A Variational Bayesian and Huber-Based Robust Square Root Cubature Kalman Filter for Lithium-Ion Battery State of Charge Estimation
Abstract
:1. Introduction
2. Battery Modeling and Parameter Identification
2.1. Battery Modeling
2.2. OCV–SOC Relationship Determination
- (1)
- First, fully charge the battery and rest for 1 h to finish the process of depolarization. Then the measured terminal voltage is assumed to be the discharge OCV value.
- (2)
- Discharge the battery at a constant current of until of the maximum available capacity is consumed, and measure the OCV after resting for 1 h.
- (3)
- Repeat step (2) until the battery reaches its lower cut-off voltage.
2.3. Online Parameter Identification
2.4. Model Validation
3. Variational Bayesian-Based Adaptive Square Root Cubature Kalman Filter
- Step 1.
- Initialize state and parameter estimation: , , , , .
- Step 2.
- Predict ().
- Step 2.1
- Calculate the cubature pointswhere is the ith column of the weight matrix of the cubature points , is the identity matrix, and n is the dimension of the state vector.
- Step 2.2
- Propagate the cubature points through the process equation and calculate the predicted state values:
- Step 2.3
- Calculate the square root of the covariance of the predicted statewhere represents the QR decomposition of matrix A, which obtains a unitary matrix B and an upper triangular matrix C. We define . is the Cholesky decomposition of . That is, . In addition,
- Step 2.4
- Calculate the parameters of the IW distribution of measurement noise covariancewhere is a scale factor that and B is a matrix that with a reasonable choice for the matrix . is an identity matrix and d is the dimension of the measurement.
- Step 3.
- Update: the update of VB-ASRCKF utilizes an iterate filtering framework.
- Step 3.1
- First set , , , and .
- Step 3.2
- Calculate the cubature points of the predicted state
- Step 3.3
- Propagate the cubature points through the measurement equation and calculate the predicted measurement value
- Step 3.4
- Calculate the covariance of the state and the measurementwhere
- Step 3.5
- For , iterate the following N (N denotes iterated times) steps.
- Step 3.5.1
- Calculate the measurement covariance
- Step 3.5.2
- Calculate the square root of the innovation covariancewhere is the Cholesky decomposition of .
- Step 3.5.3
- Calculate the filter gain
- Step 3.5.4
- Calculate the state estimate and the square root of its covariance
- Step 3.5.5
- Calculate the updated parameter of the IW distribution of measurement noise covariance
- Step 3.6
- Until , set , , , and end for. Then one cycle of the VB-ASRCKF algorithm is finished.
4. Variational Bayesian and Huber-Based Robust Square Root Cubature Kalman Filter
- Step 1.
- Initialize: , , , , .
- Step 2.
- Step 3.
- Update.
- Step 3.1
- Step 3.2
- Set , , , and
- Step 3.3
- For , iterate the following N (N denotes iterated times) steps.
- Step 3.3.1
- Step 3.3.2
- Step 3.3.3
- Step 3.4
- Until , set , , and end for. Then one cycle of the VB-HASRCKF algorithm is finished.
