Energy Analysis of 4625 Office Buildings in South Korea
Abstract
1. Introduction
2. Question #1: Do Old Buildings Consume More Energy than New Buildings?
3. Question #2: Have Strict Prescriptive Building Energy Codes Contributed to a Reduction in EUI over the Past Several Decades?
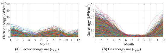
4. Question #3: What Are the Characteristics of Building Energy Consumption in Terms of Season, Age, and Cooling System?
- Step 1: Formulate two vectors of monthly electricity use (Ee,m) and monthly gas use (Eg,m), per building, where m = 1, 2,…, 12, representing the 12 months of the year.
- Step 2: Determine the electric and gas base energy (), respectively, where are defined as the minimum values of and , respectively. In other words, the electric and gas base energy are the lowest monthly electric and gas energy consumption amounts within a 12-month period, respectively. The base energies are assumed to represent plug load, lighting, elevators, etc. and are exclusive of heating and cooling energy.
- Step 3: Monthly cooling/heating electric energy () is defined as the difference between monthly electric energy consumption () and electric base energy (). Similarly, monthly cooling/heating gas energy () is defined as the difference between monthly gas energy consumption () and gas base energy ().
- Step 4: Because the Korean national building energy database does not include information on the type of chiller (electric versus absorption), the authors estimated the dominant cooling system per building based on the monthly gas energy consumption pattern (see panel (1) in Figure 5). If gas energy consumption during the cooling season (June to September) ( ) is greater than the median monthly gas energy consumption () over an entire year, building cooling is predominantly supported by absorption chiller(s). Otherwise, the dominant cooling system is assumed to be electric chiller(s). Based on the aforementioned assumption, the dominant cooling systems of 4625 office buildings were identified as shown in Figure 6 and Figure 7. For those buildings whose cooling was dominantly supported by electrical chillers, gas energy use from June to September was lower than in other months (Figure 6b) because gas was mainly used for domestic hot water in the heating season. In contrast, for buildings whose dominant cooling system was absorption chillers, gas energy consumption from June to September was far greater than in other months (Figure 7b). Although this provided a crude estimate, the results appeared to be reasonably acceptable for office buildings.
- Step 5: The authors categorized 4625 buildings into three groups based on the quantiles of the building ages of the 4625 investigated buildings: Vintage 1, 25% quantile (building age less than 15 years); Vintage 2, 25–75% quantile (15–29 years); and Vintage 3, 75% quantile (older than 29 years) (see panel (6) in Figure 5).
5. Question #4: Which Factors in the Korean Building Energy Database are Relevant to Building Energy Consumption?
6. Conclusions
- In contrast to the common assumption that newer buildings consume less energy in terms of EUI (kwh/m2.year) than do old buildings, the office building age in Seoul, Korea, showed a near-negligible relationship with EUI (R2 of building age versus EUI by district: 0.00019–0.13).
- Korean building energy codes have been intensified since the 1980s. However, the prescriptive building energy codes do not appear to have contributed to building energy reductions. Therefore, “blind belief” or “confirmation bias” appears to have attributed the intensification of prescriptive building energy codes directly to building energy efficiency improvements. Alternatively, it can be understood as a rebound effect. However, this needs further investigation with regard to thermal comfort and energy use in new and old buildings.
- The annual sum of the monthly total energy consumption is more correlated to base energy (e.g., energy used for plug load, lighting, and elevators, exclusive of heating and cooling energy) than to heating and cooling energy. In other words, the greater EUI is the result of greater base energy.
- The building factors (i.e., district, year built, number of floors, number of elevators, and total floor area) currently provided in the Korean building energy database do not adequately explain annual total energy consumption. Therefore, more meaningful information (e.g., net floor area, building orientation, window-to-wall ratios, U-values of building envelopes, operational hours, indoor temperatures, shades, and controls of heating and cooling systems) should be included in the database.
