Influence of Asymmetric Coil Parameters on the Output Power Characteristics of Wireless Power Transfer Systems and Their Applications
Abstract
1. Introduction
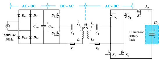
2. Modeling of Asymmetric WPT System
3. Analysis of Maximum Output Power of Asymmetric WPT System
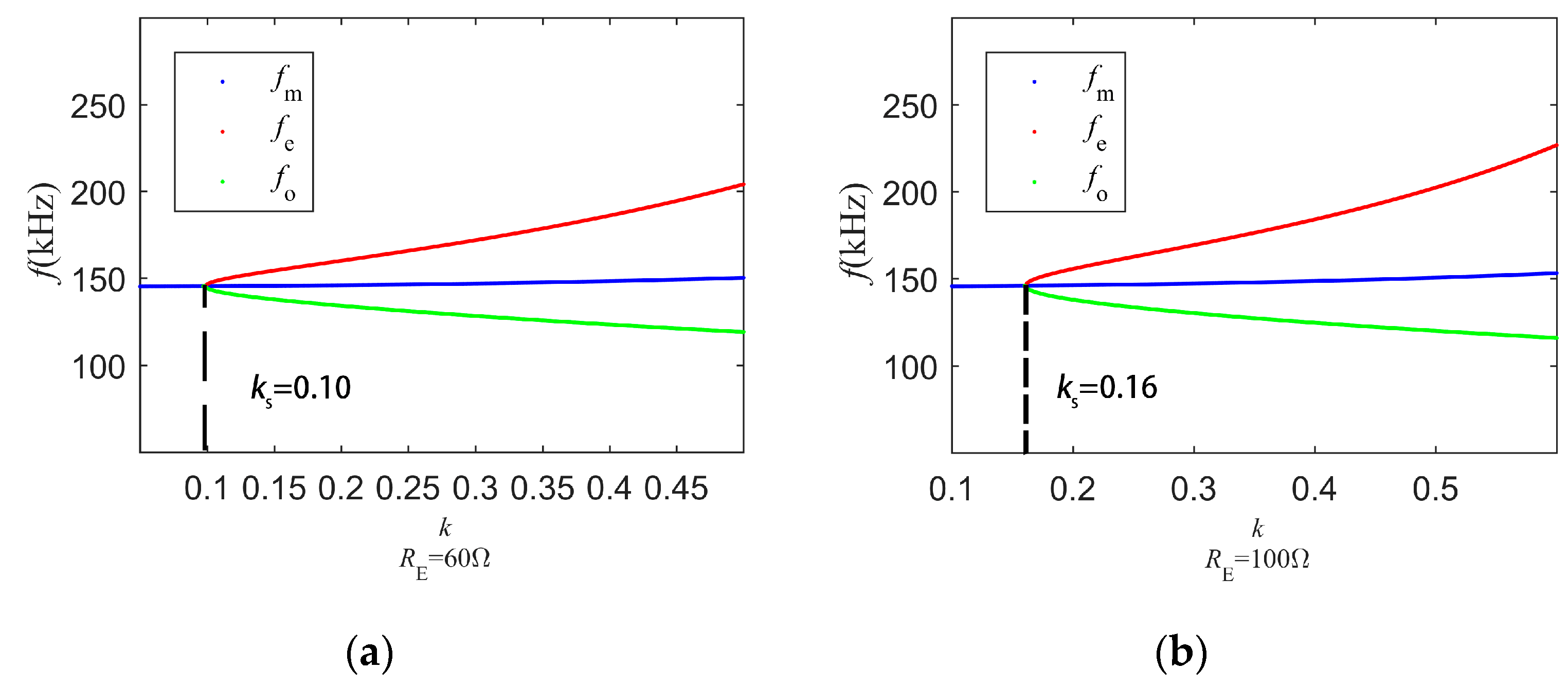
3.1. Output Power for Symmetric Cases
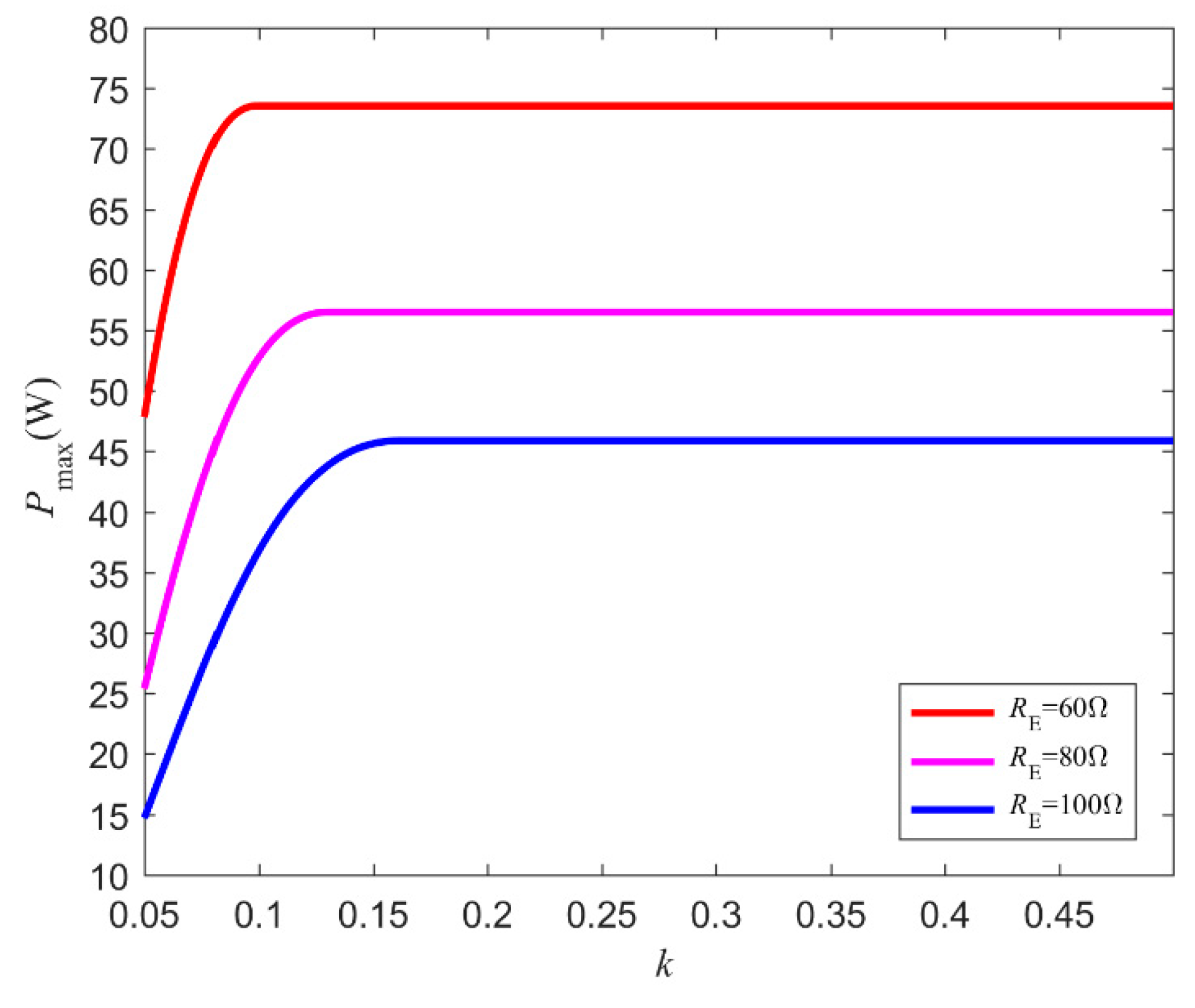
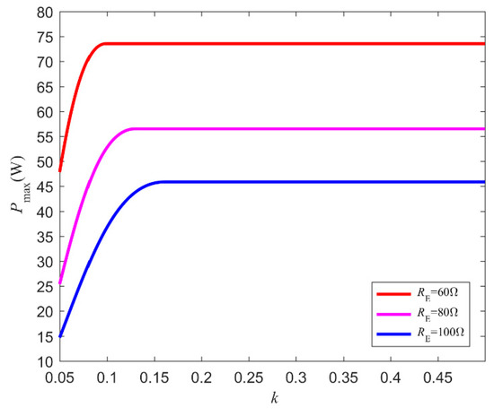
3.2. Output Power for Asymmetric Cases
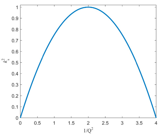
3.2.1. The Case where ω1 = ω2
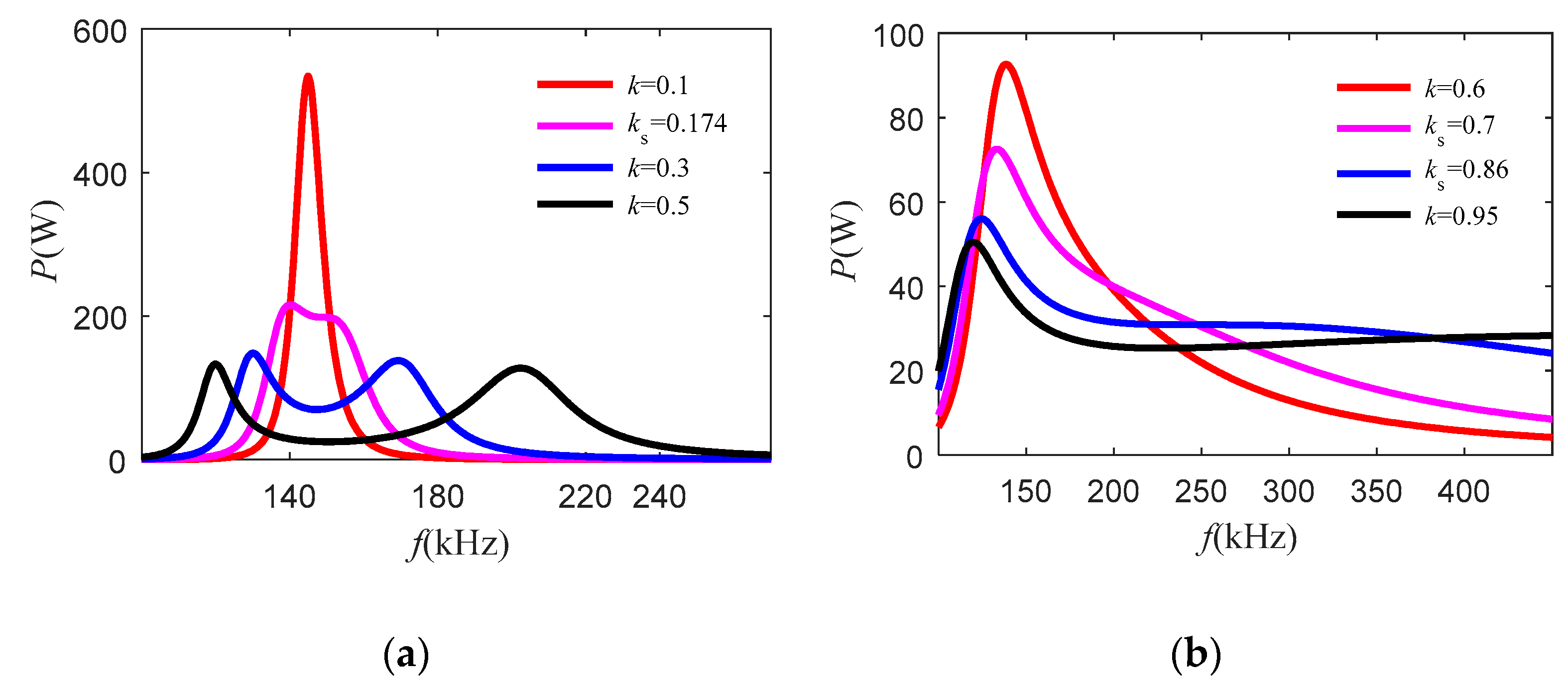
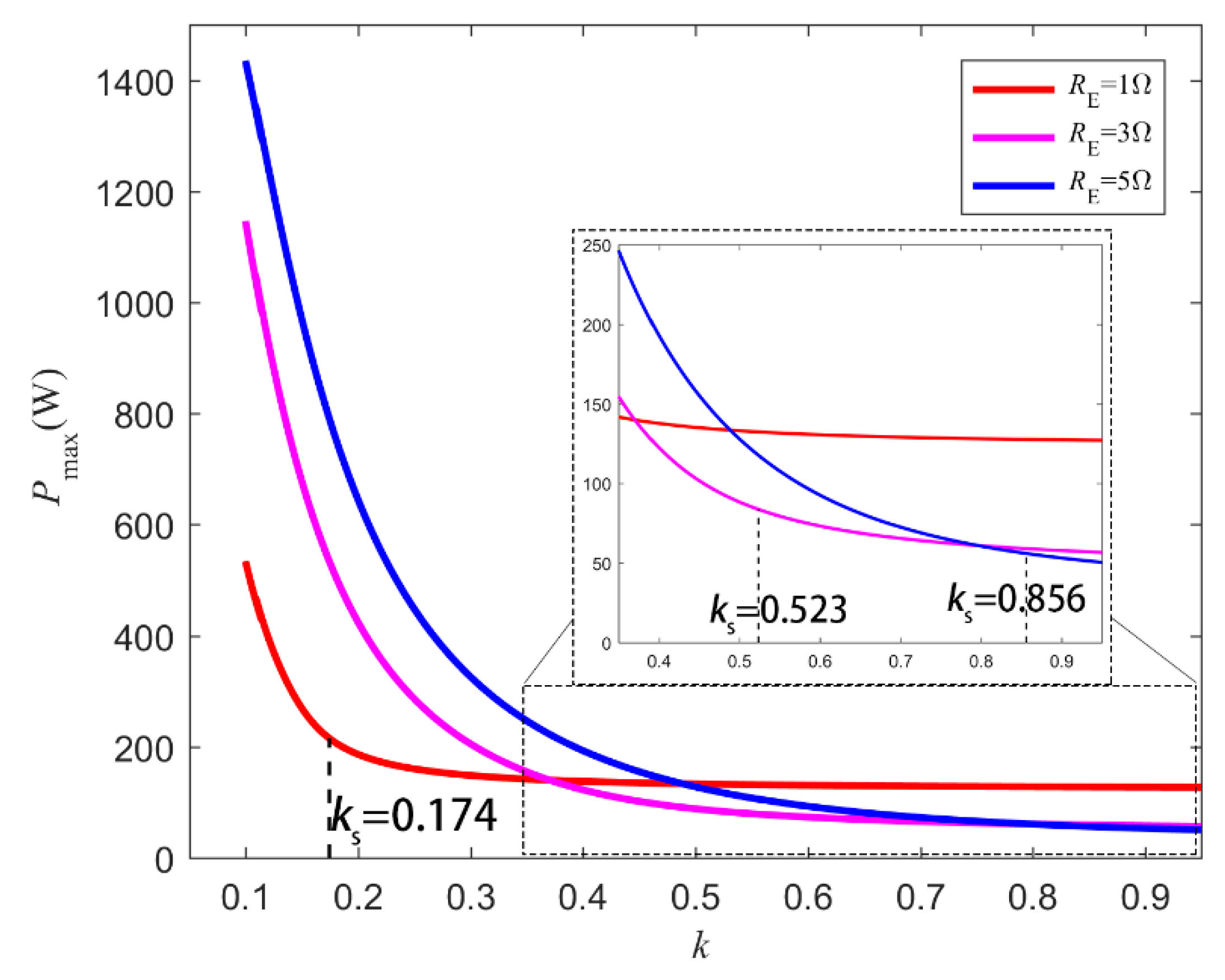
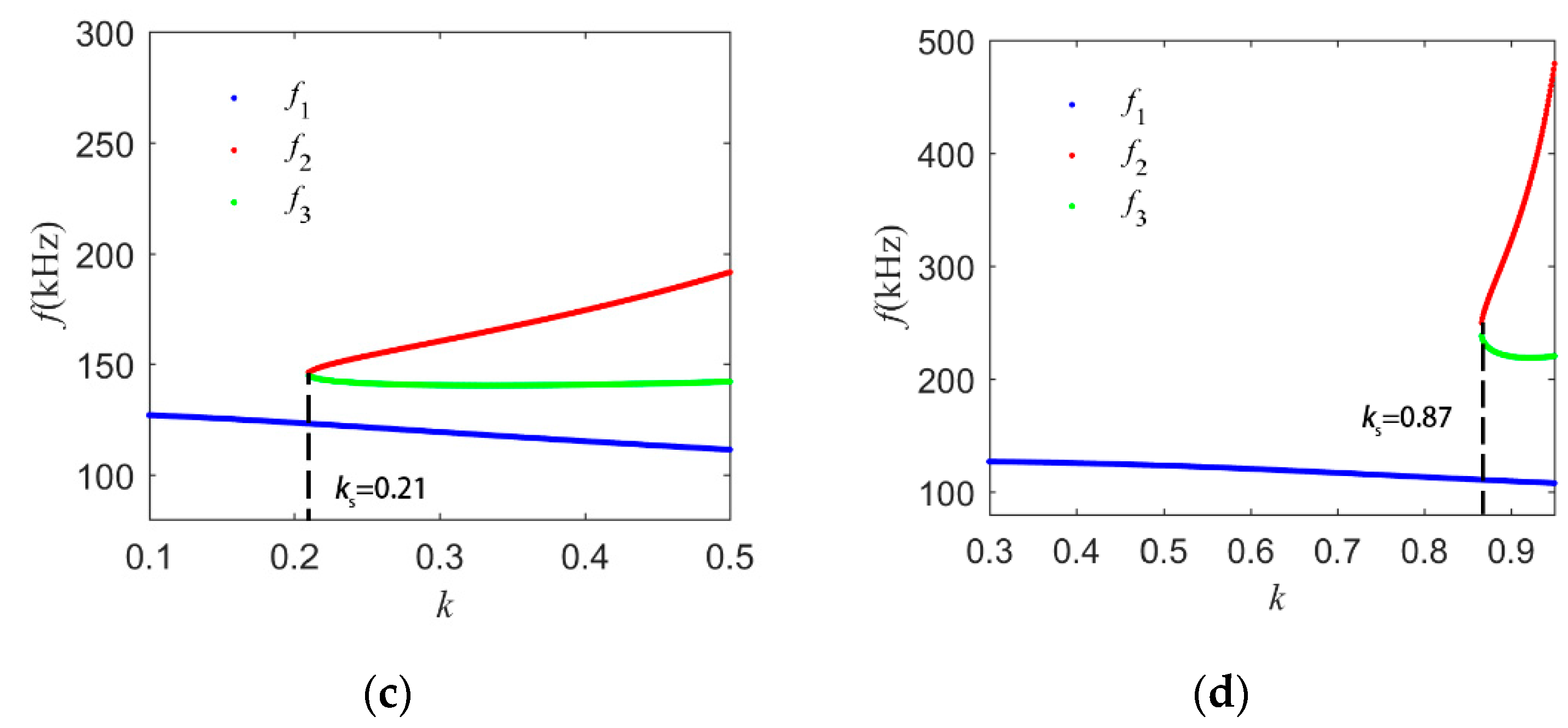
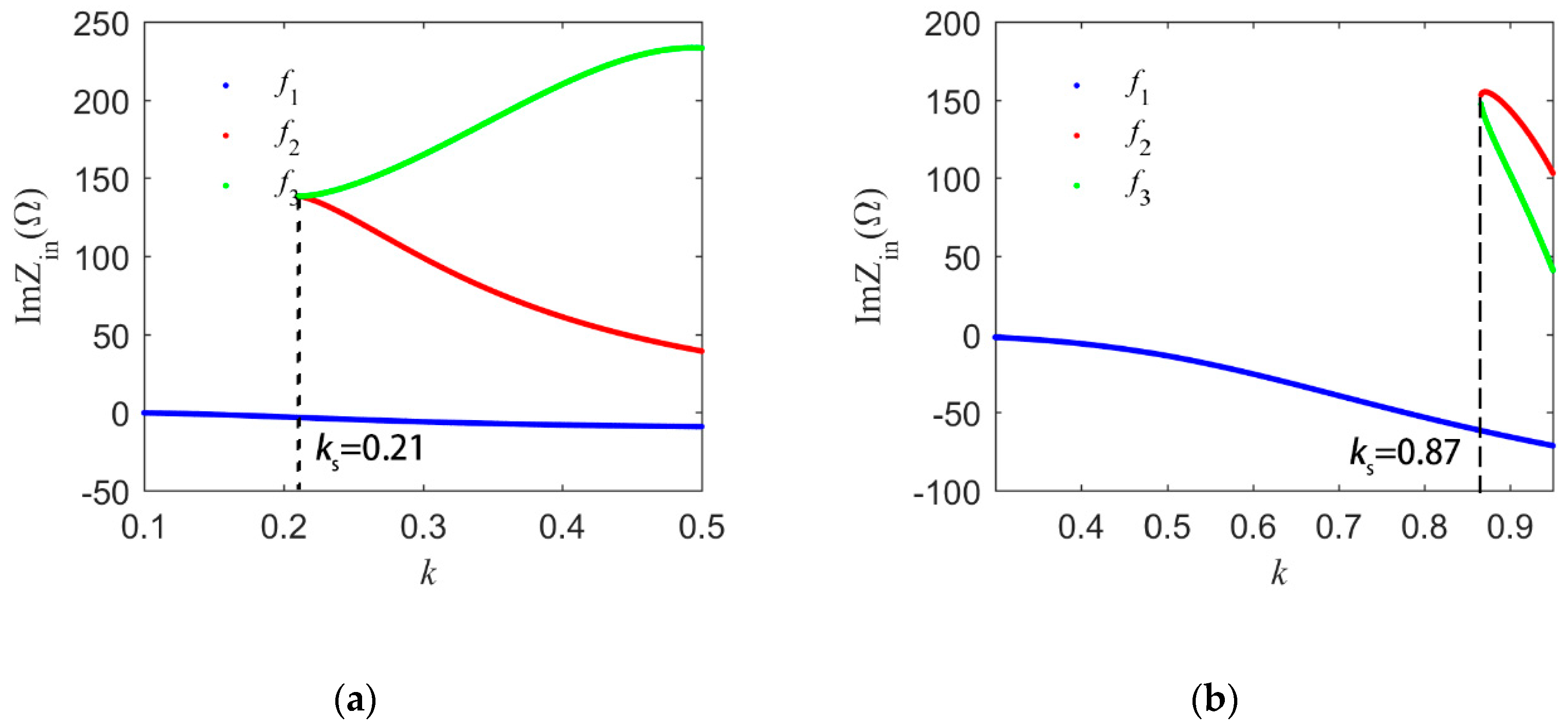
3.2.2. The case where ω1 ≠ ω2
4. Experimental Validation
4.1. Prototype Description
4.2. Experimental Results
5. Discussion and Conclusions
Author Contributions
Funding
Conflicts of Interest
References
- Hui, S.Y.R.; Zhong, W.; Lee, C.K. A critical review of recent progress in mid-range wireless power transfer. IEEE Trans. Power Electron. 2014, 29, 4500–4511. [Google Scholar] [CrossRef]
