Designing an AB2-Type Alloy (TiZr-CrMnMo) for the Hybrid Hydrogen Storage Concept
Abstract
1. Introduction
2. Materials and Methods
2.1. Synthesis and Expanded Natural Graphite (ENG) Addition
2.2. Phase, Composition, Microstructural and Morphological Characterizations
2.3. Thermodynamic and Kinetic Characterizations
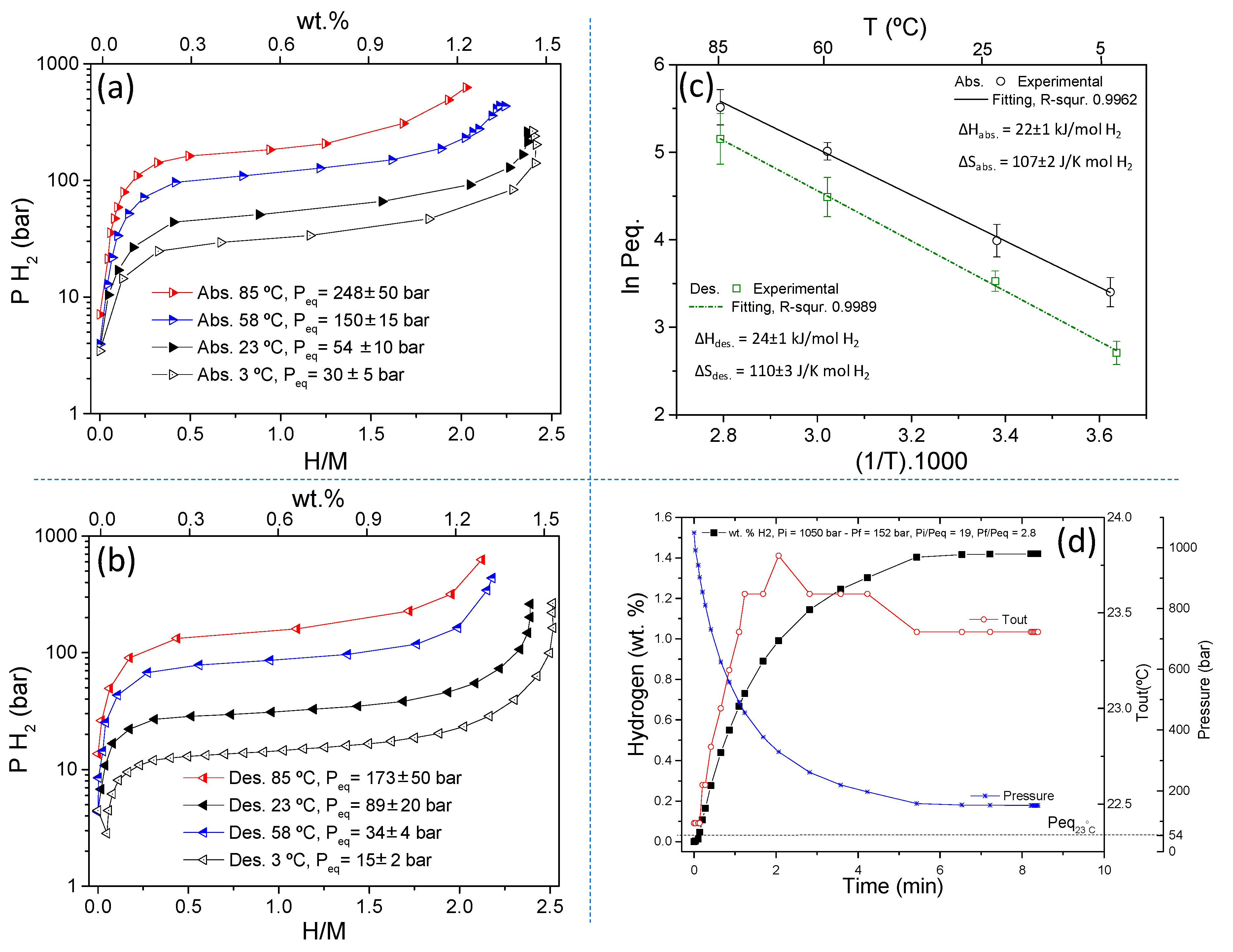
3. Results
3.1. TiZr-CrMnMo Alloy: Synthesis and Hydrogen Storage Properties Under High Pressure
3.2. (Ti0.9Zr0.1)1.25Cr0.85Mn1.1Mo0.05 with 10 wt.% ENG Added: Characterization, Kinetic-Thermal Behavior and Material’s Properties
4. Discussion
4.1. Design of the (Ti0.9Zr0.1)1.25Cr0.85Mn1.1Mo0.05 added 10wt.% ENG Material
4.2. Potential Application of (Ti0.9Zr0.1)0.125Cr0.85Mn1.1Mo0.05 added 10 wt.% ENG Material in a Hybrid Tank
5. Conclusions
Author Contributions
Funding
Acknowledgments
Conflicts of Interest
Appendix A

Appendix B
| Elements | Atomic Fraction (EDX) | A | B/A | A | Elements | Amount | Elements’ Atomic Weight (g) | Amount x Element Weight | Composition of the Alloy |
|---|---|---|---|---|---|---|---|---|---|
| Ti | 0.337 | 0.375 | 1.6 | 1.25 | Ti | 1.250 | 47.86 | 53.8 | (Ti0.9Zr0.1)1.25Cr0.85Mn1.1Mo0.05 |
| Zr | 0.038 | Zr | 0.125 | 91.224 | 11.6 | ||||
| Cr | 0.26 | B | B | Cr | 0.850 | 51.996 | 44.0 | Weigh of the alloy (g/mol) | |
| Mn | 0.342 | 0.615 | 2 | Mn | 1.100 | 54.938 | 61.1 | 174.6 | |
| Mo | 0.013 | Mo | 0.050 | 95.95 | 4.1 |
Appendix C
| N° of Cycle | Cycle Conditions | N° of Cycle | Cycle Conditions |
|---|---|---|---|
| 1 | Abs. 25C, 100 bar/Des. 25C, 11–12 bar | 21 | Abs. 9C, 100 bar/Des. 9C, 1.2–1.5 bar |
| 2 | Abs. 25C, 100 bar/Des. 25C, 11–12 bar | 22 | Abs. 5C, 100 bar/Des. 5C, 1.2–1.5 bar |
| 3 | Abs. 25C, 100 bar/Des. 25C, 11–12 bar | 23 | Abs. 10C, 100 bar/Des. 10C, 1.2–1.5 bar |
| 4 | Abs. 25C, 100 bar/Des. 25C, 11–12 bar | 24 | Abs. 35C, 100 bar/Des. 35C, 1.2–1.5 bar |
| 5 | Abs. 25C, 100 bar/Des. 25C, 11–12 bar | 25 | Abs. 35C, 100 bar/Des. 35C, 1.2–1.5 bar |
| 6 | Abs. 25C, 100 bar/Des. 25C, 11–12 bar | 26 | Abs. 30C, 70 bar/Des. 30C, 1.2–1.5 bar |
| 7 | Abs. 25C, 100 bar/Des. 25C, 11–12 bar | 27 | Abs. 25C, 70 bar/Des. 25C, 1.2–1.5 bar |
| 8 | Abs. 25C, 100 bar/Des. 25C, 11–12 bar | 28 | Abs. 20C, 70 bar/Des. 20C, 1.2–1.5 bar |
| 9 | Abs. 25C, 100 bar/Des. 25C, 11–12 bar | 29 | Abs. 15C, 70 bar/Des. 15C, 1.2–1.5 bar |
| 10 | Abs. 25C, 100 bar/Des. 25C, 11–12 bar | 30 | Abs. 5C, 70 bar/Des. 5C, 1.2–1.5 bar |
