Adaptive Comfort Control Implemented Model (ACCIM) for Energy Consumption Predictions in Dwellings under Current and Future Climate Conditions: A Case Study Located in Spain
Abstract
1. Introduction
2. Methodology
2.1. Data Collection
2.2. Models
2.3. Analysis of Climate Zones
2.4. Definition of the Case Study
2.5. Simulation in Current and Future Scenarios
3. Results and Discussion
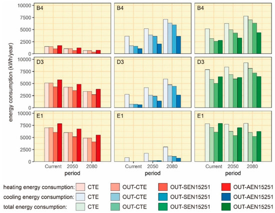
3.1. Influence of Adaptive Comfort Control Implemented Model (ACCIM) on the Annual Energy Consumption
3.2. Influence of ACCIM on the Schedule Energy Consumption: Current Scenario
3.3. Influence of ACCIM on the Schedule Energy Consumption: Future Scenarios
4. Conclusions
Author Contributions
Funding
Conflicts of Interest
Nomenclature
| Codification | |
| AHST | Adaptive heating setpoint temperature |
| ACST | Adaptive cooling setpoint temperature |
| CTE | Spanish Building Technical Code |
| B4 | Climate zone belonging to class Csa according to Köppen–Geiger’s classification. |
| D3 | Climate zone belonging to class BSh according to Köppen–Geiger’s classification. |
| E1 | Climate zone belonging to class Csb according to Köppen–Geiger’s classification. |
| HVAC | Heating, ventilation, and air conditioning |
| CTE model | Static model in the CTE |
| OUT-CTE model | Adaptive model of EN15251; when the adaptive model is not applicable, the CTE static model is applied. |
| OUT-SEN15251 model | Adaptive model of EN15251; when the adaptive model is not applicable, the EN15251 static model is applied. |
| OUT-AEN15251 model | Adaptive model of EN15251; when the adaptive model is not applicable, the upper and lower comfort limits are horizontally extended. |
| PMV | Predicted mean vote |
References
- World Wildlife Fund. Living Planet Report 2014: Species and Spaces, People and Places; WWF International: Gland, Switzerland, 2014; Volume 1, ISBN 9780874216561. [Google Scholar]
- European Commission. A Roadmap for Moving to a Competitive Low Carbon Economy in 2050; European Commission: Brussels, Belgium, 2011; pp. 1–15. [Google Scholar]
- The United Nations Environment Programme. Building Design and Construction: Forging Resource Efficiency and Sustainable; The United Nations Environment Programme: Nairobi, Kenya, 2012. [Google Scholar]
- Pérez-Lombard, L.; Ortiz, J.; Pout, C. A review on buildings energy consumption information. Energy Build. 2008, 40, 394–398. [Google Scholar] [CrossRef]
- European Commission. Directive 2002/91/EC of the European Parliament and of the council of 16 December 2002 on the energy performance of buildings. Off. J. Eur. Union 2002, 65–71. [Google Scholar] [CrossRef]
- European Union. Directive 2010/31/EU of the European Parliament and of the Council of 19 May 2010 on the Energy Performance of Buildings; European Union: Brussels, Belgium, 2010; Volume 153, pp. 13–35. [Google Scholar]
- Horne, R.; Hayles, C. Towards global benchmarking for sustainable homes: An international comparison of the energy performance of housing. J. Hous. Built Environ. 2008, 23, 119–130. [Google Scholar] [CrossRef]
- Kurtz, F.; Monzón, M.; López-Mesa, B. Energy and acoustics related obsolescence of social housing of Spain’s post-war in less favoured urban areas. The case of Zaragoza. Inf. La Construcción 2015, 67, m021. [Google Scholar] [CrossRef]
- Lowe, R. Technical options and strategies for decarbonizing UK housing. Build. Res. Inf. 2007, 35, 412–425. [Google Scholar] [CrossRef]
- Park, K.; Kim, M. Energy Demand Reduction in the Residential Building Sector: A Case Study of Korea. Energies 2017, 10, 1506. [Google Scholar] [CrossRef]
- Page, J.; Robinson, D.; Morel, N.; Scartezzini, J.L. A generalised stochastic model for the simulation of occupant presence. Energy Build. 2008, 40, 83–98. [Google Scholar] [CrossRef]
- Spanish Institute of Statistics Population and Housing Census. Available online: https://www.ine.es/censos2011_datos/cen11_datos_resultados.htm# (accessed on 9 November 2018).
