Frequency Support of Smart Grid Using Fuzzy Logic-Based Controller for Wind Energy Systems
Abstract
1. Introduction
2. Stability of the Power Grid
3. Frequency Support by a Wind Energy System
4. Fuzzy Logic-Based Controller
4.1. Fuzzification
4.2. Fuzzy Inference Rules
- IF is VS AND is VS THEN is VSL
- IF is VS AND is S THEN is VSL
- IF is VS AND is M THEN is SL
- IF is VS AND is L THEN is M
- IF is VS AND is VL THEN is M
- IF is S AND is VS THEN is VSL
- IF is S AND is S THEN is SL
- IF is S AND is M THEN is M
- IF is S AND is L THEN is F
- IF is S AND is VL THEN is F
- IF is M AND is VS THEN is SL
- IF is M AND is S THEN is M
- IF is M AND is M THEN is M
- IF is M AND is L THEN is F
- IF is M AND is VL THEN is F
- IF is L AND is VS THEN is M
- IF is L AND is S THEN is M
- IF is L AND is M THEN is F
- IF is L AND is L THEN is F
- IF is L AND is VL THEN is VF
- IF is VL AND is VS THEN is M
- IF is VL AND is S THEN is M
- IF is VL AND is M THEN is VF
- IF is VL AND is L THEN is VF
- IF is VL AND is VL THEN is VF
4.3. Defuzzification
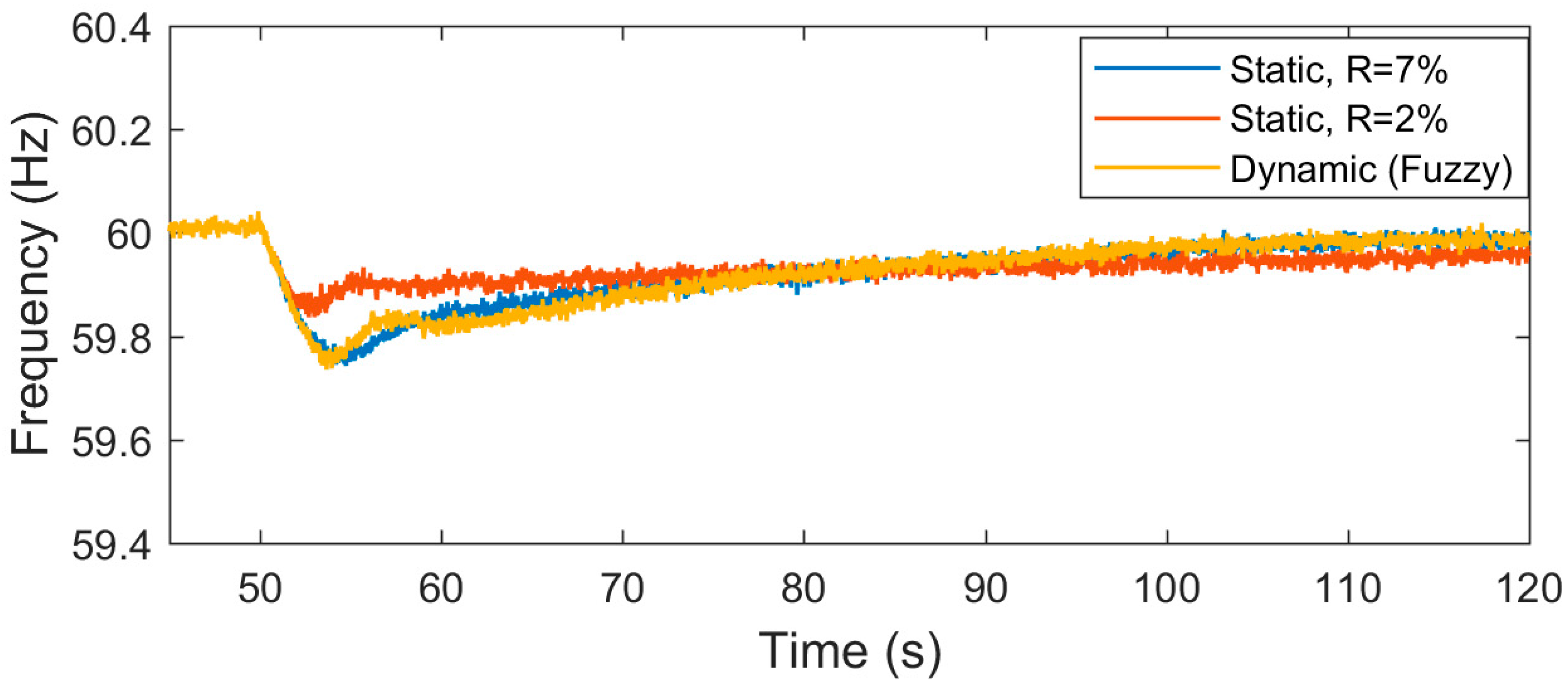
5. Simulation Results
5.1. Frequency Support by Single WES
5.1.1. The Response of WES to Large ROCOF
5.1.2. Response of WES to Small ROCOF
5.2. Frequency Support by Wind Farm
6. Conclusions
Author Contributions
Funding
Conflicts of Interest
References
- Muljadi, E.; Gevorgian, V.; Singh, M.; Santoso, S. Understanding inertial and frequency response of wind power plants. In Proceedings of the 2012 IEEE Power Electronics and Machines in Wind Applications, Denver, CO, USA, 16–18 July 2012; pp. 1–8. [Google Scholar]
- Singh, M.; Gevorgian, V.; Muljadi, E.; Ela, E. Variable-speed wind power plant operating with reserve power capability. In Proceedings of the 2013 IEEE Energy Conversion Congress and Exposition, Denver, CO, USA, 15–19 September 2013; pp. 3305–3310. [Google Scholar]
- Margaris, I.D.; Papathanassiou, S.; Hatziargyriou, N.D.; Hansen, A.D.; Sorensen, P. Frequency Control in Autonomous Power Systems with High Wind Power Penetration. IEEE Trans. Sustain. Energy 2012, 3, 189–199. [Google Scholar] [CrossRef]
- Pradhan, C.; Bhende, C. Enhancement in Primary Frequency Contribution using Dynamic Deloading of Wind Turbines. IFAC-PapersOnLine 2015, 48, 13–18. [Google Scholar] [CrossRef]
- Camblong, H.; Vechiu, I.; Etxeberria, A.; Martinez, M.I. Wind turbine mechanical stresses reduction and contribution to frequency regulation. Control Eng. Pract. 2014, 30, 140–149. [Google Scholar] [CrossRef]
- Diaz-Gonzalez, F.; Hau, M.; Sumper, A.; Gomis-Bellmunt, O. Coordinated operation of wind turbines and flywheel storage for primary frequency control support. Int. J. Electr. Power Energy Syst. 2015, 68, 313–326. [Google Scholar] [CrossRef]