- Triviño-Cabrera, A.; Sánchez, J. A Review on the Fundamentals and Practical Implementation Details of Strongly Coupled Magnetic Resonant Technology for Wireless Power Transfer. Energies 2018, 11, 2844. [Google Scholar] [CrossRef]
- Hsieh, Y.C.; Lin, Z.R.; Chen, M.C.; Hsieh, H.C.; Liu, Y.C.; Chiu, H.J. High-Efficiency Wireless Power Transfer System for Electric Vehicle Applications. IEEE Trans. Circuits Syst. II: Express Briefs 2017, 64, 942–946. [Google Scholar] [CrossRef]
- Zhang, W.; White, J.C.; Abraham, A.M.; Mi, C.C. Loosely coupled transformer structure and interoperability study for EV wireless charging systems. IEEE Trans. Power Electron. 2015, 30, 6356–6367. [Google Scholar] [CrossRef]
- Tang, S.C.; Lun, T.L.T.; Guo, Z.; Kwok, K.W.; McDannold, N.J. Intermediate range wireless power transfer with segmented coil transmitters for implantable heart pumps. IEEE Trans. Power Electron. 2017, 32, 3844–3857. [Google Scholar] [CrossRef]
- Ahn, D.; Ghovanloo, M. Optimal Design of Wireless Power Transmission Links for Millimeter-Sized Biomedical Implants. IEEE Trans. Biomed. Circuits Syst. 2016, 10, 125–137. [Google Scholar] [CrossRef]
- Bana, V.; Kerber, M.; Anderson, G.; Rockway, J.D.; Phipps, A. Underwater wireless power transfer for maritime applications. In Proceedings of the 2015 Wireless Power Transfer Conference (WPTC), Boulder, CO, USA, 13–15 May 2015. [Google Scholar] [CrossRef]