| 11 | Abs. 25C, 90 bar/Des. 25C, 1.8–2 bar | 31 | Abs. 5C, 50 bar/Des. 5C, 1.2–1.5 bar |
| 12 | Abs. 25C, 70 bar/Des. 25C, 3.5–4 bar | 32 | Abs. 5C, 50 bar/Des. 5C, 1.2–1.5 bar |
| 13 | Abs. 25C, 80 bar/Des. 25C, 2.5–2.7 bar | 33 | Abs. 10C, 50 bar/Des. 10C, 1.2–1.5 bar |
| 14 | Abs. 25C, 120 bar/Des. 25C, 3–3.5 bar | 34 | Abs. 10C, 90 bar/Des. 10C, 1.2–1.5 bar |
| 15 | Abs. 25C, 140 bar/Des. 25C, 7.53–8 bar | 35 | Abs. 5C, 75 bar/Des. 5C, 1.2–1.5 bar |
| 16 | Abs. 25C, 100 bar/Des. 25C, 15.5–16 bar | 36 | Abs. 15C, 100 bar/Des. 15C, 1.2–1.5 bar |
| 17 | Abs. 25C, 100 bar/Des. 25C, 15.5–16 bar | 37 | Abs. 20C, 130 bar/Des. 20C, 3.3–3.5 bar |
| 18 | Abs. 25C, 100 bar/Des. 25C, 25.5–26 bar | 38 | Abs. 25C, 147 bar/Des. 20C, 2.0–2.1 bar |
| 19 | Abs. 25C, 100 bar/Des. 25C, 1.2–1.5 bar | 39 | Abs. 30C, 160 bar/Des. 30C, 2.0–2.2 bar |
| 20 | Abs. 25C, 100 bar/Des. 25C, 1.2–1.5 bar | 40 | Abs. 30C, 170 bar/Des. 30C, 16–17 bar |
Appendix D
| Density [71] | Value | Molecular Weight [71] | Value | Bulk Modulus [69] | Value |
|---|---|---|---|---|---|
| ρ Ti (g/cm3) | 4.58 | M Ti (g/mol) | 47.86 | B Ti (GPa) | 105.1 |
| ρ Zr (g/cm3) | 6.45 | M Zr (g/mol) | 91.224 | B Zr (GPa) | 83.3 |
| ρ Cr (g/cm3) | 7.25 | M Cr (g/mol) | 51.996 | B Cr (GPa) | 190.1 |
| ρ Mn (g/cm3) | 7.65 | M Mn (g/mol) | 54.938 | B Mn (GPa) | 59.6 |
| ρ Mo (g/cm3) | 10.02 | M Mo (g/mol) | 95.95 | B Mo (GPa) | 272.5 |
| ρ Fe (g/cm3) | 7.874 | M Fe (g/mol) | 55.845 | B Fe (GPa) | 168.3 |
| ρ V (g/cm3) | 6.11 | M V (g/mol) | 50.942 | B V (GPa) | 161.9 |
| ρ La (g/cm3) | 6.162 | M La (g/mol) | 138.91 | B V La (GPa) | 24.3 |
| Atomic Fraction | |||||||||
|---|---|---|---|---|---|---|---|---|---|
| Reference | Composition | Ti | Cr | Mn | - | - | Vo (cm3) | B (GPa) | B/Vo (GPa/cm3) |
| [12] | Ti1.1CrMn | 0.355 | 0.323 | 0.323 | - | - | 1.64 × 10−22 | 116.0 | 7.079 × 1023 |
| [18] | Ti1.02Cr1.2Mn0.2Fe0.6 | Ti | Cr | Mn | Fe | - | - 1.625 × 10−22 | - 142.6 | - 8.775 × 1023 |
| 0.338 | 0.397 | 0.066 | 0.199 | - | |||||
| [21] | (Ti0.85Zr0.15)1.1Cr0.925MnFe0.075 | Ti | Zr | Cr | Mn | Fe | - 1.656 × 10−22 | - 114.1 | - 6.89 × 1023 |
| 0.274 | 0.048 | 0.298 | 0.322 | 0.024 | |||||
| [24] | (Ti0.85Zr0.15)1.1Cr0.9Mo0.1Mn | Ti | Zr | Cr | Mn | Mo | - 1.68 × 10−22 | - 117.4 | - 6.998 × 1023 |
| 0.301 | 0.053 | 0.29 | 0.322 | 0.032 | |||||
| [27] | (Zr0.7Ti0.3)1.04Fe1.8V0.2 | Ti | Zr | Fe | V | - | - 1.723 × 10−22 | - 135.5 | - 7.864 × 1023 |