- Miao, L.; Wen, J.; Xie, H.; Yue, C.; Lee, W. Coordinated Control Strategy of Wind Turbine Generator and Energy Storage Equipment for Frequency Support. IEEE Trans. Ind. Appl. 2015, 51, 2732–2742. [Google Scholar] [CrossRef]
- Van de Vyver, J.; de Kooning, J.D.M.; Meersman, B.; Vandoorn, T.L.; Vandevelde, L. Optimization of constant power control of wind turbines to provide power reserves. In Proceedings of the 2013 48th International Universities’ Power Engineering Conference (UPEC), Dublin, Ireland, 2–5 September 2013. [Google Scholar]
- El Mokadem, M.; Courtecuisse, V.; Saudemont, C.; Robyns, B.; Deuse, J. Experimental study of variable speed wind generator contribution to primary frequency control. Renew. Energy 2009, 34, 833–844. [Google Scholar] [CrossRef]
- Singarao, V.Y.; Rao, V.S. Frequency responsive services by wind generation resources in United States. Renew. Sustain. Energy Rev. 2016, 55, 1097–1108. [Google Scholar] [CrossRef]
- Moutis, P.; Papathanassiou, S.A.; Hatziargyriou, N.D. Improved load-frequency control contribution of variable speed variable pitch wind generators. Renew. Energy 2012, 48, 514–523. [Google Scholar] [CrossRef]
- Badihi, H.; Zhang, Y.; Hong, H. Active power control design for supporting grid frequency regulation in wind farms. Annu. Rev. Control 2015, 40, 70–81. [Google Scholar] [CrossRef]
- Dreidy, M.; Mokhlis, H.; Mekhilef, S. Inertia response and frequency control techniques for renewable energy sources: A review. Renew. Sustain. Energy Rev. 2017, 69, 144–155. [Google Scholar] [CrossRef]
- Žertek, A.; Member, S.; Verbi, G.; Member, S.; Pantoš, M. A Novel Strategy for Variable-Speed Wind Turbines ’ Participation in Primary Frequency Control. IEEE Trans. Sustain. Energy 2012, 3, 791–799. [Google Scholar] [CrossRef]
- Erlich, I.; Wilch, M. Primary frequency control by wind turbines. In Proceedings of the IEEE PES General Meeting, Providence, RI, USA, 25–29 July 2010. [Google Scholar]
- Camblong, H.; Nourdine, S.; Vechiu, I.; Tapia, G. Control of wind turbines for fatigue loads reduction and contribution to the grid primary frequency regulation. Energy 2012, 48, 284–291. [Google Scholar] [CrossRef]
- Satpathy, G.; Mehta, A.K.; Kumar, R.; Baredar, P. An overview of various frequency regulation strategies of grid connected and stand-alone wind energy conversion system. In Proceedings of the International Conference on Recent Advances and Innovations in Engineering (ICRAIE-2014), Jaipur, India, 9–11 May 2014. [Google Scholar]
- Motamed, B.; Chen, P.; Persson, M. Comparison of primary frequency support methods for wind turbines. In Proceedings of the 2013 IEEE Grenoble Conference, Grenoble, France, 16–20 June 2013. [Google Scholar]
