Next Article in Journal
Evaluation of the Nitrous Oxide Emission Reduction Potential of an Aerobic Bioreactor Packed with Carbon Fibres for Swine Wastewater Treatment
Previous Article in Journal
Developing and Comparing Different Strategies for Combining Probabilistic Photovoltaic Power Forecasts in an Ensemble Method
 
 
Font Type:
Arial Georgia Verdana
Font Size:
Aa Aa Aa
Line Spacing:
Column Width:
Background:
Article

Optimization of Geometric Parameters of Thermal Insulation of Pre-Insulated Double Pipes

by
Dorota Anna Krawczyk
* and
Tomasz Janusz Teleszewski
Department of HVAC Engineering, Bialystok University of Technology, 15-351 Bialystok, Poland
*
Author to whom correspondence should be addressed.
Energies 2019, 12(6), 1012; https://doi.org/10.3390/en12061012
Submission received: 18 February 2019 / Revised: 10 March 2019 / Accepted: 11 March 2019 / Published: 15 March 2019
(This article belongs to the Section B: Energy and Environment)

Abstract

This paper presents the analysis of the heat conduction of pre-insulated double ducts and the optimization of the shape of thermal insulation by applying an elliptical shape. The shape of the cross-section of the thermal insulation is significantly affected by the thermal efficiency of double pre-insulated networks. The thickness of the insulation from the external side of the supply and return pipes affects the heat losses of the double pre-insulated pipes, while the distance between the supply and return pipes influences the heat flux exchanged between these ducts. An assumed elliptical shape with a ratio of the major axis to the minor half axis of an ellipse equaling 1.93 was compared to thermal circular insulation with the same cross-sectional area. All calculations were made using the boundary element method (BEM) using a proprietary computer program written in Fortran as part of the VIPSKILLS project.

1. Introduction

District heating networks and installations undoubtedly have an impact on the environment and the efficiency of primary energy use. The exemplary results of urban areas in Turin [1] show a significant reduction in NOx concentration as a result of the connection of residential heating systems to heating networks. Lower heat losses generated by heating networks also contribute to lower heat production at the source, and thus to a reduction in the level of pollutants entering the atmosphere. Currently, double pre-insulated in a common circular thermal insulation is most often used. Heating networks are the subject of many studies. Kudela et al. [2] presented a complex model of heat transfer in the elements of a heating network, which can be used to accurately control district heating networks. Bennet at al. [3] formulated a two-dimensional model of heat conduction in the cross-section of a pre-insulated conductor using the multipole method. Bøhm and Kristjansson [4] on the basis of calculated heat losses showed economic profitability of using pre-insulated double and triple pipes in relation to single pre-insulated pipes. In pre-insulated triple pipes, heat losses are about 45% lower than in single pre-insulated pipes [4]. Teleszewski and Zukowski [5] performed calculations for an aboveground pre-insulated network with Cassini oval shaped thermal insulation. The calculations were made for the outside temperature from −24 to 0 °C for the assumed Robin’s boundary condition. In the case of Cassini oval shape, average heat losses are smaller by about 14% than for pipes with circular thermal insulation [5]. Heijde et al. [6] based on the results of the analytical model calculation, showed that the heat losses in a typical heating network are independent of the flow of the heating medium. The second important facet of the paper [6] is the inclusion of heat exchange between the supply and return lines in double pre-insulated networks. The temperature fields and heat-lines in the cross-section of the circuit ducts were described in [7]. Paper [7] presents visualizations of heat flow lines and temperature fields for pre-insulated double ducts for different distances between the supply and return ducts. A free available tool [8] allows the decrease in temperature and heat losses in the pipes to be estimated. In ref. [9] a detailed two-dimensional FEM (Finite Element Method) model to calculate steady-state heat loss in district heating pipes was proposed. Based on measurement data, Danielewicz et al. [10] proposed a three-dimensional model for determining heat losses in a heating network. In the literature, non-circular shapes of thermal insulation, e.g., in the shape of an egg, were presented [11], where a greater thickness of thermal insulation was used for the supply pipe compared to the return pipe. The comparison of different systems of single, twin, and triple district heating networks indicates that an egg-shaped pipe reduces heat loss by 37% and the investment index by 12% compared to a single pipe system [11]. Modeling of the flow in district heat networks was discussed in many studies. Kontu et al. [12] on the basis of the hourly heat demand presented ways to manage heat networks depending on the type of customer segments. Neirotti et al. [13] presented variants of temperature decrease in heating networks, which can be reduced by 50 °C. Song and Cheing [14] showed that greater benefits can be obtained by managing one integrated heating network than managing several independent district heating networks. Yang et al. [15] presented a simulation model of a heating network with connections of various energy sources.
Our previous work [7] presented an analysis of the influence of the distance between the supply and return lines on the heat losses in a typical double pre-insulated pipe with circular thermal insulation. The aim of this work is a numerical optimization of the cross-sectional shape of the thermal insulation of double pre-insulated pipes by applying elliptic thermal insulation. The calculations were performed as a part of the VIPSKILLS project using the boundary element method (BEM). The boundary element method is a non-grid method and is often used in thermal and flow calculations. Moreover ecological analyses were conducted to show the possibility of achieving a reduction of pollutants, for a district heating network supplied by a hard coal cogeneration plant.