Author Contributions
Funding
Acknowledgments
Conflicts of Interest
References
- Wu, Z.; Wang, B.; Xia, X. Large-scale building energy efficiency retrofit: Concept, model and control. Energy 2016, 109, 456–465. [Google Scholar] [CrossRef]
- Liu, W.; Zhang, J.; Bluemling, B.; Mol, A.P.J.; Wang, C. Public participation in energy saving retrofitting of residential buildings in China. Appl. Energy 2015, 147, 287–296. [Google Scholar] [CrossRef]
- LEED. Available online: https://new.usgbc.org/leed (accessed on 23 January 2019).
- Energy Star. Available online: https://www.energystar.gov (accessed on 23 January 2019).
- BREEAM. Available online: https://www.breeam.com (accessed on 23 January 2019).
- E.U. Energy Performance Certificate. Available online: https://ec.europa.eu/energy/en/topics/energy-efficiency/buildings/certificates-and-inspections (accessed on 23 January 2019).
- HK-BEAM. Available online: https://www.beamsociety.org.hk (accessed on 23 January 2019).
- Annex 46, Holistic assessment tool-kit on energy efficient retrofit measures for government buildings. Available online: www.annex46.de/index_e.html (accessed on 23 January 2019).
- Annex 50, Prefabricated systems for low energy renovation of residential buildings. Available online: www.buildup.eu/en/explore/links/iea-ecbcs-annex-50-prefabricated-systems-low-energy-renovation-residential-buildings (accessed on 23 January 2019).
- Annex 55, Reliability of energy efficient building retrofitting-probability assessment of performance & cost. Available online: https://nachhaltigwirtschaften.at/en/iea/technologyprogrammes/ebc/iea-ebc-annex-55.php (accessed on 23 January 2019).
- Annex 56, Cost-effective energy and carbon emission optimizing in building renovation. Available online: http://www.iea-annex56.org (accessed on 23 January 2019).
- U.S. Department of Energy, Building Performance Database. Available online: https://energy.gov/eere/buildings/building-performance-database (accessed on 23 January 2019).
- U.S. Energy Information Administration, Commercial Building Energy Consumption Survey. Available online: https://www.eia.gov/consumption/commercial (accessed on 23 January 2019).
- U.S. Energy Information Administration, Residential Energy Consumption Survey. Available online: https://www.eia.gov/consumption/residential (accessed on 23 January 2019).
- California Energy End-Use Survey. Available online: https://www.energy.ca.gov/ceus (accessed on 23 January 2019).
- U.S. Department of Energy, Building Energy Data Exchange Specification. Available online: https://www.energy.gov/eere/buildings/building-energy-data-exchange-specification-bedes (accessed on 23 January 2019).
- Brown, R.E.; Walter, T.; Dunn, L.N.; Custodio, C.Y.; Mathew, P.A.; Berkeley, L. Getting real with energy data: Using the buildings performance database to support data-driven analyses and decision-making. In Proceedings of the ACEEE summer study on energy efficiency in buildings, Pacific Grove, CA, USA, 17 August 2014. [Google Scholar]
- E.U. Building Stock Observatory. Available online: https://ec.europa.eu/energy/en/eubuildings (accessed on 23 January 2019).
- Arcipowska, A.; Mariottini, F. Role of the EU building stock observatory in evaluation of the building policies. In Proceedings of the International Energy Policy & Programme Evaluation Conference, Amsterdam, The Netherlands, 7 June 2016. [Google Scholar]
- Building data public open system. Available online: http://open.eais.go.kr (accessed on 23 January 2019). (In Korean).
- KEMCO. Available online: http://www.kemco.or.kr/web/kem_home_new/ener_efficiency/building_03.asp (accessed on 23 January 2019). (In Korean).