- Wang, Y.; Bayem, H.; Giralt-devant, M.; Silva, V.; Guillaud, X.; Francois, B. Methods for Assessing Available Wind Primary Power Reserve. IEEE Trans. Sustain. Energy 2015, 6, 272–280. [Google Scholar] [CrossRef]
- Qian, D.; Tong, S.; Liu, H.; Liu, X. Load frequency control by neural-network-based integral sliding mode for nonlinear power systems with wind turbines. Neurocomputing 2016, 173, 875–885. [Google Scholar] [CrossRef]
- Tielens, P.; de Rijcke, S.; Srivastava, K.; Reza, M.; Marinopoulos, A.; Driesen, J. Frequency support by wind power plants in isolated grids with varying generation mix. In Proceedings of the 2012 IEEE Power and Energy Society General Meeting, San Diego, CA, USA, 22–26 July 2012. [Google Scholar]
- Díaz, G.; González-Morán, C.; Gómez-Aleixandre, J.; Diez, A. Scheduling of droop coefficients for frequency and voltage regulation in isolated microgrids. IEEE Trans. Power Syst. 2010, 25, 489–496. [Google Scholar] [CrossRef]
- Molina-Garcia, A.; Munoz-Benavente, I.; Hansen, A.D.; Gomez-Lazaro, E. Demand-Side Contribution to Primary Frequency Control With Wind Farm Auxiliary Control. IEEE Trans. Power Syst. 2014, 29, 2391–2399. [Google Scholar] [CrossRef]
- Aho, J.; Pao, L.Y.; Fleming, P.; Ela, E. Controlling Wind Turbines for Secondary Frequency Regulation: An Analysis of AGC Capabilities under New Performance Based Compensation Policy. Presented at the 13th International Workshop on Large-ScaleIntegration of Wind Power Into Power Systems as Well as onTransmission Networks for Offshore Wind Power Plants, Berlin, Germany, 11–13 November 2014. [Google Scholar]
- Aho, J.; Buckspan, A.; Laks, J.H. A tutorial of wind turbine control for supporting grid frequency through active power control. In Proceedings of the 2012 American Control Conference (ACC), Montreal, QC, Canada, 27–29 June 2012. [Google Scholar]
- Ela, E.; Tuohy, A.; Milligan, M.; Kirby, B.; Brooks, D. Alternative Approaches for Incentivizing the Frequency Responsive Reserve Ancillary Service. Electr. J. 2012, 25, 88–102. [Google Scholar] [CrossRef]
- Singhvi, V.; Brooks, D.; Member, S. Impact of Wind Active Power Control Strategies on Frequency Response of an Interconnection. In Proceedings of the 2013 IEEE Power & Energy Society General Meeting, Vancouver, BC, Canada, 21–25 July 2013. [Google Scholar]
- Miller, N.W.; Clark, K.; Shao, M. Frequency responsive wind plant controls: Impacts on grid performance. In Proceedings of the 2011 IEEE Power and Energy Society General Meeting, San Diego, CA, USA, 24–29 July 2011. [Google Scholar]
- Ela, E.; Gevorgian, V.; Fleming, P.A.; Zhang, Y.C.; Singh, M.; Muljadi, E.; Scholbrock, A.; Aho, J.; Buckspan, A.; Pao, L.Y.; et al. Active Power Controls from Wind Power: Bridging the Gaps; Technical Report, NREL/TP-5D00-60574; National Renewable Energy Laboratory: Golden, CO, USA, 2014.