5. Experimental Verification and Analysis
5.1. Experimental Settings
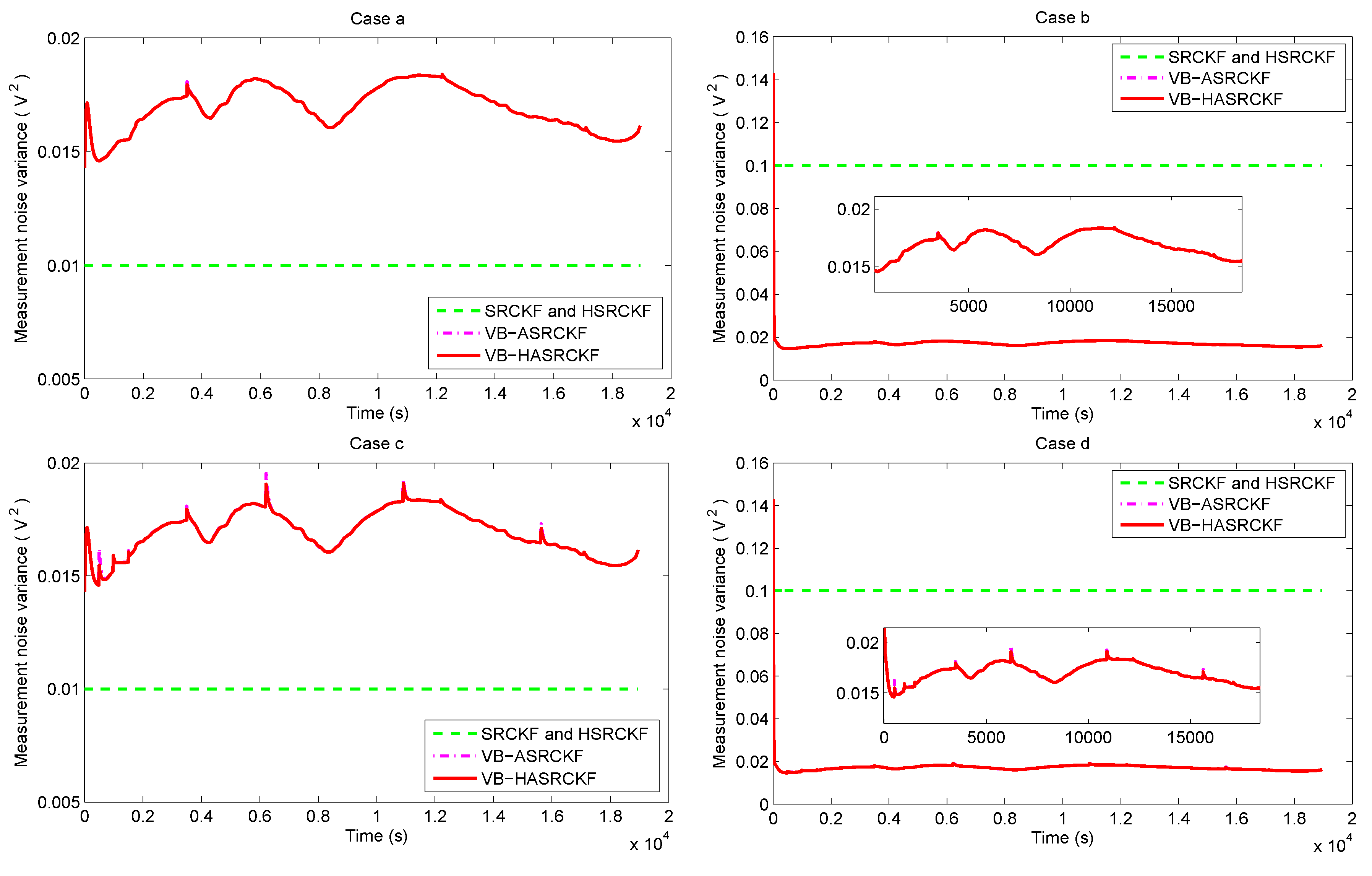
5.2. SOC Estimation Experimental Results under a 1A Constant-Current Discharge Test
5.3. SOC Estimation Experimental Results under UDDS Test
6. Conclusions
Author Contributions
Funding
Conflicts of Interest
Abbreviations
| ACKF | Adaptive Cubature Kalman Filter |
| ALS | Autocovariance Least Squares |
| ASRCKF | Adaptive Square Root Cubature Kalman Filter |
| ANN | Artificial Neural Network |
| BESS | Battery Energy Storage System |
| BMS | Battery Management System |
| CC | Coulomb Counting |
| CE | Coulomb Efficiency |
| CKF | Cubature Kalman Filter |
| ECM | Equivalent Circuit Model |
| EKF | Extended Kalman Filter |
| EV | Electric Vehicle |
| FL | Fuzzy Logic |
| IW | Inverse Wishart |
| KF | Kalman Filter |
| KL | Kullback–Leibler |
| MM | Multiple Model |
| OCV | Open-Circuit Voltage |
| PF | Particle Filter |
| RC | Resistor–Capacitor |
| SOC | State Of Charge |
| SVM | Support Vector Machine |
| SRCKF | Square Root Cubature Kalman Filter |
| UDDS | Urban Dynamometer Driving Schedule |
| UKF | Unscented Kalman Filter |
| VB | Variational Bayesian |
References
- Yu, Q.; Xiong, R.; Lin, C.; Shen, W.; Deng, J. Lithium-ion battery parameters and state-of-charge joint estimation based on H-infinity and unscented Kalman filters. IEEE Trans. Veh. Technol. 2017, 66, 8693–8701. [Google Scholar] [CrossRef]
- Huang, C.; Wang, Z.; Zhao, Z.; Wang, L.; Lai, C.S.; Wang, D. Robustness Evaluation of Extended and Unscented Kalman Filter for Battery State of Charge Estimation. IEEE Access 2018, 6, 27617–27628. [Google Scholar] [CrossRef]
- He, W.; Williard, N.; Chen, C.; Pecht, M. State of charge estimation for Li-ion batteries using neural network modeling and unscented Kalman filter-based error cancellation. Int. J. Elect. Power Energy Syst. 2014, 62, 783–791. [Google Scholar] [CrossRef]
- Zhao, W.; Kong, X.; Wang, C. Combined estimation of the state of charge of a lithium battery based on a back-propagation- adaptive Kalman filter algorithm. Proc. Inst. Mech. Eng. Part D 2018, 232, 357–366. [Google Scholar] [CrossRef]
- Charkhgard, M.; Farrokhi, M. State-of-charge estimation for lithium-ion batteries using neural networks and EKF. IEEE Trans. Ind. Electron. 2010, 57, 4178–4187. [Google Scholar] [CrossRef]
- Singh, P.; Vinjamuri, R.; Wang, X.; Reisner, D. Design and implementation of a fuzzy logic-based state-of-charge meter for Li-ion batteries used in portable defibrillators. J. Power Sources 2006, 162, 829–836. [Google Scholar] [CrossRef]
- Cai, C.H.; Du, D.; Liu, Z.Y. Battery state-of-charge (SOC) estimation using adaptive neuro-fuzzy inference system (ANFIS). In Proceedings of the 12th IEEE International Conference on Fuzzy Systems, St Louis, MO, USA, 25–28 May 2003; Volume 2, pp. 1068–1073. [Google Scholar]