- Yan, Z.; Zhang, Y.; Song, B.; Zhang, K.; Kan, T.; Mi, C. An LCC-P Compensated Wireless Power Transfer System with a Constant Current Output and Reduced Receiver Size. Energies 2019, 12, 172. [Google Scholar] [CrossRef]
- Zhou, J.; Zhang, B.; Xiao, W.; Qiu, D.; Chen, Y. Nonlinear Parity-Time-Symmetric Model for Constant Efficiency Wireless Power Transfer: Application to a Drone-in-Flight Wireless Charging Platform. IEEE Trans. Ind. Electron. 2019, 66, 4097–4107. [Google Scholar] [CrossRef]
- Song, C.; Kim, H.; Kim, Y.; Kim, D.; Jeong, S.; Cho, Y.; Kim, J. EMI Reduction Methods in Wireless Power Transfer System for Drone Electrical Charger Using Tightly Coupled Three-Phase Resonant Magnetic Field. IEEE Trans. Ind. Electron. 2018, 65, 6839–6849. [Google Scholar] [CrossRef]
- Nam, I.I.; Dougal, R.A.; Santi, E. Novel unity-gain frequency tracking control of series–series resonant converter to improve efficiency and receiver positioning flexibility in wireless charging of portable electronics. IEEE Trans. Ind. Appl. 2015, 51, 385–397. [Google Scholar] [CrossRef]
