from 1 to 0.
- EP: Energy Performance, i.e., the efficiency of the system .
3.2. Enlargement to the District Scale
- N
- Number of buildings
- EDi
- Energy demand of the building i per energy source for the selected time period τ.
- SRIi
- SRI for the building i.
- EDDist
- Energy demand for the whole district.
- SRIDist
- SRI for the whole district.
- SP
- Storage potential of the building (Relationship of SC/ED; dimensionless).
- LPDist
- Load shift potential for the whole district.
- Bi
- Building i.
- SPi
- Storage potential for building i.
- EDi
- Energy demand for building i.
- N
- Number of Buildings.
- Step 1: At this first step the level of the individual i-number of building includes the data from the energy performance certificate.
- Step 2: At this second step, the SRI has been calculated for the i-number of buildings with the interaction between the energy grid and the building considered separately at this point.
- Step 3: In the third step an a-priori assessment of the storage potential is created from the SRI, which is based on the storage capacity (SC) and energy demand (ED) of the i-number of buildings. At this step the proportion of the storage potential (SP) of the building that is available for a load shifting for the grid is calculated. A building that cannot feed any energy back into the grid is related to a low SP. Thus, a building that cannot shift loads bi-directionally has to consume the stored energy itself, which is less beneficial to the network.
- Step 4: In this fourth step, the product of the storage potential (SP) and energy demand (ED) over all buildings within the district delivers an a priori assessment of the load shifting potential (LPDist) for a whole district.
3.3. Approximation of CO2 Savings Potential
- CO2Curr
- Actual CO2 emissions per kWh.
- CO2renew
- CO2 emissions per kWh from renewable energy sources.
- CO2a
- Potential total CO2 savings per year.
4. Application of the Methodology in Theoretical District Use Case
4.1. Description of Theorectical District Use Case
- Base Case: For the base case the buildings have been assessed according to the generic data as outlined above. For this case it is assumed that the buildings cannot store, actively load or unload energy to and from the grid. The activity coefficient (AC) is subsequently assumed to be either not available (n/a) in case of e.g., a thermal energy network or (0) where there is no active interaction with the grid, e.g., relating to power or gas.
- Scenario 1: For the first new scenario, a moderate refurbishment of the building envelope is assumed with a 50% improvement compared to the base case. In addition, the gas connection is substituted with a one-directional thermal grid connection and electrical batteries are considered for residential as well as office buildings.
- Scenario 2: In this scenario, the building shell is improved by 90% compared to the base case, thus a high-performance building shell has been implemented. Similar to scenario 1, the gas connection has been severed and the buildings are connected to a low temperature bi-directional district heating system. RES and batteries are included in all buildings.
- Scenario 3: For this scenario the district is doubled in size (18 buildings compared to 9 buildings of the above scenarios) and constitutes a mix of the Base Case and Scenario 1. It is assumed that half of the buildings remain as described in the base case (i.e., un-refurbished) and the other half is considered with a moderate refurbishment as described in Scenario 1.
- Scenario 4: In this scenario, the district is tripled in size (27 buildings) and constitutes a mix of the Base Case, Scenario 1 and Scenario 2. It is assumed that one third of the buildings remains as described in the base case (i.e., un-refurbished), one third is refurbished and follows the characteristics of Scenario 1 and the remaining third follows Scenario 2.
4.2. Results of Theoretical District Use Case
5. Discussion
6. Conclusions
Supplementary Materials
Supplementary File 1Author Contributions
Funding
Acknowledgments
Conflicts of Interest
References
- European Commission. The European Green Deal; COM (2019) 640 Final; European Commission: Brussels, Belgium, 2019. [Google Scholar]
- European Climate Law. Available online: https://ec.europa.eu/clima/policies/eu-climate-action/law_en (accessed on 14 April 2020).
- World Business Council for Sustainable Development (WBCSD). Energy Efficiency in Buildings Transforming the Market; WBCSD: Geneva, Switzerland, 2009. [Google Scholar]
- Cao, X.D.; Dai, X.L.; Liu, J.J. Building energy-consumption status worldwide and the state-of-the-art technologies for zero-energy buildings during the past decade. Energy Build. 2016, 128, 198–213. [Google Scholar] [CrossRef]
- European Commission. Technology Assessment; COM (2013) 253 Final; European Commission: Brussels, Belgium, 2013. [Google Scholar]
- Directive 2012/27/EU of the European Parliament and of the Council of 25 October 2012 on Energy Efficiency; L315/1-56; Official Journal of the European Union: Brussels, Belgium, 2012.