- Park, D.J.; Yu, K.H.; Yoon, Y.S.; Kim, K.H.; Kim, S.S. Analysis of a Building Energy Efficiency Certification System in Korea. Sustainability 2015, 7, 16086–16107. [Google Scholar] [CrossRef]
- Galvin, R. Making the ’rebound effect’ more useful for performance evaluation of thermal retrofits of existing homes: Defining the ’energy savings deficit’ and the ’energy performance gap’. Energy Build. 2014, 69, 515–524. [Google Scholar] [CrossRef]
- Sunikka-Blank, M.; Galvin, R. Introducing the prebound effect: The gap between performance and actual energy consumption. Build. Res. Inf. 2012, 40, 260–273. [Google Scholar] [CrossRef]
- Guerra Santin, O. Occupant behavior in energy efficient dwellings: Evidence of a rebound effect. J. Hous. Built. Environ. 2013, 28, 311–327. [Google Scholar] [CrossRef]
- de Wilde, P. The gap between predicted and measured energy performance of buildings: A framework for investigation. Automat. Constr. 2014, 41, 40–49. [Google Scholar] [CrossRef]














| District | Number of Buildings | Year Built | Annual Total (Electric + Gas)Energy Consumption [kWh/m2·year] | ||||||||
|---|---|---|---|---|---|---|---|---|---|---|---|
| Quantile | Mean | Standard Deviation | Quantile | Mean | Standard Deviation | ||||||
| 25th | 50th | 75th | 25th | 50th | 75th | ||||||
| Dobong | 45 | 1996 | 2003 | 2005 | 2001 | 7 | 125 | 152 | 174 | 152 | 44 |
| Dongdaemun | 77 | 1987 | 1994 | 2004 | 1996 | 11 | 104 | 138 | 165 | 139 | 50 |
| Dongjak | 45 | 1990 | 1997 | 2003 | 1997 | 10 | 139 | 170 | 203 | 178 | 66 |
| Eunpyeong | 106 | 2002 | 2003 | 2004 | 2002 | 8 | 135 | 157 | 185 | 161 | 44 |
| Gangbook | 52 | 1990 | 1997 | 2003 | 1996 | 10 | 132 | 153 | 193 | 161 | 52 |
| Gangdong | 104 | 1992 | 1998 | 2004 | 1998 | 8 | 128 | 154 | 193 | 167 | 71 |
| Gangseo | 188 | 1997 | 2002 | 2004 | 2001 | 7 | 126 | 149 | 175 | 152 | 46 |
| Gangnam | 1024 | 1991 | 1995 | 2004 | 1997 | 9 | 129 | 165 | 209 | 176 | 66 |
| Geumcheon | 61 | 1996 | 2004 | 2007 | 2001 | 10 | 111 | 155 | 195 | 155 | 57 |
| Guro | 126 | 1991 | 2003 | 2008 | 2000 | 10 | 110 | 150 | 171 | 151 | 54 |
| Gwanak | 392 | 2002 | 2003 | 2004 | 2002 | 5 | 157 | 177 | 212 | 187 | 52 |
| Gwangjin | 96 | 1992 | 2000 | 2004 | 1999 | 9 | 113 | 143 | 169 | 150 | 60 |
| Jongro | 179 | 1983 | 1991 | 2002 | 1991 | 12 | 136 | 167 | 203 | 173 | 56 |
| Junggu | 282 | 1971 | 1986 | 1999 | 1986 | 15 | 132 | 170 | 217 | 179 | 70 |
| Jungnang | 43 | 1996 | 2003 | 2004 | 2000 | 7 | 139 | 166 | 189 | 162 | 46 |
| Mapo | 260 | 1991 | 2002 | 2004 | 1998 | 9 | 131 | 161 | 191 | 165 | 54 |