| 0.239 | 0.103 | 0.592 | 0.066 | - | |||||
| [33] | Ti1.02Cr1.1Mn0.3Fe0.6La0.03 | Ti | Cr | Fe | Mn | La | - 1.6328 × 10−22 | - 135.8 | - 8.317 × 1023 |
| 0.334 | 0.361 | 0.197 | 0.098 | 0.01 | |||||
| [44] | Ti1.02Cr1.0Fe0.75Mn0.25 | Ti | Cr | Fe | Mn | - | - 1.6126 × 10−22 | - 139.0 | - 8.62 × 1023 |
| 0.343 | 0.32 | 0.253 | 0.084 | - | |||||
| This work | (Ti0.9Zr0.1)1.25Cr0.85Mn1.1Mo0.05 | Ti | Zr | Cr | Mn | Mo | - | - | - |
| 0.337 | 0.38 | 0.26 | 0.342 | 0.013 | 1.656 × 10–22 | 116.6 | 7.041 × 1023 | ||
Appendix E
| 298 K, 350 bar | ||
|---|---|---|
| X (Filling Fraction) | kg H2/m3 System | wt.% |
| 0 | 19.4 | 21.1 |
| 0.1 | 24.3 | 4.4 |
| 0.2 | 29.2 | 2.90 |
| 0.3 | 34.2 | 2.33 |
| 0.4 | 39.1 | 2.03 |
| 0.5 | 44.0 | 1.85 |
| 0.6 | 49.0 | 1.72 |
| 0.7 | 53.9 | 1.63 |
| 0.8 | 58.8 | 1.57 |
| 0.9 | 63.8 | 1.51 |
| 1 | 68.7 | 1.47 |

| 25 °C, 250 bar | 25 °C, 350 bar | ||||
|---|---|---|---|---|---|
| x (Filling Fraction) | Kg H2/m3 System | wt.% | x (Filling Fraction) | Kg H2/m3 System | wt.% |
| 0 | 11.6 | 2.69 | 0 | 14.6 | 3.05 |
| 0.1 | 12.8 | 2.39 | 0.1 | 15.7 | 2.71 |
| 0.2 | 14.1 | 2.18 | 0.2 | 16.7 | 2.46 |
| 0.3 | 15.3 | 2.04 | 0.3 | 17.8 | 2.28 |
| 0.4 | 16.5 | 1.93 | 0.4 | 18.9 | 2.14 |
| 0.5 | 17.8 | 1.85 | 0.5 | 19.9 | 2.03 |
| 0.6 | 19.0 | 1.78 | 0.6 | 21.0 | 1.95 |
References
- Chen, B.; Dong, L.; Liu, X.; Shi, G.Y.; Chen, L.; Nakajima, T.; Habib, A. Exploring the possible effect of anthropogenic heat release due to global energy consumption upon global climate: A climate model study. Int. J. Climatol. 2016, 36, 4790–4796. [Google Scholar] [CrossRef]
- REN21. Renewables 2019 Global Status Report; REN21 Secretariat: Paris, France, 2019; ISBN 978-3-9818911-7-1. Available online: http://www.ren21.net/gsr-2019/ (accessed on 26 July 2019).
- OECD/IEA. Global Energy and CO2 Status Report. Available online: https://www.iea.org/geco/ (accessed on 25 May 2019).
- Le Quéré, C.; Andrew, R.M.; Friedlingstein, P.; Sitch, S.; Pongratz, J.; Manning, A.C.; Korsbakken, J.I.; Peters, G.P.; Canadell, J.G.; Jackson, R.B.; et al. Global Carbon Budget 2018 (pre-print). Earth Syst. Sci. Data Discuss. 2018, 1–54. [Google Scholar] [CrossRef]
- Heuser, P.; Grube, T.; Heinrichs, H.; Robinius, M.; Stolten, D. Worldwide Hydrogen Provision Scheme Based on Renewable Energy. 2020, pp. 1–27. Available online: https://www.preprints.org/manuscript/202002.0100/v1 (accessed on 25 April 2020).