- Awadallah, M.A.; Venkatesh, B. Accuracy improvement of SOC estimation in lithium-ion batteries. J. Energy Storage 2016, 6, 95–104. [Google Scholar] [CrossRef]
- Hu, J.N.; Hu, J.J.; Lin, H.B.; Li, X.P.; Jiang, C.L.; Qiu, X.H.; Li, W.S. State-of-charge estimation for batterymanagement system using optimized support vectormachine for regression. J. Power Sources 2014, 269, 682–693. [Google Scholar] [CrossRef]
- Sheng, H.; Xiao, J. Electric vehicle state of charge estimation: Nonlinear correlation and fuzzy support vector machine. J. Power Sources 2015, 281, 131–137. [Google Scholar] [CrossRef]
- Wu, X.; Mi, L.; Tan, W.; Qin, J.L.; Zhao, M.N. State of charge (SOC) estimation of Ni-MH battery based on least square support vector machines. Adv. Mater. Res. 2011, 211, 1204–1209. [Google Scholar] [CrossRef]
- Xiong, R.; Cao, J.; Yu, Q.; He, H.; Sun, F. Critical review on the battery state of charge estimation methods for electric vehicles. IEEE Access 2018, 6, 1832–1843. [Google Scholar] [CrossRef]
- Xu, J.; Mi, C.C.; Cao, B.; Deng, J.; Chen, Z.; Li, S. The state of charge estimation of lithium-ion batteries based on a proportional-integral observer. IEEE Trans. Veh. Technol. 2014, 63, 1614–1621. [Google Scholar]
- Huangfu, Y.; Xu, J.; Zhao, D.; Liu, Y.; Gao, F. A novel battery state of charge estimation method based on a super-twisting sliding mode observer. Energies 2018, 11, 1211. [Google Scholar] [CrossRef]
- Plett, G.L. Extended Kalman filtering for battery management systems of LiPB-based HEV battery packs: Part 3. State and parameter estimation. J. Power Sources 2004, 134, 277–292. [Google Scholar] [CrossRef]
- He, W.; Williard, N.; Chen, C.; Pecht, M. State of charge estimation for electric vehicle batteries using unscented kalman filtering. Microelectron. Reliab. 2013, 53, 840–847. [Google Scholar] [CrossRef]
- Li, Y.; Wang, C.; Gong, J. A multi-model probability SOC fusion estimation approach using an improved adaptive unscented Kalman filter technique. Energy 2017, 141, 1402–1415. [Google Scholar] [CrossRef]
- Peng, S.; Chen, C.; Shi, H.; Yao, Z. State of charge estimation of battery energy storage systems based on adaptive unscented Kalman filter with a noise statistics estimator. IEEE Access 2017, 5, 13202–13212. [Google Scholar] [CrossRef]
- Wang, X.; Song, Z.; Yang, K.; Yin, X.; Geng, Y.; Wang, J. State of Charge Estimation for Lithium-Bismuth Liquid Metal Batteries. Energies 2019, 12, 183. [Google Scholar] [CrossRef]
- Xia, B.; Wang, H.; Tian, Y.; Wang, M.; Sun, W.; Xu, Z. State of charge estimation of lithium-ion batteries using an adaptive cubature Kalman filter. Energies 2015, 8, 5916–5936. [Google Scholar] [CrossRef]
- Zeng, Z.; Tian, J.; Li, D.; Tian, Y. An online state of charge estimation algorithm for lithium-ion batteries using an improved adaptive cubature Kalman filter. Energies 2018, 11, 59. [Google Scholar] [CrossRef]