| Nowon | 54 | 1990 | 2000 | 2004 | 1998 | 7 | 131 | 164 | 205 | 178 | 69 |
| Seocho | 578 | 1991 | 1994 | 2003 | 1996 | 8 | 126 | 158 | 201 | 171 | 63 |
| Seodaemun | 70 | 1992 | 2003 | 2005 | 1999 | 10 | 130 | 160 | 198 | 167 | 58 |
| Seongbuk | 96 | 1988 | 2000 | 2004 | 1996 | 13 | 132 | 160 | 190 | 164 | 52 |
| Seongdong | 92 | 1990 | 1998 | 2006 | 1998 | 11 | 116 | 143 | 180 | 152 | 60 |
| Songpa | 240 | 1991 | 1994 | 2003 | 1996 | 7 | 130 | 157 | 195 | 166 | 62 |
| Yangcheon | 78 | 1996 | 2002 | 2004 | 2001 | 7 | 86 | 119 | 171 | 130 | 54 |
| Yeongdeungpo | 285 | 1991 | 2001 | 2005 | 1998 | 10 | 121 | 149 | 180 | 155 | 53 |
| Yongsan | 92 | 1988 | 1994 | 2004 | 1995 | 11 | 127 | 149 | 188 | 164 | 61 |
| Total (Seoul) | 4625 | 1991 | 1998 | 2004 | 1997 | 10 | 128 | 160 | 198 | 168 | 61 |
| Building Envelopes | Year | W/m2·K |
|---|---|---|
| U-values of exterior walls | 1992 | 0.58 |
| 2001 | 0.47 | |
| 2010 | 0.36 | |
| 2013 | 0.27 | |
| U-values of exterior windows | 2001 | 3.84 |
| 2008 | 3.40 | |
| 2010 | 2.40 | |
| 2013 | 2.10 |
| Dominant Cooling System | Building Age Group | Statistics | Base | Annual Total | |||||||||||||
|---|---|---|---|---|---|---|---|---|---|---|---|---|---|---|---|---|---|
| 1 | 2 | 3 | 4 | 5 | 6 | 7 | 8 | 9 | 10 | 11 | 12 | Sum | |||||
| Electric chiller | Vintage 1 | Median | 15.9 | 13.3 | 10.3 | 5.9 | 2.3 | 1.7 | 1.9 | 2.8 | 2.1 | 1.4 | 4.4 | 10.2 | 74.5 | 71.2 | 148.2 |
| Mean | 16.3 | 13.8 | 10.5 | 6.4 | 2.7 | 2.0 | 2.4 | 3.4 | 2.6 | 1.9 | 5.2 | 10.8 | 77.8 | 76.8 | 154.7 | ||
| Standard Deviation | 6.9 | 6.0 | 4.9 | 3.6 | 2.0 | 1.4 | 1.8 | 2.1 | 1.8 | 1.7 | 3.8 | 5.5 | 30.0 | 38.2 | 53.8 | ||
| Vintage 2 | Median | 17.1 | 14.5 | 10.8 | 6.3 | 2.1 | 1.7 | 2.1 | 3.1 | 2.3 | 1.3 | 3.6 | 9.7 | 78.8 | 71.6 | 156.4 | |
| Mean | 17.1 | 14.6 | 11.0 | 6.7 | 2.5 | 2.0 | 2.6 | 3.7 | 2.8 | 1.8 | 4.9 | 10.7 | 80.4 | 83.0 | 163.3 | ||
| Standard Deviation | 7.5 | 6.6 | 5.6 | 4.0 | 2.1 | 1.5 | 1.9 | 2.3 | 1.9 | 1.9 | 4.4 | 6.4 | 34.2 | 48.6 | 65.6 | ||
| Vintage 3 | Median | 13.7 | 11.1 | 7.9 | 3.8 | 1.0 | 2.0 | 3.3 | 4.4 | 3.1 | 0.9 | 2.5 | 7.7 | 65.5 | 86.1 | 154.5 | |
| Mean | 14.8 | 11.9 | 8.8 | 4.8 | 1.7 | 2.4 | 3.7 | 4.8 | 3.5 | 1.3 | 3.6 | 9.1 | 70.5 | 102.1 | 172.6 | ||
| Standard Deviation | 7.5 | 6.4 | 5.3 | 3.7 | 2.0 | 2.0 | 2.4 | 3.0 | 2.4 | 1.8 | 3.6 | 6.0 | 33.7 | 72.1 | 92.1 | ||
| Absorption chiller | Vintage 1 | Median | 11.0 | 9.4 | 6.0 | 3.1 | 0.8 | 3.3 | 6.2 | 7.8 | 6.0 | 1.9 | 1.8 | 5.5 | 67.9 | 90.4 | 165.9 |
| Mean | 12.1 | 10.6 | 7.1 | 4.7 | 1.7 | 4.2 | 7.3 | 9.0 | 7.7 | 3.3 | 2.7 | 6.7 | 77.2 | 101.4 | 178.6 | ||