- Hobein, B.; Krüger, R. Hydrogen and Fuel Cells; Stolten, D., Ed.; WILEY–VCH: Weinheim, Germany, 2010; pp. 377–393. [Google Scholar]
- Andersson, J.; Grönkvist, S. Large-scale storage of hydrogen. Int. J. Hydrogen Energy 2019, 44, 11901–11919. [Google Scholar] [CrossRef]
- Lototskyy, M.V.; Tolj, I.; Pickering, L.; Sita, C.; Barbir, F.; Yartys, V. The use of metal hydrides in fuel cell applications. Prog. Nat. Sci. Mater. Int. 2017, 27, 3–20. [Google Scholar] [CrossRef]
- Lai, Q.; Sun, Y.; Wang, T.; Modi, P.; Cazorla, C.; Demirci, U.B.; Ares Fernandez, J.R.; Leardini, F.; Aguey-Zinsou, K.F. How to Design Hydrogen Storage Materials? Fundamentals, Synthesis, and Storage Tanks. Adv. Sustain. Syst. 2019, 3, 1–64. [Google Scholar] [CrossRef]
- Bellosta von Colbe, J.; Ares, J.R.; Barale, J.; Baricco, M.; Buckley, C.; Capurso, G.; Gallandat, N.; Grant, D.M.; Guzik, M.N.; Jacob, I.; et al. Application of hydrides in hydrogen storage and compression: Achievements, outlook and perspectives. Int. J. Hydrogen Energy 2019, 44, 7780–7808. [Google Scholar] [CrossRef]
- Matsunaga, T.; Kon, M.; Washio, K.; Shinozawa, T.; Ishikiriyama, M. TiCrVMo alloys with high dissociation pressure for high-pressure MH tank. Int. J. Hydrogen Energy 2009, 34, 1458–1462. [Google Scholar] [CrossRef]
- Sivov, R.B.; Zotov, T.A.; Verbetsky, V.N. Hydrogen sorption properties of ZrFex (1.9 ≤ x ≤ 2.5) alloys. Int. J. Hydrogen Energy 2011, 36, 1355–1358. [Google Scholar] [CrossRef]
- Zotov, T.A.; Sivov, R.B.; Movlaev, E.A.; Mitrokhin, S.V.; Verbetsky, V.N. IMC hydrides with high hydrogen dissociation pressure. J. Alloys Compd. 2011, 509, S839–S843. [Google Scholar] [CrossRef]
- Tsukahara, M. Hydrogenation properties of vanadium-based alloys with large hydrogen storage capacity. Mater. Trans. 2011, 52, 68–72. [Google Scholar] [CrossRef]
- Young, K.; Nei, J.; Huang, B.; Fetcenko, M.A. Studies of off-stoichiometric AB2 metal hydride alloy: Part 2. Hydrogen storage and electrochemical properties. Int. J. Hydrogen Energy 2011, 36, 11146–11154. [Google Scholar] [CrossRef]
- Aoki, M.; Noritake, T.; Ito, A.; Ishikiriyama, M.; Towata, S.I. Improvement of cyclic durability of Ti-Cr-V alloy by Fe substitution. Int. J. Hydrogen Energy 2011, 36, 12329–12332. [Google Scholar] [CrossRef]
- Mitrokhin, S.; Zotov, T.; Movlaev, E.; Verbetsky, V. Hydrogen interaction with intermetallic compounds and alloys at high pressure. J. Alloys Compd. 2013, 580, S90–S93. [Google Scholar] [CrossRef]
- Verbetsky, V.N.; Zotov, T.A.; Movlaev, E.A. Absorption of hydrogen by V-Mo and V-Mo-Ti alloys. Inorg. Mater. Appl. Res. 2014, 5, 70–74. [Google Scholar] [CrossRef]
- Chen, Z.; Xiao, X.; Chen, L.; Fan, X.; Liu, L.; Li, S.; Ge, H.; Wang, Q. Influence of Ti super-stoichiometry on the hydrogen storage properties of Ti1+xCr1.2Mn0.2Fe0.6 (x = 0–0.1) alloys for hybrid hydrogen storage application. J. Alloys Compd. 2014, 585, 307–311. [Google Scholar] [CrossRef]
- Lototskyy, M.V.; Yartys, V.A.; Pollet, B.G.; Bowman, R.C. Metal hydride hydrogen compressors: A review. Int. J. Hydrogen Energy 2014, 39, 5818–5851. [Google Scholar] [CrossRef]
- Bibienne, T.; Bobet, J.L.; Huot, J. Crystal structure and hydrogen storage properties of body centered cubic 52Ti-12V-36Cr alloy doped with Zr7Ni10. J. Alloys Compd. 2014, 607, 251–257. [Google Scholar] [CrossRef]
- Cao, Z.; Ouyang, L.; Wang, H.; Liu, J.; Sun, L.; Zhu, M. Composition design of Ti-Cr-Mn-Fe alloys for hybrid high-pressure metal hydride tanks. J. Alloys Compd. 2015, 639, 452–457. [Google Scholar] [CrossRef]
- Shen, C.C.; Li, H.C. Cyclic hydrogenation stability of γ-hydrides for Ti25V35Cr40 alloys doped with carbon. J. Alloys Compd. 2015, 648, 534–539. [Google Scholar] [CrossRef]