- Cui, X.; Jing, Z.; Luo, M.; Guo, Y.; Qiao, H. A New Method for State of Charge Estimation of Lithium-Ion Batteries Using Square Root Cubature Kalman Filter. Energies 2018, 11, 209. [Google Scholar] [CrossRef]
- Chen, L.; Xu, L.; Wang, R. State of Charge Estimation for Lithium-Ion Battery by Using Dual Square Root Cubature Kalman Filter. Math. Probl. Eng. 2017, 2017, 5489356. [Google Scholar] [CrossRef]
- Liu, S.; Cui, N.; Zhang, C. An adaptive square root unscented Kalman filter approach for state of charge estimation of lithium-ion batteries. Energies 2017, 10, 1345. [Google Scholar]
- El Din, M.S.; Abdel-Hafez, M.F.; Hussein, A.A. Enhancement in Li-ion battery cell state-of-charge estimation under uncertain model statistics. IEEE Trans. Veh. Technol. 2016, 65, 4608–4618. [Google Scholar] [CrossRef]
- Charkhgard, M.; Zarif, M.H. Design of adaptive H∞ filter for implementing on state of- charge estimation based on battery state-of-charge-varying modelling. IET Power Electron. 2015, 8, 1825–1833. [Google Scholar] [CrossRef]
- Zhao, L.; Liu, Z.; Ji, G. Lithium-ion battery state of charge estimation with model parameters adaptation using H∞ extended Kalman filter. Control Eng. Pract. 2018, 81, 114–128. [Google Scholar] [CrossRef]
- Wei, Z.; Leng, F.; He, Z.; Zhang, W.; Li, K. Online state of charge and state of health estimation for a Lithium-Ion battery based on a data-model fusion method. Energies 2018, 11, 1810. [Google Scholar] [CrossRef]
- Sarkka, S.; Nummenmaa, A. Recursive noise adaptive Kalman filtering by variational Bayesian approximations. IEEE Trans. Automat. Contr. 2009, 54, 596–600. [Google Scholar] [CrossRef]
- Li, K.; Chang, L.; Hu, B. A variational Bayesian-based unscented Kalman filter with both adaptivity and robustness. IEEE Sens. J. 2016, 16, 6966–6976. [Google Scholar] [CrossRef]
- Sun, J.; Zhou, J.; Li, X.R. State estimation for systems with unknown inputs based on variational Bayes method. In Proceedings of the 15th International Conference on Information Fusion, Singapore, 9–12 July 2012; pp. 983–990. [Google Scholar]
- Hou, J.; Yang, Y.; Gao, T. Variational Bayesian based adaptive shifted Rayleigh filter for bearings-only tracking in clutters. Sensors 2019, 19, 1512. [Google Scholar] [CrossRef]
- Hou, J.; Yang, Y.; He, H.; Gao, T. Adaptive Dual Extended Kalman Filter Based on Variational Bayesian Approximation for Joint Estimation of Lithium-Ion Battery State of Charge and Model Parameters. Appl. Sci. 2019, 9, 1726. [Google Scholar] [CrossRef]
- Chang, L.; Hu, B.; Chang, G.; Li, A. Huber-based novel robust unscented Kalman filter. IET Sci. Meas. Technol. 2012, 6, 502–509. [Google Scholar] [CrossRef]
- He, W.; Pecht, M.; Flynn, D.; Dinmohammadi, F. A Physics-Based Electrochemical Model for Lithium-Ion Battery State-of-Charge Estimation Solved by an Optimised Projection-Based Method and Moving-Window Filtering. Energies 2018, 11, 2120. [Google Scholar] [CrossRef]