- Liu, H.; Huang, X.; Tan, L.; Guo, J.; Wang, W.; Yan, C.; Xu, C. Dynamic Wireless Charging for Inspection Robots Based on Decentralized Energy Pickup Structure. IEEE Trans. Ind. Inform. 2018, 14, 1786–1797. [Google Scholar] [CrossRef]
- Kurs, A.; Kaealis, A.; Moffatt, R.; Joannopoulos, J.D.; Fisher, P.; Soljacic, M. Wireless power transfer via strongly coupled magnetic resonances. Science 2007, 317, 83–86. [Google Scholar] [CrossRef]
- Chen, C.; Zhou, H.; Deng, Q.; Luo, X. Nonlinear modeling and feedback control of WPT system via magnetic resonant coupling considering continuous dynamic tuning. In Proceedings of the 2017 Chinese Automation Congress (CAC), Jinan, China, 20–22 October 2017. [Google Scholar] [CrossRef]
- Li, H.; Wang, K.; Huang, L.; Chen, W.; Yang, X. Dynamic modeling based on coupled modes for wireless power transfer systems. IEEE Trans. Power Electron. 2015, 30, 6245–6253. [Google Scholar] [CrossRef]
- Niu, W.Q.; Gu, W.; Chu, J.X.; Shen, A.D. Coupled-mode analysis of frequency splitting phenomena in CPT systems. Electron. Lett. 2012, 48, 723–724. [Google Scholar] [CrossRef]
- Sample, A.P.; Meyer, D.T.; Smith, J.R. Analysis, experimental results, and range adaptation of magnetically coupled resonators for wireless power transfer. IEEE Trans. Ind. Electron. 2011, 58, 544–554. [Google Scholar] [CrossRef]