- Jiang, L.; Tu, Y.; Tu, H.; Chen, L. Microstructures and hydrogen storage properties of ZrFe2.05−xVx (x = 0.05–0.20) alloys with high dissociation pressures for hybrid hydrogen storage vessel application. J. Alloys Compd. 2015, 627, 161–165. [Google Scholar] [CrossRef]
- Cao, Z.; Ouyang, L.; Wang, H.; Liu, J.; Sun, D.; Zhang, Q.; Zhu, M. Advanced high-pressure metal hydride fabricated via Ti-Cr-Mn alloys for hybrid tank. Int. J. Hydrogen Energy 2015, 40, 2717–2728. [Google Scholar] [CrossRef]
- Jain, P.; Dixit, V.; Jain, A.; Srivastava, O.N.; Huot, J. Effect of magnesium fluoride on hydrogenation properties of magnesium hydride. Energies 2015, 8, 12546–12556. [Google Scholar] [CrossRef]
- Rönnebro, E.C.E.; Whyatt, G.; Powell, M.; Westman, M.; Zheng, F.; Fang, Z.Z. Metal hydrides for high-temperature power generation. Energies 2015, 8, 8406–8430. [Google Scholar] [CrossRef]
- Cao, Z.; Ouyang, L.; Wang, H.; Liu, J.; Sun, L.; Felderhoff, M.; Zhu, M. Development of Zr-Fe-V alloys for hybrid hydrogen storage system. Int. J. Hydrogen Energy 2016, 41, 11242–11253. [Google Scholar] [CrossRef]
- Lushnikov, S.A.; Movlaev, E.A.; Bobrikov, I.A.; Simkin, V.G.; Verbetsky, V.N. Hydriding of TiMo alloys at high hydrogen pressures. Inorg. Mater. 2016, 52, 1126–1131. [Google Scholar] [CrossRef]
- Ulmer, U.; Dieterich, M.; Pohl, A.; Dittmeyer, R.; Linder, M.; Fichtner, M. Study of the structural, thermodynamic and cyclic effects of vanadium and titanium substitution in laves-phase AB2 hydrogen storage alloys. Int. J. Hydrogen Energy 2017, 42, 20103–20110. [Google Scholar] [CrossRef]
- Takeichi, N.; Senoh, H.; Takeshita, H.T.; Oishi, T.; Tanaka, H.; Kiyobayashi, T.; Kuriyama, N. Hydrogenation properties and structure of Ti-Cr alloy prepared by mechanical grinding. Mater. Sci. Eng. B Solid-State Mater. Adv. Technol. 2004, 108, 100–104. [Google Scholar] [CrossRef]
- Puszkiel, J.; Garroni, S.; Milanese, C.; Gennari, F.; Klassen, T.; Dornheim, M.; Pistidda, C. Tetrahydroborates: Development and potential as hydrogen storage medium. Inorganics 2017, 5, 74. [Google Scholar] [CrossRef]
- Møller, K.T.; Sheppard, D.; Ravnsbæk, D.B.; Buckley, C.E.; Akiba, E.; Li, H.W.; Jensen, T.R. Complex metal hydrides for hydrogen, thermal and electrochemical energy storage. Energies 2017, 10, 1645. [Google Scholar] [CrossRef]
- Yao, Z.; Liu, L.; Xiao, X.; Wang, C.; Jiang, L.; Chen, L. Effect of rare earth doping on the hydrogen storage performance of Ti1.02Cr1.1Mn0.3Fe0.6 alloy for hybrid hydrogen storage application. J. Alloys Compd. 2018, 731, 524–530. [Google Scholar] [CrossRef]
- Bibienne, T.; Gosselin, C.; Bobet, J.L.; Huot, J. Replacement of vanadium by ferrovanadium in a Ti-based Body Centred Cubic (BCC) alloy: Towards a low-cost hydrogen storage material. Appl. Sci. 2018, 8, 1151. [Google Scholar] [CrossRef]
- Li, B.; Li, J.; Shao, H.; Li, W.; Lin, H. Synthesis, morphology, and hydrogen absorption properties of TiVMn and TiCrMn nanoalloys with a FCC structure. Scanning 2018, 2018, 1–10. [Google Scholar] [CrossRef] [PubMed]
- Milanese, C.; Garroni, S.; Gennari, F.; Marini, A.; Klassen, T.; Dornheim, M.; Pistidda, C. Solid state hydrogen storage in alanates and alanate-based compounds: A review. Metals (Basel) 2018, 8, 567. [Google Scholar] [CrossRef]
- Garroni, S.; Santoru, A.; Cao, H.; Dornheim, M.; Klassen, T.; Milanese, C.; Gennari, F.; Pistidda, C. Recent progress and new perspectives on metal amide and imide systems for solid-state hydrogen storage. Energies 2018, 11, 1027. [Google Scholar] [CrossRef]
- Jepsen, J.; Milanese, C.; Puszkiel, J.; Girella, A.; Schiavo, B.; Lozano, G.A.; Capurso, G.; Von Colbe, J.M.B.; Marini, A.; Kabelac, S.; et al. Fundamental material properties of the 2LiBH4-MgH2 reactive hydride composite for hydrogen storage: (I) Thermodynamic and heat transfer properties. Energies 2018, 11, 1081. [Google Scholar] [CrossRef]