- Di Pilla, L.; Desogus, G.; Mura, S.; Ricciu, R.; Di Francesco, M. Optimizing the distribution of Italian building energy retrofit incentives with Linear Programming. Energy Build. 2016, 112, 21–27. [Google Scholar] [CrossRef]
- Theodoridou, I.; Papadopoulos, A.M.; Hegger, M. A typological classification of the Greek residential building stock. Energy Build. 2011, 43, 2779–2787. [Google Scholar] [CrossRef]
- Pérez-Andreu, V.; Aparicio-Fernández, C.; Martínez-Ibernón, A.; Vivancos, J.L. Impact of climate change on heating and cooling energy demand in a residential building in a Mediterranean climate. Energy 2018, 165, 63–74. [Google Scholar] [CrossRef]
- Bienvenido-Huertas, D.; Quiñones, J.A.F.; Moyano, J.; Rodríguez-Jiménez, C.E. Patents Analysis of Thermal Bridges in Slab Fronts and Their Effect on Energy Demand. Energies 2018, 11, 2222. [Google Scholar] [CrossRef]
- Isaac, M.; van Vuuren, D.P. Modeling global residential sector energy demand for heating and air conditioning in the context of climate change. Energy Policy 2009, 37, 507–521. [Google Scholar] [CrossRef]
- Cellura, M.; Guarino, F.; Longo, S.; Tumminia, G. Climate change and the building sector: Modelling and energy implications to an office building in southern Europe. Energy Sustain. Dev. 2018, 45, 46–65. [Google Scholar] [CrossRef]
- Intergovernmental Panel on Climate Change Climate change 2014: Synthesis report. Contribution of working groups I, II and III to the fifth assessment report of the intergovernmental Panel on climate change. In Climate Change 2013—The Physical Science Basis; Intergovernmental Panel on Climate Change, Ed.; Cambridge University Press: Cambridge, UK, 2014; pp. 1–30. [Google Scholar]
- Karimpour, M.; Belusko, M.; Xing, K.; Boland, J.; Bruno, F. Impact of climate change on the design of energy efficient residential building envelopes. Energy Build. 2015, 87, 142–154. [Google Scholar] [CrossRef]
- Kalvelage, K.; Passe, U.; Rabideau, S.; Takle, E.S. Changing climate: The effects on energy demand and human comfort. Energy Build. 2014, 76, 373–380. [Google Scholar] [CrossRef]
- Rubio-Bellido, C.; Perez-Fargallo, A.; Pulido-Arcas, J.A. Optimization of annual energy demand in office buildings under the influence of climate change in Chile. Energy 2016, 114, 569–585. [Google Scholar] [CrossRef]
- Roaf, S.; Crichton, D.; Nicol, F. Adapting Buildings and Cities for Climate Change: A 21st Century Survival Guide; Routledge: London, UK, 2009. [Google Scholar]
- Ren, Z.; Chen, D. Modelling study of the impact of thermal comfort criteria on housing energy use in Australia. Appl. Energy 2018, 210, 152–166. [Google Scholar] [CrossRef]
- Tushar, W.; Wang, T.; Lan, L.; Xu, Y.; Withanage, C.; Yuen, C.; Wood, K.L. Policy design for controlling set-point temperature of ACs in shared spaces of buildings. Energy Build. 2017, 134, 105–114. [Google Scholar] [CrossRef]
- Hoyt, T.; Arens, E.; Zhang, H. Extending air temperature setpoints: Simulated energy savings and design considerations for new and retrofit buildings. Build. Environ. 2014, 88, 89–96. [Google Scholar] [CrossRef]
- Wan, K.K.W.; Li, D.H.W.; Lam, J.C. Assessment of climate change impact on building energy use and mitigation measures in subtropical climates. Energy 2011, 36, 1404–1414. [Google Scholar] [CrossRef]
- Parry, M.L.; Canziani, O.F.; Palutikof, J.P.; van der Linden, P.J.; Hanson, C.E. Contribution of Working Group II to the Fourth Assessment Report of the Intergovernmental Panel on Climate Change; Cambridge University Press: Cambridge, UK, 2007. [Google Scholar]