- Li, Z.; Zhu, C.; Jiang, J.; Song, K.; Wei, G. A 3-kW wireless power transfer system for sightseeing car supercapacitor charge. IEEE Trans. Power Electron. 2017, 32, 3301–3316. [Google Scholar] [CrossRef]
- Li, H.; Yang, X.; Wang, K.; Dong, X. Study on efficiency maximization design principles for wireless power transfer system using magnetic resonant coupling. In Proceedings of the 2013 ECCE Asia Downunder (ECCE Asia), Melbourne, VIC, Australia, 3–6 June 2013. [Google Scholar] [CrossRef]
- Hui, S.Y. Planar wireless charging technology for portable electronic products and Qi. Proc. IEEE 2013, 101, 1290–1301. [Google Scholar] [CrossRef]
- Kim, J.; Kim, D.-H.; Park, Y.-J. Analysis of Capacitive Impedance Matching Networks for Simultaneous Wireless Power Transfer to Multiple Devices. IEEE Trans. Ind. Electron. 2015, 62, 2807–2813. [Google Scholar] [CrossRef]
- Kim, J.; Kim, D.H.; Park, Y.J. Free-positioning wireless power transfer to multiple devices using a planar transmitting coil and switchable impedance matching networks. IEEE Trans. Microw. Theory Tech. 2016, 64, 3714–3722. [Google Scholar] [CrossRef]
- Kurs, A.; Moffatt, R.; Soljačić, M. Simultaneous mid-range power transfer to multiple devices. Appl. Phys. Lett. 2010, 96, 044102. [Google Scholar] [CrossRef]