- Yang, F.; Wang, D.; Zhao, Y.; Tsui, K.L.; Bae, S.J. A study of the relationship between coulombic efficiency and capacity degradation of commercial lithium-ion batteries. Energy 2018, 145, 486–495. [Google Scholar] [CrossRef]
- Zheng, Y.; Ouyang, M.; Lu, L.; Li, J.; Zhang, Z.; Li, X. Study on the correlation between state of charge and coulombic efficiency for commercial lithium ion batteries. J. Power Sources 2015, 289, 81–90. [Google Scholar] [CrossRef]
- Wang, J.; Cao, B.; Chen, Q.; Wang, F. Combined state of charge estimator for electric vehicle battery pack. Control Eng. Pract. 2007, 15, 1569–1576. [Google Scholar] [CrossRef]
- Smith, A.J.; Burns, J.C.; Dahn, J.R. A high precision study of the Coulombic efficiency of Li-ion batteries. Electrochem. Solid-State Lett. 2010, 13, A177–A179. [Google Scholar] [CrossRef]
- Wang, Q.; Kang, J.; Tan, Z.; Luo, M. An online method to simultaneously identify the parameters and estimate states for lithium ion batteries. Electrochim. Acta 2018, 289, 376–388. [Google Scholar] [CrossRef]















| Case a | Case b | Case c | Case d | |||||
|---|---|---|---|---|---|---|---|---|
| MaE | MeE | MaE | MeE | MaE | MeE | MaE | MeE | |
| SRCKF | ||||||||
| HSRCKF | ||||||||
| VB-ASRCKF | ||||||||
| VB-HASRCKF | ||||||||
| Constant Current Discharge Test | UDDS Test | |
|---|---|---|
| SRCKF | 12.1816 s | 30.1736 s |
| HSRCKF | 12.4577 s | 31.1709 s |
| VB-ASRCKF | 13.1058 s | 32.7837 s |
| VB-HASRCKF | 14.1003 s | 35.4377 s |
| Case a | Case b | Case c | Case d | |||||
|---|---|---|---|---|---|---|---|---|
| MaE | MeE | MaE | MeE | MaE | MeE | MaE | MeE | |
| SRCKF | ||||||||
| HSRCKF | ||||||||
| VB-ASRCKF | ||||||||
| VB-HASRCKF | ||||||||
© 2019 by the authors. Licensee MDPI, Basel, Switzerland. This article is an open access article distributed under the terms and conditions of the Creative Commons Attribution (CC BY) license (http://creativecommons.org/licenses/by/4.0/).
Share and Cite
Hou, J.; He, H.; Yang, Y.; Gao, T.; Zhang, Y. A Variational Bayesian and Huber-Based Robust Square Root Cubature Kalman Filter for Lithium-Ion Battery State of Charge Estimation. Energies 2019, 12, 1717. https://doi.org/10.3390/en12091717
Hou J, He H, Yang Y, Gao T, Zhang Y. A Variational Bayesian and Huber-Based Robust Square Root Cubature Kalman Filter for Lithium-Ion Battery State of Charge Estimation. Energies. 2019; 12(9):1717. https://doi.org/10.3390/en12091717
Chicago/Turabian StyleHou, Jing, He He, Yan Yang, Tian Gao, and Yifan Zhang. 2019. "A Variational Bayesian and Huber-Based Robust Square Root Cubature Kalman Filter for Lithium-Ion Battery State of Charge Estimation" Energies 12, no. 9: 1717. https://doi.org/10.3390/en12091717
APA StyleHou, J., He, H., Yang, Y., Gao, T., & Zhang, Y. (2019). A Variational Bayesian and Huber-Based Robust Square Root Cubature Kalman Filter for Lithium-Ion Battery State of Charge Estimation. Energies, 12(9), 1717. https://doi.org/10.3390/en12091717