- Spyropoulos, G.N.; Balaras, C.A. Energy consumption and the potential of energy savings in Hellenic office buildings used as bank branches—A case study. Energy Build. 2011, 43, 770–778. [Google Scholar] [CrossRef]
- Bienvenido-Huertas, D.; Rubio-Bellido, C.; Pérez-Ordóñez, J.; Martínez-Abella, F. Estimating Adaptive Setpoint Temperatures Using Weather Stations. Energies 2019, 12, 1197. [Google Scholar] [CrossRef]
- Pérez-Fargallo, A.; Pulido-Arcas, J.A.; Rubio-Bellido, C.; Trebilcock, M.; Piderit, B.; Attia, S. Development of a new adaptive comfort model for low income housing in the central-south of chile. Energy Build. 2018, 178, 94–106. [Google Scholar] [CrossRef]
- Sánchez-García, D.; Rubio-Bellido, C.; Pulido-Arcas, J.A.; Guevara-García, F.J.; Canivell, J. Adaptive comfort models applied to existing Dwellings in Mediterranean climate considering globalwarming. Sustainability 2018, 10, 3507. [Google Scholar] [CrossRef]
- van der Linden, A.C.; Boerstra, A.C.; Raue, A.K.; Kurvers, S.R.; De Dear, R.J. Adaptive temperature limits: A new guideline in the Netherlands: A new approach for the assessment of building performance with respect to thermal indoor climate. Energy Build. 2006, 38, 8–17. [Google Scholar] [CrossRef]
- Boerstra, A.C.; van Hoof, J.; van Weele, A.M. A new hybrid thermal comfort guideline for the Netherlands: Background and development. Arch. Sci. Rev. 2015, 58, 24–34. [Google Scholar] [CrossRef]
- Kramer, R.; van Schijndel, J.; Schellen, H. Dynamic setpoint control for museum indoor climate conditioning integrating collection and comfort requirements: Development and energy impact for Europe. Build. Environ. 2017. [Google Scholar] [CrossRef]
- American National Standards Institute/American Society of Heating Refrigerating and Air-Conditioning Engineers (ANSI/ASHRAE). ANSI/ASHRAE Standard 55-2013: Thermal Environmental Conditions for Human Occupancy; ASHRAE: Atlanta, GA, USA, 2013. [Google Scholar]
- Sánchez-Guevara Sánchez, C.; Mavrogianni, A.; Neila González, F.J. On the minimal thermal habitability conditions in low income dwellings in Spain for a new definition of fuel poverty. Build. Environ. 2017, 114, 344–356. [Google Scholar] [CrossRef]
- Barbadilla-Martín, E.; Salmerón Lissén, J.M.; Martín, J.G.; Aparicio-Ruiz, P.; Brotas, L. Field study on adaptive thermal comfort in mixed mode office buildings in southwestern area of Spain. Build. Environ. 2017, 123. [Google Scholar] [CrossRef]
- Barbadilla-Martín, E.; Guadix Martín, J.; Salmerón Lissén, J.M.; Sánchez Ramos, J.; Álvarez Domínguez, S. Assessment of thermal comfort and energy savings in a field study on adaptive comfort with application for mixed mode offices. Submitt. Energy Build. 2017. [Google Scholar] [CrossRef]
- European Committee for Standardization. EN 15251: Indoor Environmental Input Parameters for Design and Assessment of Energy Performance of Buildings—Addressing Indoor Air Quality, Thermal Environment, Lighting and Acoustics; CEN: Brussels, Belgium, 2007; Volume 3, pp. 1–52. [Google Scholar]
- Sánchez-García, D.; Rubio-Bellido, C.; del Río, J.J.M.; Pérez-Fargallo, A. Towards the quantification of energy demand and consumption through the adaptive comfort approach in mixed mode office buildings considering climate change. Energy Build. 2019, 187, 173–185. [Google Scholar] [CrossRef]
- The Government of Spain. Royal Decree 314/2006. Approving the Spanish Technical Building Code CTE-DB-HE-1; The Government of Spain: Madrid, Spain, 2013.