| Standard Deviation | 8.1 | 7.7 | 5.9 | 5.2 | 2.7 | 3.8 | 5.3 | 6.1 | 5.9 | 3.6 | 3.2 | 4.8 | 43.6 | 74.2 | 97.1 | ||
| Vintage 2 | Median | 14.1 | 11.8 | 8.3 | 5.0 | 1.1 | 3.3 | 8.4 | 10.3 | 8.2 | 2.3 | 1.2 | 5.8 | 86.1 | 86.4 | 176.7 | |
| Mean | 14.7 | 12.5 | 8.9 | 5.8 | 1.8 | 4.5 | 9.0 | 11.0 | 9.3 | 3.4 | 2.1 | 7.0 | 90.0 | 101.4 | 191.4 | ||
| Standard Deviation | 6.8 | 6.8 | 5.4 | 5.0 | 2.8 | 3.8 | 5.4 | 5.9 | 5.9 | 3.5 | 2.7 | 4.8 | 41.5 | 77.3 | 96.3 | ||
| Vintage 3 | Median | 13.5 | 10.1 | 7.3 | 3.0 | 1.2 | 4.4 | 8.5 | 9.8 | 7.1 | 1.3 | 1.9 | 6.6 | 83.7 | 102.0 | 186.3 | |
| Mean | 14.1 | 11.3 | 8.3 | 5.0 | 2.4 | 5.6 | 9.0 | 10.5 | 8.0 | 2.8 | 3.0 | 8.3 | 88.2 | 126.0 | 214.2 | ||
| Standard Deviation | 7.7 | 6.9 | 5.9 | 5.6 | 3.5 | 4.6 | 6.0 | 6.4 | 5.9 | 3.7 | 3.5 | 6.6 | 47.6 | 107.9 | 132.7 | ||
| Data | Statistics | Level 1 0–100 kWh/m2·year | Level 2 100–200 kWh/m2·year | Level 3 200–300 kWh/m2·year | Level 4 > 300 kWh/m2·year |
|---|---|---|---|---|---|
| Annual total energy [kWh/m2·year] | Median | 82.6 | 151.4 | 229.3 | 335.1 |
| Mean | 80.1 | 151.4 | 234.9 | 347.0 | |
| Standard Deviation | 15.0 | 26.3 | 26.5 | 43.0 | |
| Year built | Median | 1994 | 2001 | 1997 | 1992 |
| Mean | 1996 | 1998 | 1996 | 1992 | |
| Standard Deviation | 11 | 10 | 10 | 11 | |
| Number of floors | Median | 6.0 | 7.0 | 7.0 | 6.0 |
| Mean | 7.2 | 8.3 | 8.2 | 6.8 | |
| Standard Deviation | 3.5 | 3.6 | 3.5 | 2.8 | |
| Number of elevators | Median | 1.0 | 1.0 | 1.0 | 1.0 |
| Mean | 0.7 | 0.9 | 0.9 | 0.7 | |
| Standard Deviation | 0.8 | 0.8 | 0.9 | 0.7 | |
| Total floor area [m2] | Median | 2563 | 2710 | 2675 | 2423 |
| Mean | 4214 | 4289 | 4284 | 3487 | |
| Standard Deviation | 4240 | 4205 | 4192 | 3150 |
© 2019 by the authors. Licensee MDPI, Basel, Switzerland. This article is an open access article distributed under the terms and conditions of the Creative Commons Attribution (CC BY) license (http://creativecommons.org/licenses/by/4.0/).
Share and Cite
Ahn, K.U.; Shin, H.S.; Park, C.S. Energy Analysis of 4625 Office Buildings in South Korea. Energies 2019, 12, 1114. https://doi.org/10.3390/en12061114
Ahn KU, Shin HS, Park CS. Energy Analysis of 4625 Office Buildings in South Korea. Energies. 2019; 12(6):1114. https://doi.org/10.3390/en12061114
Chicago/Turabian StyleAhn, Ki Uhn, Han Sol Shin, and Cheol Soo Park. 2019. "Energy Analysis of 4625 Office Buildings in South Korea" Energies 12, no. 6: 1114. https://doi.org/10.3390/en12061114
APA StyleAhn, K. U., Shin, H. S., & Park, C. S. (2019). Energy Analysis of 4625 Office Buildings in South Korea. Energies, 12(6), 1114. https://doi.org/10.3390/en12061114