- Directive 2009/28/EC of the European Parliament and of the Council of 23 April 2009 on the Promotion of the Use of Energy from Renewable Sources; L140/16-62; Official Journal of the European Union: Brussels, Belgium, 2009.
- Directive 2002/91/EU of the European Parliament and of the Council of 16 December 2002 on the Energy Performance of Buildings; L1/65; Official Journal of the European Union: Brussels, Belgium, 2003.
- Directive (EU) 2018/844 of the European Parliament and of the Council of 30 May 2018 Amending Directive 2010/31/EU on the Energy Performance of Buildings Directive 2012/27/EU on Energy Efficiency; L156/75; Official Journal of the European Union: Brussels, Belgium, 2018.
- Verbeke, S.; Ma, Y.; Van Tichelen, P.; Bogaert, S.; Gómez Oñate, V.; Waide, P.; Bettgenhäuser, K.; Ashok, J.; Hermelink, A.; Offermann, M.; et al. Support. for Setting Up a Smart Readiness Indicator for Buildings and Related Impact Assessment, Final Report; Study Accomplished under the Authority of the European Commission DG Energy 2017/SEB/R/1610684; Vito NV: Mol, Belgium, 2018. [Google Scholar]
- Verbeke, S.; Aerts, D.; Rynders, G.; Ma, Y.; Waide, P. 3rd Interim Report of the 2nd Technical Support. Study on the Smart Readiness Indicator for Buildings; Study Accomplished under the Authority of the European Commission DG Energy ENER/C3/2018-447/06; Vito NV: Mol, Belgium, 2020. [Google Scholar]
- Janhunen, E.; Pulkka, L.; Säynäjoki, A.; Junnila, S. Applicability of the Smart Readiness Indicator for Cold Climate Countries. Buildings 2019, 9, 102. [Google Scholar] [CrossRef]
- Vigna, I.; Pernetti, R.; Pernigotto, G.; Gasparella, A. Analysis of the Building Smart Readiness Indicator Calculation: A Comparative Case-Study with Two Panels of Experts. Energies 2020, 13, 2796. [Google Scholar] [CrossRef]
- Søren Østergaard, J.; Madsen, H.; Lopes, R.; Junker, R.G.; Aelenei, D.; Li, R.; Metzger, S.; Lindberg, K.B.; Marszal, A.J.; Kummert, M.; et al. Annex 67: Energy Flexible Buildings, Energy Flexibility as a Key Asset in a Smart Building Future Contribution of Annex 67 to the European Smart Building Initiative; Position Paper of the IEA Energy in Buildings and Communities Program (EBC) Annex 67 “Energy Flexible Buildings”; IEA: Paris, France, 2017. [Google Scholar]
- Vigna, I.; Pernetti, R.; Pasut, W.; Lollini, R. New domain for promoting energy efficiency: Energy Flexible Building Cluster. Sustain. Cities Soc. 2018, 38, 526–533. [Google Scholar] [CrossRef]
- Märzinger, T.; Österreicher, D. Supporting the Smart Readiness Indicator—A Methodology to Integrate A Quantitative Assessment of the Load Shifting Potential of Smart Buildings. Energies 2019, 12, 22. [Google Scholar] [CrossRef]
- Bott, H.; Grassl, G.C.; Anders, S. Nachhaltige Stadtplanung, Konzepte für nachhaltige Quartiere; Detail: München, Germany, 2013; ISBN 978-3955531935. [Google Scholar]
- Concerted Action Energy Performance of Buildings Directive. Available online: https://epbd-ca.eu (accessed on 14 April 2020).