- Naspi, F.; Arnesano, M.; Stazi, F.; D’Orazio, M.; Revel, G.M. Measuring Occupants’ Behaviour for Buildings’ Dynamic Cosimulation. J. Sens. 2018, 2018, 1–17. [Google Scholar] [CrossRef]
- Castaño-Rosa, R.; Solís-Guzmán, J.; Marrero, M. A novel Index of Vulnerable Homes: Findings from application in Spain. Indoor Built Environ. 2018. [Google Scholar] [CrossRef]
- The Government of Spain. Código Técnico de la Edificación Documento Básico HE Climas de Referencia; The Government of Spain: Madrid, Spain, 2015.
- Rubel, F.; Kottek, M. Observed and projected climate shifts 1901–2100 depicted by world maps of the Köppen-Geiger climate classification. Meteorol. Z. 2010, 19, 135–141. [Google Scholar] [CrossRef]
- American National Standards Institute/American Society of Heating Refrigerating and Air-Conditioning Engineers (ANSI/ASHRAE). ASHRAE Guideline 14-2014: Measurement of Energy, Demand, and Water Savings; ASHRAE: Atlanta, GA, USA, 2014; p. 146. [Google Scholar]
- Bienvenido-Huertas, D.; Moyano, J.; Rodríguez-Jiménez, C.E.; Marín, D. Applying an artificial neural network to assess thermal transmittance in walls by means of the thermometric method. Appl. Energy 2019, 233–234, 1–14. [Google Scholar] [CrossRef]
- Jentsch, M.F.; Bahaj, A.S.; James, P.A.B. Climate Change World Weather Gen, Climate Change World Weather File Generator, Version 1.8; Sustainable Energy Research Group: Southampton, UK, 2013. [Google Scholar]











| Category | Detail |
|---|---|
| I | High level of expectation, recommended for spaces occupied by weak and sensitive people with special requirements, such as handicapped, sick, elderly, and very young children. |
| II | Normal level of expectation; it should be used for new and renovated buildings. |
| III | Acceptable and moderate level of expectation; it can be used in existing buildings. |
| IV | Values outside of the criteria of the preceding categories. This category should only be accepted during a limited part of a year. |
| Model | Standard | Limit | Range | Setpoint Temperature (°C) | ||||||||
|---|---|---|---|---|---|---|---|---|---|---|---|---|
| January–May | June–September | October–December | ||||||||||
| 24–7 | 8–15 | 16–23 | 24–7 | 8–15 | 16–23 | 24–7 | 8–15 | 16–23 | ||||
| Static model | CTE | Upper limit | all | - | - | - | 27 | - | 25 | - | - | - |
| Lower limit | all | 17 | 20 | 20 | - | - | - | 17 | 20 | 20 | ||
| Adaptive model OUT-CTE | EN15251Cat. III CTE | Upper limit (ACST) | < 10 °C | - | - | - | 27 | - | 25 | - | - | - |