- Jepsen, J.; Milanese, C.; Puszkiel, J.; Girella, A.; Schiavo, B.; Lozano, G.A.G.A.; Capurso, G.; Bellosta von Colbe, J.M.; Marini, A.; Kabelac, S.; et al. Fundamental material properties of the 2LiBH4-MgH2 reactive hydride composite for hydrogen storage: (II) Kinetic properties. Energies 2018, 11, 1170. [Google Scholar] [CrossRef]
- Li, J.; Jiang, X.; Li, G.; Li, X. Development of Ti1.02Cr2-x-yFexMny (0.6 ≤ x ≤ 0.75, y = 0.25, 0.3)alloys for high hydrogen pressure metal hydride system. Int. J. Hydrogen Energy 2019, 44, 15087–15099. [Google Scholar] [CrossRef]
- Kandavel, M.; Ramaprabhu, S. Hydriding properties of Ti-substituted non-stoichiometric AB2 alloys. J. Alloys Compd. 2004, 381, 140–150. [Google Scholar] [CrossRef]
- Nyamsi, S.N.; Tolj, I.; Lototskyy, M. Metal hydride beds-phase change materials: Dual mode thermal energy storage for medium-high temperature industrialwaste heat recovery. Energies 2019, 12, 3949. [Google Scholar] [CrossRef]
- Dematteis, E.M.; Baricco, M. Hydrogen desorption in Mg(BH4)2-Ca(BH4)2 system. Energies 2019, 12, 3230. [Google Scholar] [CrossRef]
- Li, J.; Jiang, X.; Li, Z.; Jiang, L.; Li, X. High-pressure hydrogen storage properties of TixCr1—yFeyMn1.0 alloys. Int. J. Energy Res. 2019, 43, 5759–5774. [Google Scholar] [CrossRef]
- Wang, Q.; Dai, X.; Wu, C.; Mao, Y.; Chen, Y.; Cao, X.; Yan, Y.; Wang, Y.; Zhang, H. Lattice defects and micro-strains in V60Ti25Cr3Fe12 alloy and influence on the ab/desorption of hydrogen. J. Alloys Compd. 2020, 830, 154675. [Google Scholar] [CrossRef]
- Puszkiel, J.; Gasnier, A.; Amica, G.; Gennari, F. Tuning LiBH4 for hydrogen storage: Destabilization, additive, and nanoconfinement approaches. Molecules 2020, 25, 163. [Google Scholar] [CrossRef] [PubMed]
- Kojima, Y.; Kawai, Y.; Towata, S.; Matsunaga, T.; Shinozawa, T.; Kimbara, M. Development of metal hydride with high dissociation pressure. J. Alloys Compd. 2006, 419, 256–261. [Google Scholar] [CrossRef]
- Mitrokhin, S.; Zotov, T.; Movlaev, E.; Verbetsky, V. Synthesis and properties of AB5-type hydrides at elevated pressures. J. Alloys Compd. 2007, 446–447, 603–605. [Google Scholar] [CrossRef]
- Shibuya, M.; Nakamura, J.; Akiba, E. Hydrogenation properties and microstructure of Ti-Mn-based alloys for hybrid hydrogen storage vessel. J. Alloys Compd. 2008, 466, 558–562. [Google Scholar] [CrossRef]
- Zotov, T.; Movlaev, E.; Mitrokhin, S.; Verbetsky, V. Interaction in (Ti,Sc)Fe2-H2 and (Zr,Sc)Fe2-H2 systems. J. Alloys Compd. 2008, 459, 220–224. [Google Scholar] [CrossRef]
- Shibuya, M.; Nakamura, J.; Enoki, H.; Akiba, E. High-pressure hydrogenation properties of Ti-V-Mn alloy for hybrid hydrogen storage vessel. J. Alloys Compd. 2009, 475, 543–545. [Google Scholar] [CrossRef]
- Takeichi, N.; Senoh, H.; Yokota, T.; Tsuruta, H.; Hamada, K.; Takeshita, H.T.; Tanaka, H.; Kiyobayashi, T.; Takano, T.; Kuriyama, N. “Hybrid hydrogen storage vessel”, a novel high-pressure hydrogen storage vessel combined with hydrogen storage material. Int. J. Hydrogen Energy 2003, 28, 1121–1129. [Google Scholar] [CrossRef]
- Mori, D.; Hirose, K. Recent challenges of hydrogen storage technologies for fuel cell vehicles. Int. J. Hydrogen Energy 2009, 34, 4569–4574. [Google Scholar] [CrossRef]
- Matsunaga, T.; Shinozawa, T.; Washio, K.; Mori, D.; Ishikikiyama, M. Development of metal hydrides for high pressure mh tank. Mater. Issues Hydrogen Econ. 2009, 144–154. [Google Scholar] [CrossRef]
- Mori, D.; Haraikawa, N.; Kobayashi, N.; Kubo, H.; Toh, K.; Tsuzuki, M.; Shinozawa, T.; Matsunaga, T. High-pressure metal hydride tank for fuel cell vehicles. SAE Tech. 2005, 884, 72–78. [Google Scholar] [CrossRef]
- Chengdu Huarui Industrial Co., Ltd. Available online: https://hrmetal01.en.alibaba.com/?spm=a2700.details.cordpanyb.4.62706069FtdeVg (accessed on 30 April 2020).