- Li, Y.; Song, K.; Li, Z.; Jiang, J.; Zhu, C. Optimal Efficiency Tracking Control Scheme Based on Power Stabilization for a Wireless Power Transfer System with Multiple Receivers. Energies 2018, 11, 1232. [Google Scholar] [CrossRef]
- Huang, R.; Zhang, B.; Qiu, D.; Zhang, Y. Frequency splitting phenomena of magnetic resonant coupling wireless power transfer. IEEE Trans. Magn. 2014, 50, 1–4. [Google Scholar] [CrossRef]
- Niu, W.Q.; Chu, J.X.; Gu, W.; Shen, A.D. Exact analysis of frequency splitting phenomena of contactless power transfer systems. IEEE Trans. Circuits Syst. I: Regul. Pap. 2013, 60, 1670–1677. [Google Scholar] [CrossRef]
- Li, H.; Li, J.; Wang, K.; Chen, W.; Yang, X. A maximum efficiency point tracking control scheme for wireless power transfer systems using magnetic resonant coupling. IEEE Trans. Power Electron. 2015, 30, 3998–4008. [Google Scholar] [CrossRef]
- Sîrbu, I.G.; Mandache, L. On the power transfer in series-series magnetically coupled circuits with non-matched natural frequencies. In Proceedings of the 2016 Applied and Theoretical Electricity (ICATE), Craiova, Romania, 6–8 October 2016. [Google Scholar] [CrossRef]