| 10 °C ≤ < 30 °C | - | - | - | (1) | - | (1) | - | - | - | |||
| > 30 °C | - | - | - | 27 | - | 25 | - | - | - | |||
| Lower limit (AHST) | < 15 °C | 17 | 20 | 20 | - | - | - | 17 | 20 | 20 | ||
| 15 °C ≤ ≤ 30 °C | (2) | - | - | - | (2) | |||||||
| > 30 °C | 17 | 20 | 20 | - | - | - | 17 | 20 | 20 | |||
| Adaptive model OUT-SEN15251 | EN15251 Cat. III | Upper limit (ACST) | < 10 °C | - | - | - | 25 | - | 25 | - | - | - |
| 10 °C ≤ < 30 °C | - | - | - | (1) | - | (1) | - | - | - | |||
| > 30 °C | - | - | - | 27 | - | 27 | - | - | - | |||
| Lower limit (AHST) | < 15 °C | 18 | - | - | - | 18 | ||||||
| 15 °C ≤ ≤ 30 °C | (2) | - | - | - | (2) | |||||||
| > 30 °C | 22 | - | - | - | 22 | |||||||
| Adaptive model OUT-AEN15251 | EN15251 Cat. III | Upper limit (ACST) | < 10 °C | - | - | - | 26.10 | - | 26.10 | - | - | - |
| 10 °C ≤ < 30 °C | - | - | - | (1) | - | (1) | - | - | - | |||
| > 30 °C | - | - | - | 32.70 | - | 32.70 | - | - | - | |||
| Lower limit (AHST) | < 15 °C | 19.75 | - | - | - | 19.75 | ||||||
| 15 °C ≤ ≤ 30 °C | (2) | - | - | - | (2) | |||||||
| > 30 °C | 24.70 | - | - | - | 24.70 | |||||||
| Internal Loads | W/m2 at 100% |
|---|---|
| Sensible occupancy | 2.15 |
| Latent occupancy | 1.36 |
| Lighting | 4.40 |
| Equipment | 4.40 |
| Zone | Models | ||
|---|---|---|---|
| OUT-CTE | OUT-SEN15251 | OUT-AEN15251 | |
| B4 | 23% | 33% | 46% |
| D3 | 19% | 29% | 25% |
| E1 | 17% | 29% | 10% |
| Climatic Zone Scenario | CTE | OUT-CTE | OUT-SEN15251 | OUT-AEN15251 | |||||
|---|---|---|---|---|---|---|---|---|---|
| kWh/m²·Year | kWh/m²·Year | Reduction (%) | kWh/m²·Year | Reduction (%) | kWh/m²·Year | Reduction (%) | |||
| B4 | Current | Cooling | 3652.45 | 1682.26 | 54% | 1561.01 | 57% | 1065.81 | 71% |
| Heating | 1504.85 | 1484.04 | 1% | 1040.56 | 31% | 1727.15 | −15% | ||
| Total | 5157.30 | 3166.30 | 39% | 2601.57 | 50% | 2792.96 | 46% | ||
| 2050 | Cooling | 5196.55 | 3904.71 | 25% | 3626.22 | 30% | 2052.95 | 60% | |
| Heating | 1060.49 | 1078.04 | −2% | 695.50 | 34% | 1220.57 | −15% | ||
| Total | 6257.04 | 4982.75 | 20% | 4321.72 | 31% | 3273.52 | 48% | ||
| 2080 | Cooling | 7116.07 | 6351.04 | 11% | 5962.58 | 16% | 3616.59 | 49% | |
| Heating | 687.07 | 673.17 | 2% | 385.79 | 44% | 759.12 | −10% | ||
| Total | 7803.14 | 7024.22 | 10% | 6348.36 | 19% | 4375.71 | 44% | ||
| D3 | Current | Cooling | 2773.06 | 745.89 | 73% | 722.83 | 74% | 640.52 | 77% |
| Heating | 5105.23 | 5113.53 | 0% | 4323.58 | 15% | 5778.52 | −13% | ||
| Total | 7878.28 | 5859.42 | 26% | 5046.41 | 36% | 6419.04 | 19% | ||