- Fokaides, P.A.; Polycarpou, K.; Kalogirou, S. The impact of the implementation of the European Energy Performance of Buildings Directive on the European building stock: The case of the Cyprus Land Development Corporation. Energy Policy 2017, 111, 1–8. [Google Scholar] [CrossRef]
- Lopez-Ochoa, L.M.; Las-Heras-Casas, J.; Lopez-Gonzalez, L.M.; Olasolo-Alonso, P. Towards nearly zero-energy buildings in Mediterranean countries: Energy Performance of Buildings Directive evolution and the energy rehabilitation challenge in the Spanish residential sector. Energy 2019, 176, 335–352. [Google Scholar] [CrossRef]
- Brunsgaard, C.; Dvorakova, P.; Wyckmans, A.; Stutterecker, W.; Laskari, M.; Almeida, M.; Kabele, K.; Magyar, Z.; Bartkiewicz, P.; Op’t Veld, P. Integrated energy design—Education and training in cross-disciplinary teams implementing energy performance of buildings directive (EPBD). Build. Environ. 2014, 72, 1–14. [Google Scholar] [CrossRef]
- Li, Y.; Kubicki, S.; Guerriero, A.; Rezgui, Y. Review of building energy performance certification schemes towards future improvement. Renew. Sustain. Energy Rev. 2019, 113, 13. [Google Scholar] [CrossRef]
- Wigginton, M.; Harris, J. Intelligent Skins; Butterworth-Heinemann: Oxford, UK, 2002. [Google Scholar]
- Omar, O. Intelligent building, definitions, factors and evaluation criteria of selection. Alex. Eng. J. 2018, 57, 2903–2910. [Google Scholar] [CrossRef]
- Österreicher, D. Methodology towards integrated refurbishment actions in school buildings; Special Issue: Addressing Sustainable Building Refurbishment: A Journey through Energy Optimization and Structural Retrofit. Buildings 2018, 8, 42. [Google Scholar] [CrossRef]
- Conci, M.; Schneider, J. A District Approach to Building Renovation for the Integral Energy Redevelopment of Existing Residential Areas. Sustainability 2017, 9, 747. [Google Scholar] [CrossRef]
- Apanaviciene, R.; Vanagas, A.; Fokaides, P.A. Smart Building Integration into a Smart City (SBISC): Development of a New Evaluation Framework. Energies 2020, 13, 2190. [Google Scholar] [CrossRef]
- Building Intelligence Quotient. Available online: http://www.building-iq.com/biq/index.html (accessed on 30 May 2020).
- Honeywell and Ernst & Young LLP. Smart Buildings Make Smart Cities; Honeywell Smart Building Score; Green. Safe. Productive; Honeywell International Inc.: Gurgaon, India; Available online: http://smartbuildings.honeywell.com/hsbs_home (accessed on 30 May 2020).
- Mattoni, B.; Nardecchia, F.; Bisegna, F. Towards the development of a smart district: The application of an holistic planning approach. Sustain. Cities Soc. 2019, 48, 17. [Google Scholar] [CrossRef]
- CityCalc. Available online: http://citycalc.com (accessed on 19 April 2020).
- Smutny, R.; Österreicher, D.; Sattler, S.; Treberspurg, M.; Battisti, K.; Gratzl, M.; Rainer, E.; Staller, H. Low-tech solution for Smart Cities—Optimization tool CityCalc for solar urban design. In Proceedings of the International Conference on Urban Planning and Regional Development in the Information Society GeoMultimedia, Hamburg, Germany, 22–24 June 2016; Schrenk, M., Popovich, V., Zeile, P., Elisei, P., Beyer, C., Eds.; Real Corp 2016 Proceedings: Hamburg, Germany, 2016; ISBN 978-3-9504173-0-2. [Google Scholar]
- City Energy Analyst. Available online: https://cityenergyanalyst.com (accessed on 19 April 2020).
- Fonseca, J.A.; Schlueter, A. Integrated model for characterization of spatiotemporal building energy consumption patterns in neighborhoods and city districts. Appl. Energy 2015, 142, 247–265. [Google Scholar] [CrossRef]
- Fonseca, J.A.; Nguyen, T.A.; Schlueter, A.; Marechal, F. City Energy Analyst (CEA): Integrated framework for analysis and optimization of building energy systems in neighborhoods and city districts. Energy Build. 2016, 113, 202–226. [Google Scholar] [CrossRef]
- Eicker, U.; Weiler, V.; Schumacher, J.; Braun, R. On the design of an urban data and modeling platform and its application to urban district analyses. Energy Build. 2020, 217, 19. [Google Scholar] [CrossRef]
- Ferrari, S.; Zagarella, F.; Caputo, P.; Bonomolo, M. Assessment of tools for urban energy planning. Energy 2019, 176, 544–551. [Google Scholar] [CrossRef]
- IEA EBC Annex 75—Cost-Effective Building Renovation at District Level Combining Energy Efficiency & Renewables. Available online: http://annex75.iea-ebc.org (accessed on 19 April 2020).