- Izumi, F. Rietveld analysis and MEM-based whole-pattern fitting under partial profile relaxation. Rigaku J. 2000, 17, 34–35. [Google Scholar]
- Jepsen, J. Technical and Economic Evaluation of Hydrogen Storage Systems Based on Light Metal Hydrides; HZG Report 2014-2; Helmut-Schmidt-University: Hamburg, Germany, 2014. [Google Scholar]
- Hemmes, H.A.; Driessen, R.G. Thermodynamic properties of hydrogen at pressures up to 1 Mbar and temperatures between 100 and 1000K. J. Phys. C Solid State Phys. 1986, 19, 3571–3585. [Google Scholar] [CrossRef]
- Puszkiel, J.A. Preparation, Study and Optimization of Complex Hydrides for Hydrogen Storage (in Spanish); Universidad Nacional de Cuyo, Instituto Balseiro: San Carlos de Bariloche, Río Negro, Spain, 2012. [Google Scholar]
- Schulz, R.; Huot, J.; Boily, S. Equipment for Gas Titration and Cycling of an Absorbent or Adsorbent Material. Pantent CA2207149A1, 10 February 2009. [Google Scholar]
- Lozano, G.A.; Ranong, C.N.; Bellosta von Colbe, J.M.; Bormann, R.; Hapke, J.; Fieg, G.; Klassen, T.; Dornheim, M. Optimization of hydrogen storage tubular tanks based on light weight hydrides. Int. J. Hydrogen Energy 2012, 37, 2825–2834. [Google Scholar] [CrossRef]
- Sánchez, A.R.; Klein, H.P.; Groll, M. Expanded graphite as heat transfer matrix in metal hydride beds. Int. J. Hydrogen Energy 2003, 28, 515–527. [Google Scholar]
- Heubner, F.; Pohlmann, C.; Mauermann, S.; Kieback, B.; Röntzsch, L. Mechanical stresses originating from metal hydride composites during cyclic hydrogenation. Int. J. Hydrogen Energy 2015, 40, 10123–10130. [Google Scholar] [CrossRef]
- Ge, H.-W.; Wang, X.-H.; Zhang, Y.; Li, H.; Chen, L.-X.; Li, S.-Q.; Yan, M.; Chen, C.-P. Hydrogen storage properties of Ti-Cr-Mn-M (M = V, Fe, Ni, Cu) alloys. J. Funct. Mater. 2009, 40, 420–423. [Google Scholar]
- Standard ISO/DIS 15869.2:2006. Gaseous Hydrogen and Hydrogen Blends—Land Vehicle Fuel Tanks—Part 2: Particular Requirements for Metal Tanks; ISO: Geneva, Switzerland, 2006. [Google Scholar]
- ZAO, Association of Aerospace Engineers. Pionerskay 4 141070 KOROLEV MOSCOW REGION RUSSISCHE FÖDERATION. Available online: https://unitech-mo.ru/eng/university/history/ (accessed on 30 April 2020).
- Lundin, C.E.; Lynch, F.E.; Magee, C.B. A correlation between the interstitial hole sizes in intermetallic compounds and the thermodynamic properties of the hydrides formed from those compounds. J. Less Common Met. 1977, 56, 19–37. [Google Scholar] [CrossRef]
- Beeri, O.; Cohen, D.; Gavra, Z.; Johnson, J.R.; Mintz, M.H. Thermodynamic characterization and statistical thermodynamics of the TiCrMn-H2(D2) system. J. Alloys Compd. 2000, 299, 217–226. [Google Scholar] [CrossRef]
- Pickering, L.; Lototskyy, M.V.; Davids, M.W.; Sita, C.; Linkov, V. Induction melted AB2-Type metal hydrides for hydrogen storage and compression applications. Mater. Today Proc. 2018, 5, 10470–10478. [Google Scholar] [CrossRef]
- Park, J.G.; Jang, H.Y.; Han, S.C.; Lee, P.S.; Lee, J.Y. The thermodynamic properties of Ti-Zr-Cr-Mn Laves phase alloys. J. Alloys Compd. 2001, 325, 293–298. [Google Scholar] [CrossRef]
- Kittel, C. Introduction to Solid State Physics, 7th ed.; John Wiley & Sons: New York, NY, USA, 2020. [Google Scholar]
- Somo, S.; Maponya, M.; Davids, D.; Hato, H.; Lototskyy, L.; Modibane, M. A Comprehensive Review on Hydrogen Absorption Behaviour of Metal Alloys Prepared through Mechanical Alloying. Metals 2020, 10, 562. [Google Scholar] [CrossRef]
- Lototskyy, M.; Yartys, V.A. Comparative analysis of the efficiencies of hydrogen storage systems utilising solid state H storage materials. J. Alloys Compd. 2015, 645, S365–S373. [Google Scholar] [CrossRef]
- U.S. Department of Energy Target Explanation Document: Onboard Hydrogen Storage for Light-Duty Fuel Cell Vehicles. In U.S Drive; 2017; pp. 1–29. Available online: https://www.energy.gov/eere/fuelcells/doe-technical-targets-onboard-hydrogen-storage-light-duty-vehicles (accessed on 30 April 2020).