| 2050 | Cooling | 4150.70 | 2595.82 | 37% | 2395.47 | 42% | 1399.97 | 66% | |
| Heating | 4273.92 | 4260.92 | 0% | 3556.26 | 17% | 4851.81 | −14% | ||
| Total | 8424.62 | 6856.73 | 19% | 5951.73 | 29% | 6251.78 | 26% | ||
| 2080 | Cooling | 5931.86 | 4762.16 | 20% | 4448.74 | 25% | 2624.20 | 56% | |
| Heating | 3368.92 | 3371.96 | 0% | 2729.79 | 19% | 3835.79 | −14% | ||
| Total | 9300.78 | 8134.12 | 13% | 7178.54 | 23% | 6459.99 | 31% | ||
| E1 | Current | Cooling | 844.63 | 37.54 | 96% | 37.72 | 96% | 37.72 | 96% |
| Heating | 7005.40 | 7037.78 | 0% | 6079.29 | 13% | 7864.73 | −12% | ||
| Total | 7850.02 | 7075.32 | 10% | 6117.01 | 22% | 7902.45 | −1% | ||
| 2050 | Cooling | 1738.24 | 229.21 | 87% | 228.41 | 87% | 228.41 | 87% | |
| Heating | 6010.11 | 6038.63 | 0% | 5159.90 | 14% | 6785.03 | −13% | ||
| Total | 7748.36 | 6267.84 | 19% | 5388.31 | 30% | 7013.44 | 9% | ||
| 2080 | Cooling | 3046.99 | 1174.32 | 61% | 1090.36 | 64% | 742.19 | 76% | |
| Heating | 4863.72 | 4876.70 | 0% | 4117.06 | 15% | 5510.47 | −13% | ||
| Total | 7910.71 | 6051.02 | 24% | 5207.42 | 34% | 6252.65 | 21% | ||
| Zone | Model | Scenario | |||||
|---|---|---|---|---|---|---|---|
| Current | 2050 | 2080 | |||||
| kWh/m2·Year | kWh/m2·Year | % | kWh/m2·Year | % | |||
| B4 | CTE | Heating | 1504.85 | 1060.49 | −42% | 687.07 | −119% |
| Cooling | 3652.45 | 5196.55 | 30% | 7116.07 | 49% | ||
| Total | 5157.30 | 6257.04 | 18% | 7803.14 | 34% | ||
| OUT-CTE | Heating | 1484.04 | 1078.04 | −38% | 673.17 | −120% | |
| Cooling | 1682.26 | 3904.71 | 57% | 6351.04 | 74% | ||
| Total | 3166.30 | 4982.75 | 36% | 7024.22 | 55% | ||
| OUT-SEN15251 | Heating | 1040.56 | 695.50 | −50% | 385.79 | −170% | |
| Cooling | 1561.01 | 3626.22 | 57% | 5962.58 | 74% | ||
| Total | 2601.57 | 4321.72 | 40% | 6348.36 | 59% | ||
| OUT-AEN15251 | Heating | 1727.15 | 1220.57 | −42% | 759.12 | −128% | |
| Cooling | 1065.81 | 2052.95 | 48% | 3616.59 | 71% | ||
| Total | 2792.96 | 3273.52 | 15% | 4375.71 | 36% | ||
| D3 | CTE | Heating | 5105.23 | 4273.92 | −19% | 3368.92 | −52% |
| Cooling | 2773.06 | 4150.70 | 33% | 5931.86 | 53% | ||
| Total | 7878.28 | 8424.62 | 6% | 9300.78 | 15% | ||
| OUT-CTE | Heating | 5113.53 | 4260.92 | −20% | 3371.96 | −52% | |
| Cooling | 745.89 | 2595.82 | 71% | 4762.16 | 84% | ||
| Total | 5859.42 | 6856.73 | 15% | 8134.12 | 28% | ||
| OUT-SEN15251 | Heating | 4323.58 | 3556.26 | −22% | 2729.79 | −58% | |
| Cooling | 722.83 | 2395.47 | 70% | 4448.74 | 84% | ||
| Total | 5046.41 | 5951.73 | 15% | 7178.54 | 30% | ||