- Rifkin, J. The Green New Deal: Why the Fossil Fuel Civilization Will Collapse by 2028, and the Bold Economic Plan. to Save Life on Earth; St. Martins Press: New York, NY, USA, 2019; ISBN 978-1250253200. [Google Scholar]
- Aichele, C.; Doleski, O.D. Smart Market—Vom Smart Grid zum intelligenten Energiemarkt; Springer Vieweg: Wiesbaden, Germany, 2014. [Google Scholar] [CrossRef]
- Darivianakis, G.; Georghiou, A.; Smith, R.S.; Lygeros, J. The Power of Diversity: Data-Driven Robust Predictive Control for Energy-Efficient Buildings and Districts. IEEE Trans. Control Syst. Technol. 2019, 27, 132–145. [Google Scholar] [CrossRef]
- Hakimi, S.M.; Hasankhani, A.; Shafie-khah, M.; Catalão, J.P.S. Demand response method for smart microgrids considering high renewable energies penetration. Sustain. Energy Grids Netw. 2020, 21, 100325. [Google Scholar] [CrossRef]
- De Paola, A.; Angeli, D.; Strbac, G. Distributed Control of Micro-Storage Devices with Mean Field Games. IEEE Trans. Smart Grid 2015. [Google Scholar] [CrossRef]
- Zhang, C.; Wu, J.; Zhou, Y.; Cheng, M.; Long, C. Peer-to-Peer energy trading in a Microgrid. Appl. Energy 2018, 220, 1–12. [Google Scholar] [CrossRef]
- Fleiter, T.; Steinbach, J.; Ragwitz, M.; Arens, M.; Aydemir, A.; Elsland, R.; Fleiter, T.; Frassine, C.; Herbst, A.; Hirzel, S.; et al. Mapping and Analyses of the Current and Future (2020–2030) Heating/Cooling Fuel Deployment (Fossil/Renewables); European Commission Directorate-General for Energy: Brussels, Belgium; Luxembourg, 2016; Available online: https://ec.europa.eu/energy/sites/ener/files/documents/mapping-hc-excecutivesummary.pdf (accessed on 27 April 2020).
- Loibl, W.; Stollnberger, R.; Österreicher, D. Residential Heat Supply by Waste-Heat Re-Use: Sources, Supply Potential and Demand Coverage-A Case Study. Sustainability 2017, 9, 250. [Google Scholar] [CrossRef]
- Lichtenwoehrer, P.; Erker, S.; Zach, F.; Stoeglehner, G. Future compatibility of district heating in urban areas—A case study analysis in the context of integrated spatial and energy planning. Energy Sustain. Soc. 2019, 9, 12. [Google Scholar] [CrossRef]
- Huang, P.; Copertaro, B.; Zhang, X.X.; Shen, J.C.; Lofgren, I.; Ronnelid, M.; Fahlen, J.; Andersson, D.; Svanfeldt, M. A review of data centers as prosumers in district energy systems: Renewable energy integration and waste heat reuse for district heating. Appl. Energy 2020, 258, 20. [Google Scholar] [CrossRef]
- Brand, L.; Calven, A.; Englund, J.; Landersjo, H.; Lauenburg, P. Smart district heating networks—A simulation study of prosumers’ impact on technical parameters in distribution networks. Appl. Energy 2014, 129, 39–48. [Google Scholar] [CrossRef]
- Lichtenegger, K.; Wöss Halmdienst, C.; Höftberger, E.; Schmidl, C.; Pröll, T. Intelligent heat networks: First results of an energy information-cost-model. SEGAN 2017, 11, 1–12. [Google Scholar] [CrossRef]
- Lichtenegger, K.; Leitner, A.; Märzinger, T.; Mair, C.; Moser, A.; Wöss, D.; Schmidl, C.; Pröll, T. Decentralized heating grid operation: A comparison of centralized and agent-based optimization. Sustain. Energy Grids Netw. 2020, 21, 100300. [Google Scholar] [CrossRef]
- Kilkis, S. Energy system analysis of a pilot net-zero exergy district. Energy Convers. Manag. 2014, 87, 1077–1092. [Google Scholar] [CrossRef]
- Bischi, A.; Taccari, L.; Martelli, E.; Amaldi, E.; Manzolini, G.; Silva, P.; Campanari, S.; Macchi, E. A detailed MILP optimization model for combined cooling, heat and power system operation planning. Energy 2014, 74, 12–26. [Google Scholar] [CrossRef]
- Bracco, S.; Delfino, F.; Ferro, G.; Pagnini, L.; Robba, M.; Rossi, M. Energy planning of sustainable districts: Towards the exploitation of small size intermittent renewables in urban areas. Appl. Energy 2018, 228, 2288–2297. [Google Scholar] [CrossRef]
- Österreicher, D.; Märzinger, T. Assessing the Load Shifting Potential in Buildings—Application of a Methodology for the Smart Readiness Indicator on a Theoretical Use Case in the City of Vienna. In Proceedings of the SBE 19 Malta Sustainable Built Environment; International Conference on Sustainability and Resilience, Valetta, Malta, 21–22 November; ISBN 978-99957-1-613-4 (ebook).