- Li, X.; Li, Y.P.; Tsui, C.Y.; Ki, W.H. Wireless Power Transfer System With ∑∆-Modulated Transmission Power and Fast Load Response for Implantable Medical Devices. IEEE Trans. Circuits Syst. II: Express Briefs 2017, 64, 279–283. [Google Scholar] [CrossRef]
- Cai, H.; Shi, L.; Li, Y. Harmonic-based phase-shifted control of inductively coupled power transfer. IEEE Trans. Power Electron. 2014, 29, 594–602. [Google Scholar] [CrossRef]
- Diekhans, T.; De Doncker, R.W. A dual-side controlled inductive power transfer system optimized for large coupling factor variations and partial load. IEEE Trans. Power Electron. 2015, 30, 6320–6328. [Google Scholar] [CrossRef]
- Wang, C.S.; Covic, G.A.; Stielau, O.H. Power transfer capability and bifurcation phenomena of loosely coupled inductive power transfer systems. IEEE Trans. Ind. Electron. 2004, 51, 148–157. [Google Scholar] [CrossRef]
- Jiang, Y.; Zhang, B. High-Power Fractional-Order Capacitor With 1 < α < 2 Based on Power Converter. IEEE Trans. Ind. Electron. 2018, 65, 3157–3164. [Google Scholar] [CrossRef]
- Wireless Power Consortium-Qi specification 1.2.3. Available online: https://www.wirelesspowerconsortium.com/knowledge-base/specifications/download-the-qi-specifications.html (accessed on 26 January 2017).