| OUT-AEN15251 | Heating | 5778.52 | 4851.81 | −19% | 3835.79 | −51% | |
| Cooling | 640.52 | 1399.97 | 54% | 2624.20 | 76% | ||
| Total | 6419.04 | 6251.78 | −3% | 6459.99 | 1% | ||
| E1 | CTE | Heating | 7005.40 | 6010.11 | −17% | 4863.72 | −44% |
| Cooling | 844.63 | 1738.24 | 51% | 3046.99 | 72% | ||
| Total | 7850.02 | 7748.36 | −1% | 7910.71 | 1% | ||
| OUT-CTE | Heating | 7037.78 | 6038.63 | −17% | 4876.70 | −44% | |
| Cooling | 37.54 | 229.21 | 84% | 1174.32 | 97% | ||
| Total | 7075.32 | 6267.84 | −13% | 6051.02 | −17% | ||
| OUT-SEN15251 | Heating | 6079.29 | 5159.90 | −18% | 4117.06 | −48% | |
| Cooling | 37.72 | 228.41 | 83% | 1090.36 | 97% | ||
| Total | 6117.01 | 5388.31 | −14% | 5207.42 | −17% | ||
| OUT-AEN15251 | Heating | 7864.73 | 6785.03 | −16% | 5510.47 | −43% | |
| Cooling | 37.72 | 228.41 | 83% | 742.19 | 95% | ||
| Total | 7902.45 | 7013.44 | −13% | 6252.65 | −26% | ||
© 2019 by the authors. Licensee MDPI, Basel, Switzerland. This article is an open access article distributed under the terms and conditions of the Creative Commons Attribution (CC BY) license (http://creativecommons.org/licenses/by/4.0/).
Share and Cite
Sánchez-García, D.; Bienvenido-Huertas, D.; Tristancho-Carvajal, M.; Rubio-Bellido, C. Adaptive Comfort Control Implemented Model (ACCIM) for Energy Consumption Predictions in Dwellings under Current and Future Climate Conditions: A Case Study Located in Spain. Energies 2019, 12, 1498. https://doi.org/10.3390/en12081498
Sánchez-García D, Bienvenido-Huertas D, Tristancho-Carvajal M, Rubio-Bellido C. Adaptive Comfort Control Implemented Model (ACCIM) for Energy Consumption Predictions in Dwellings under Current and Future Climate Conditions: A Case Study Located in Spain. Energies. 2019; 12(8):1498. https://doi.org/10.3390/en12081498
Chicago/Turabian StyleSánchez-García, Daniel, David Bienvenido-Huertas, Mónica Tristancho-Carvajal, and Carlos Rubio-Bellido. 2019. "Adaptive Comfort Control Implemented Model (ACCIM) for Energy Consumption Predictions in Dwellings under Current and Future Climate Conditions: A Case Study Located in Spain" Energies 12, no. 8: 1498. https://doi.org/10.3390/en12081498
APA StyleSánchez-García, D., Bienvenido-Huertas, D., Tristancho-Carvajal, M., & Rubio-Bellido, C. (2019). Adaptive Comfort Control Implemented Model (ACCIM) for Energy Consumption Predictions in Dwellings under Current and Future Climate Conditions: A Case Study Located in Spain. Energies, 12(8), 1498. https://doi.org/10.3390/en12081498