- Available online: https://www.wien.gv.at/flaechenwidmung/public/start.aspx (accessed on 13 April 2020).
- Google Maps. Available online: https://www.google.com/maps/place/Tivoligasse (accessed on 13 April 2020).
- Available online: http://episcope.eu/building-typology/tabula-webtool/ (accessed on 13 April 2020).
- OIB Austrian Institute of Construction Engineering. OIB Guideline 6, Energy Saving and Heat Insulation; OIB-330.6-026/19; Austrian Institute of Construction Engineering: Vienna, Austria, 2019. [Google Scholar]
- Garcia-Ayllon, S.; Miralles, J.L. New Strategies to Improve Governance in Territorial Management: Evolving from “Smart Cities” to “Smart Territories”. Procedia Eng. 2015, 118, 3–11. [Google Scholar] [CrossRef]
- Sharifi, A. A typology of smart city assessment tools and indicator sets. Sustain. Cities Soc. 2020, 53, 15. [Google Scholar] [CrossRef]









| Scenario | No. of Buildings | Building Envelope | Electrical Storage/Grid | Thermal Storage/Grid | Gas Storage/Grid |
|---|---|---|---|---|---|
| Base Case | 9 | Un-refurbished | No active storage; one directional connection | No active storage; no thermal grid | No active storage; one directional connection |
| Scenario 1 | 9 | Improved by 50% | Active storage bi-directional connection | No active storage; one-directional connection (thermal grid) | No connection |
| Scenario 2 | 9 | Improved by 90% | Active storage bi-directional connection | Active storage bi-directional connection (thermal grid) | No connection |
| Scenario 3 | 18 | Half of the district (9 buildings) as per Base Case/other half of the district (9 buildings) as per Scenario 1 | |||
| Scenario 4 | 27 | One third of the district (9 buildings) as per Base Case/one third of the district (9 buildings) as per Scenario 1/one third of the district (9 buildings) as per Scenario 2 | |||
© 2020 by the authors. Licensee MDPI, Basel, Switzerland. This article is an open access article distributed under the terms and conditions of the Creative Commons Attribution (CC BY) license (http://creativecommons.org/licenses/by/4.0/).
Share and Cite
Märzinger, T.; Österreicher, D. Extending the Application of the Smart Readiness Indicator—A Methodology for the Quantitative Assessment of the Load Shifting Potential of Smart Districts. Energies 2020, 13, 3507. https://doi.org/10.3390/en13133507
Märzinger T, Österreicher D. Extending the Application of the Smart Readiness Indicator—A Methodology for the Quantitative Assessment of the Load Shifting Potential of Smart Districts. Energies. 2020; 13(13):3507. https://doi.org/10.3390/en13133507
Chicago/Turabian StyleMärzinger, Thomas, and Doris Österreicher. 2020. "Extending the Application of the Smart Readiness Indicator—A Methodology for the Quantitative Assessment of the Load Shifting Potential of Smart Districts" Energies 13, no. 13: 3507. https://doi.org/10.3390/en13133507
APA StyleMärzinger, T., & Österreicher, D. (2020). Extending the Application of the Smart Readiness Indicator—A Methodology for the Quantitative Assessment of the Load Shifting Potential of Smart Districts. Energies, 13(13), 3507. https://doi.org/10.3390/en13133507