- Vidyanandan, K.V.; Senroy, N. Primary Frequency Regulation by Deloaded Wind Turbines Using Variable Droop. IEEE Trans. Power Syst. 2013, 28, 837–846. [Google Scholar] [CrossRef]
- Khaledian, A.; Golkar, M.A. Analysis of droop control method in an autonomous microgrid. J. Appl. Res. Technol. 2017, 15, 371–377. [Google Scholar] [CrossRef]
- Tarnowski, G.C. Coordinated Frequency Control of Wind Turbines in Power Systems with High Wind Power Penetration; Technical University of Denmark (DTU): Lyngby, Denmark, 2012. [Google Scholar]
- Baccino, F.; Member, S.; Conte, F.; Grillo, S.; Massucco, S.; Member, S.; Silvestro, F. An Optimal Model-Based Control Technique to Improve Wind Farm Participation to Frequency Regulation. IEEE Trans. Sustain. Energy 2015, 6, 993–1003. [Google Scholar] [CrossRef]
- Buckspan, A.; Aho, J.; Fleming, P.; Jeong, Y.; Pao, L. Combining droop curve concepts with control systems for wind turbine active power control. In Proceedings of the 2012 IEEE Power Electronics and Machines in Wind Applications, Denver, CO, USA, 16–18 July 2012. [Google Scholar]
- Aho, J.; Buckspan, A.; Pao, L.Y.; Fleming, P.A. An Active Power Control System for Wind Turbines Capable of Primary and Secondary Frequency Control for Supporting Grid Reliability. In Proceedings of the 51st AIAA Aerospace Sciences Meeting including the New Horizons Forum and Aerospace Exposition, Aerospace Sciences Meetings, Grapevine, TX, USA, 7–10 January 2013. [Google Scholar]
- Delille, G.; François, B.; Malarange, G. Dynamic frequency control support by energy storage to reduce the impact of wind and solar generation on isolated power system’s inertia. IEEE Trans. Sustain. Energy 2012, 3, 931–939. [Google Scholar] [CrossRef]
- Guo, X.Q.; Lu, Z.G.; Wang, B.C.; Sun, X.F.; Wang, L.; Guerrero, J.M. Dynamic Phasors-Based Modeling and Stability Analysis of Droop-Controlled Inverters for Microgrid Applications. IEEE Trans. Smart Grid 2014, 5, 2980–2987. [Google Scholar] [CrossRef]
- Arani, M.F.M.; Mohamed, Y.A.-R.I. Dynamic Droop Control for Wind Turbines Participating in Primary Frequency Regulation in Microgrids. IEEE Trans. Smart Grid 2018, 9, 5742–5751. [Google Scholar] [CrossRef]
- Wang, Y.; Chen, Z.; Deng, F. Dynamic droop scheme considering effect of intermittent renewable energy source. In Proceedings of the 2016 IEEE 7th International Symposium on Power Electronics for Distributed Generation Systems (PEDG), Vancouver, BC, Canada, 27–30 June 2016. [Google Scholar]
- Hwang, M.; Chun, Y.; Park, J.; Kang, Y.C. Dynamic Droop-based Inertial Control of a Wind Power Plant. J. Electr. Eng. Technol. 2015, 10, 1363–1369. [Google Scholar] [CrossRef]
- Kundur, P. Power System Stability and Control; McGraw-Hill: New York, NY, USA, 1995. [Google Scholar]
- Anderson, P.M.; Fouad, A.A. Power System Control and Stability; John Wiley & Sons, Ltd.: Hoboken, NJ, USA, 1999. [Google Scholar]
- Sun, Y.; Zhang, Z.; Li, G.; Lin, J. Review on frequency control of power systems with wind power penetration. Power Syst. Technol. 2010, 1–8. [Google Scholar] [CrossRef]