- Jan, G. Mathematics: From the Birth of Numbers; Norton: New York, NY, USA, 1997; pp. 320–324. [Google Scholar]
- Quartic Equation. Available online: http://mathworld.wolfram.com/QuarticEquation.html (accessed on 2 March 2019).
- Lyu, Y.L.; Meng, F.Y.; Yang, G.H.; Che, B.J.; Wu, Q.; Sun, L.; Li, J.L.W. A method of using nonidentical resonant coils for frequency splitting elimination in wireless power transfer. IEEE Trans. Power Electron. 2015, 30, 6097–6107. [Google Scholar] [CrossRef]
- Schmidt, C.; Buchholz, M. Extended Discussion on Non-Identical Planar Resonant Coils for Frequency Splitting Elimination. In Wireless Power Transfer Systems. Proceedings of the Smart SysTech 2016; European Conference on Smart Objects, Systems and Technologies, Duisburg, Germany, 7–8 June 2016; VDE: Berlin, Germany, 2016. [Google Scholar]




















| RE = 1 Ω | RE = 5 Ω | |||||||
|---|---|---|---|---|---|---|---|---|
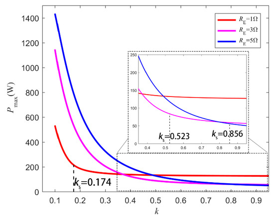
| k | 0.10 | 0.174 (ks) | 0.30 | 0.50 | 0.60 | 0.70 | 0.86 (ks) | 0.95 |
| Pmax (W) | 534.17 | 215.57 | 148.31 | 133.13 | 92.66 | 72.54 | 56.04 | 50.45 |
| fmax (kHz) | 144.96 | 140.15 | 130.03 | 119.92 | 138.53 | 133.25 | 124.48 | 119.77 |
| RE = 1 Ω | RE = 5 Ω | ||||||||
|---|---|---|---|---|---|---|---|---|---|
| ω1 > ω2 | k | 0.10 | 0.23 (ks) | 0.30 | 0.50 | 0.50 | 0.70 | 0.82 (ks) | 0.90 |
| Pmax (W) | 762.52 | 262.56 | 209.17 | 153.60 | 104.33 | 54.60 | 42.70 | 38.65 | |
| fmax (kHz) | 162.12 | 172.71 | 180.62 | 213.98 | 162.01 | 152.48 | 140.29 | 134.31 | |
| ω1 < ω2 | k | 0.15 | 0.21 (ks) | 0.30 | 0.50 | 0.40 | 0.70 | 0.87 (ks) | 0.95 |
| Pmax (W) | 753.58 | 521.42 | 369.86 | 261.75 | 264.61 | 108.45 | 83.58 | 75.91 | |
| fmax (kHz) | 125.49 | 123.22 | 119.38 | 111.42 | 125.59 | 116.95 | 110.84 | 107.85 | |
| Symbol | Note | Value/Unit |
|---|---|---|
| L1 | transmitting coil inductance | 698/μH |
| C1 | transmitting capacitance | 2.2/nF |
| r1 | transmitting coil resistance | 3.1/Ω |
| L2 | receiving coil inductance | 5.2/μH |
| C2 | receiving capacitance | 235/nF |
| r2 | receiving coil resistance | 50/mΩ |
| f | operating frequency | 145/kHz |
| d | distance between coils | 12/mm |
| k | coupling coefficient | 0.41 |
© 2019 by the authors. Licensee MDPI, Basel, Switzerland. This article is an open access article distributed under the terms and conditions of the Creative Commons Attribution (CC BY) license (http://creativecommons.org/licenses/by/4.0/).
Share and Cite
Guan, Z.; Zhang, B.; Qiu, D. Influence of Asymmetric Coil Parameters on the Output Power Characteristics of Wireless Power Transfer Systems and Their Applications. Energies 2019, 12, 1212. https://doi.org/10.3390/en12071212
Guan Z, Zhang B, Qiu D. Influence of Asymmetric Coil Parameters on the Output Power Characteristics of Wireless Power Transfer Systems and Their Applications. Energies. 2019; 12(7):1212. https://doi.org/10.3390/en12071212
Chicago/Turabian StyleGuan, Zhipeng, Bo Zhang, and Dongyuan Qiu. 2019. "Influence of Asymmetric Coil Parameters on the Output Power Characteristics of Wireless Power Transfer Systems and Their Applications" Energies 12, no. 7: 1212. https://doi.org/10.3390/en12071212
APA StyleGuan, Z., Zhang, B., & Qiu, D. (2019). Influence of Asymmetric Coil Parameters on the Output Power Characteristics of Wireless Power Transfer Systems and Their Applications. Energies, 12(7), 1212. https://doi.org/10.3390/en12071212