- Wriedt, H.A.; Oriani, R.A. Effect of tensile and compressive elastic stress on equilibrium hydrogen solubility in a solid. Acta Met. 1970, 18, 753–760. [Google Scholar] [CrossRef]
- Nasako, K.; Ito, Y.; Hiro, N.; Osumi, M. Stress on a reaction vessel by the swelling of a hydrogen absorbing alloy. J. Alloys Compd. 1998, 264, 271–276. [Google Scholar] [CrossRef]
- Davids, M.W.; Lototskyy, M.; Malinowski, M.; van Schalkwyk, D.; Parsons, A.; Pasupathi, S.; Swanepoel, D.; van Niekerk, T. Metal hydride hydrogen storage tank for light fuel cell vehicle. Int. J. Hydrogen Energy 2019, 44, 29263–29272. [Google Scholar] [CrossRef]
- Available online: https://materialsproject.org/#search/materials (accessed on 30 April 2020).
- Zheng, J.; Li, L.; Chen, R.; Xu, P.; Kai, F. High pressure steel storage vessels used in hydrogen refueling station. J. Press. Vessel Technol. 2008, 130, 244–254. [Google Scholar] [CrossRef]
- NIST Reference Fluid Thermodynamic and Transport Properties Database (REFPROP): Version 8.0. Available online: http://www.nist.gov/srd/nist23.htm (accessed on 30 April 2020).









| Reference | Composition | ΔHdes. (kJ/mol H2) | Peq.des. (−30 °C) (bar) 1 | Peq.des. (0 °C) (bar) 1 | wt.% H2 2 | Cycling Stability | Hydro./Dehydro. Times and Conditions |
|---|---|---|---|---|---|---|---|
| [48] | Ti1.1CrMn | 22 | 15.7 | 51.8 | 1.8 | 1000 cycles with 94 % of the initial capacity | Abs. under 330 bar and 23 °C in 60 s/Des. 1 bar and 23 °C in 300 s |
| [19] | Ti1.02Cr1.2Mn0.2Fe0.6 | 16.67 | 53.9 | 133.4 | 1.61 | 10 cycles at 218 bar and −10 °C/No loss of capacity | Abs. under 218 bar and −10 °C in 900 s |
| [21] | (Ti0.85Zr0.15)1.1Cr0.925MnFe0.075 | 25.4 | 2.7 | 10.6 | 1.54 | 50 cycles with no hydrogen lost (shown Des. 0 °C) | Des. 1 bar and at 0 °C in 360 s/Des. 1 bar and at 30 °C in 120 s (Abs. N.A.) |
| [25] | (Ti0.85Zr0.15)1.1Cr0.9Mo0.1Mn | 23.7 | 2.7 | 9.5 | 1.78 | 50 cycles with no hydrogen lost (shown Des. 0 °C) | Des. 1 bar and at 0 °C in 420 s/Des. 1 bar and at 25 °C in 120 s (Abs. N.A.) |
| [28] | (Zr0.7Ti0.3)1.04Fe1.8V0.2 | 23.5 | 3.12 | 11.2 | 1.51 | 200 cycles with stable capacity | Des. 1 bar and at 0 °C in 480 s/Des. 1 bar and at 25 °C in 300 s (Abs. N.A.) |
| [34] | Ti1.02Cr1.1Mn0.3Fe0.6La0.03 | 16.63 | 7.4 | 18 | 1.715 | N.A. | N.A. |
| [45] | Ti1.02Cr1.0Fe0.75Mn0.25 | 19 | 12 | 33 | 1.85 | N.A. | Des. at −40 °C in 180 s (Abs. N.A.) |
| This work | (Ti0.9Zr0.1)1.25Cr0.85Mn1.1Mo0.05 + 10 wt.% ENG3 | 24 | 4 | 14 | 1.5 | 40 cycles with stable capacity (within the error bar) | Abs. 97–100 bar and about 25 °C in 25 s/Des. 11–12 bar about 25 °C in 70 s |
© 2020 by the authors. Licensee MDPI, Basel, Switzerland. This article is an open access article distributed under the terms and conditions of the Creative Commons Attribution (CC BY) license (http://creativecommons.org/licenses/by/4.0/).
Share and Cite
Puszkiel, J.; Bellosta von Colbe, J.M.; Jepsen, J.; Mitrokhin, S.V.; Movlaev, E.; Verbetsky, V.; Klassen, T. Designing an AB2-Type Alloy (TiZr-CrMnMo) for the Hybrid Hydrogen Storage Concept. Energies 2020, 13, 2751. https://doi.org/10.3390/en13112751
Puszkiel J, Bellosta von Colbe JM, Jepsen J, Mitrokhin SV, Movlaev E, Verbetsky V, Klassen T. Designing an AB2-Type Alloy (TiZr-CrMnMo) for the Hybrid Hydrogen Storage Concept. Energies. 2020; 13(11):2751. https://doi.org/10.3390/en13112751
Chicago/Turabian StylePuszkiel, Julián, José M. Bellosta von Colbe, Julian Jepsen, Sergey V. Mitrokhin, Elshad Movlaev, Victor Verbetsky, and Thomas Klassen. 2020. "Designing an AB2-Type Alloy (TiZr-CrMnMo) for the Hybrid Hydrogen Storage Concept" Energies 13, no. 11: 2751. https://doi.org/10.3390/en13112751
APA StylePuszkiel, J., Bellosta von Colbe, J. M., Jepsen, J., Mitrokhin, S. V., Movlaev, E., Verbetsky, V., & Klassen, T. (2020). Designing an AB2-Type Alloy (TiZr-CrMnMo) for the Hybrid Hydrogen Storage Concept. Energies, 13(11), 2751. https://doi.org/10.3390/en13112751