- Janssens, N.A.; Member, S.; Lambin, G.; Bragard, N. Active Power Control Strategies of DFIG Wind Turbines. In Proceedings of the 2007 IEEE Lausanne Power Tech, Lausanne, Switzerland, 1–5 July 2007. [Google Scholar]
- Zadeh, L.A. Outline of a new approach to the analysis of complex systems and decision processes. Syst. Man Cybern. IEEE Trans. 1973, SMC-3, 28–44. [Google Scholar] [CrossRef]
- Muyeen, S.M.; Al-Durra, A. Modeling and control strategies of fuzzy logic controlled inverter system for grid interconnected variable speed wind generator. IEEE Syst. J. 2013, 7, 817–824. [Google Scholar] [CrossRef]
- Ahmadi, S.; Shokoohi, S.; Bevrani, H. A fuzzy logic-based droop control for simultaneous voltage and frequency regulation in an AC microgrid. Int. J. Electr. Power Energy Syst. 2015, 64, 148–155. [Google Scholar] [CrossRef]
- Putri, A.I.; Ahn, M.; Choi, J. Speed sensorless fuzzy MPPT control of grid-connected PMSG for wind power generation. In Proceedings of the 2012 International Conference on Renewable Energy Research and Applications (ICRERA), Nagasaki, Japan, 11–14 November 2012. [Google Scholar]
- Hoseinzadeh, B.; Chen, Z. Intelligent load-frequency control contribution of wind turbine in power system stability. In Proceedings of the Eurocon 2013, Zagreb, Croatia, 1–4 July 2013; pp. 1124–1128. [Google Scholar]
- Lagorse, J.; Simões, M.G.; Miraoui, A. A Multiagent Fuzzy-Logic-Based Energy Management of Hybrid Systems. IEEE Trans. Ind. Appl. 2009, 45, 2123–2129. [Google Scholar] [CrossRef]
- Bubshait, A.S.; Simões, M.G.; Mortezaei, A.; Busarello, T.D.C. Power quality achievement using grid connected converter of wind turbine system. In Proceedings of the 2015 IEEE Industry Applications Society Annual Meeting, Addison, TX, USA, 18–22 October 2015. [Google Scholar]
- Bubshait, A.; Simões, M.G. Optimal Power Reserve of a Wind Turbine System Participating in Primary Frequency Control. Appl. Sci. 2018, 8, 2022. [Google Scholar] [CrossRef]





















| VS | S | M | L | VL | |
|---|---|---|---|---|---|
| VS | VSL | VSL | SL | M | M |
| S | VSL | SL | M | F | M |
| M | SL | M | M | F | F |
| L | M | M | F | F | VF |
| VL | M | M | VF | VF | VF |
© 2019 by the authors. Licensee MDPI, Basel, Switzerland. This article is an open access article distributed under the terms and conditions of the Creative Commons Attribution (CC BY) license (http://creativecommons.org/licenses/by/4.0/).
Share and Cite
Simões, M.G.; Bubshait, A. Frequency Support of Smart Grid Using Fuzzy Logic-Based Controller for Wind Energy Systems. Energies 2019, 12, 1550. https://doi.org/10.3390/en12081550
Simões MG, Bubshait A. Frequency Support of Smart Grid Using Fuzzy Logic-Based Controller for Wind Energy Systems. Energies. 2019; 12(8):1550. https://doi.org/10.3390/en12081550
Chicago/Turabian StyleSimões, Marcelo Godoy, and Abdullah Bubshait. 2019. "Frequency Support of Smart Grid Using Fuzzy Logic-Based Controller for Wind Energy Systems" Energies 12, no. 8: 1550. https://doi.org/10.3390/en12081550
APA StyleSimões, M. G., & Bubshait, A. (2019). Frequency Support of Smart Grid Using Fuzzy Logic-Based Controller for Wind Energy Systems. Energies, 12(8), 1550. https://doi.org/10.3390/en12081550