2. A Simplified Calculation Model for Determining Energy Losses of a Double Thermal Network

The diagram of a double pre-insulated pipe is shown in Figure 1. In the simplified model, the thermal resistance of the wall of the supply and return pipe as well as the thermal resistance of the outer casing of the double-duct insulation were neglected. A constant thermal conductivity coefficient k of the thermal insulation was assumed. The following boundary conditions of the Dirichlet were assumed on the duct wall: the temperature on the wall of the TS supply duct, the temperature at the wall of the return duct TR, and the temperature at the surface of the insulation wall from the outer side T0. The unit heat loss in the pre-insulated twin pipes consists of heat losses through the supply qS and return qR ducts:
q = qS + qR [W/m],
The heat flow in the return tube qR is composed of two heat flows: the heat flux qR2 from the return duct to the thermal insulation with a positive sign and the heat flow qR1 from the supply duct to the return duct with a negative sign:
qR = qR2qR1 [W/m],
The unit heat fluxes were calculated from the differential thermal equation, which was solved by the boundary element method:
k ( 2 T x 2 + 2 T y 2 ) = 0 ,
The algorithm for determining the heat-line by the boundary elements method can be found in [16], whereas the method of calculating the heat flux density values and temperature fields is presented in [17,18].
Verification of the method was performed by comparing the heat flux results of calculations of the boundary element method with the known results of the multipole method presented in the literature [3]. The calculations were made for a twin pipe with assumed boundary conditions from ref. [3]. For the boundary consisting of 3000 elements, the relative error was not greater than 0.001%.

3. Pre-Insulated Double Pipes with Circular Insulation

In a pre-insulated twin pipe, circular insulations are commonly used. This section presents the results of the simulation of heat conduction in a typical double pre-insulated pipe for different distances between the supply and return conduits. The boundary conditions, circular insulation parameters, and dimensions of the twin pipe are shown in Table 1.
Figure 2 shows the dependence of the heat flow unit qR1 transferred from the supply pipe to the return pipe. As the temperature difference ΔT increases between the supply and return pipes at a constant supply pipe temperature, the heat flux qR1 increases. With the increase in the distance s between the supply and return pipes, the heat flow qR1 decreases. For example, for s = 0.02 m the heat flux qR1 exchanged between the supply and return pipes is five times higher than in the case of s = 0.04 m for a given temperature difference ΔT = 20 °C. This example shows how important it is to maintain a sufficiently large distance between the supply and return pipes in a common insulation.
Figure 3 shows the dependence of the heat flux on the qS supply as a function of the distance s between the pipes and the temperature difference ΔT. The heat flow qS increases both in the case of decreasing distance s and increasing distance s, which is respectively related to the impact of the return duct and the decreasing thickness of the insulation layer from the outside of the supply pipe. The trend of changes in the unit heat flux is close to the trend of the supply heat flux presented in ref. [11].
Figure 4 shows the dependence of heat flux qR of the return pipe as a function of the distance s between the pipes and the temperature difference ΔT. Heat losses in the return duct increase with the increase of the distance s and the temperature difference ΔT. In the case of very small distances s between the return and supply pipes (s > 0), the return pipe is “reheated” via the supply pipe. Therefore, negative heat flux qR results for s > 0. In the case of large values of s, heat losses increase rapidly, which is associated with the smaller thickness of the insulation layer from the outside of the return pipe. The trend of changes in the feed stream as a function of the distance between the pipes is consistent with the results obtained [11].
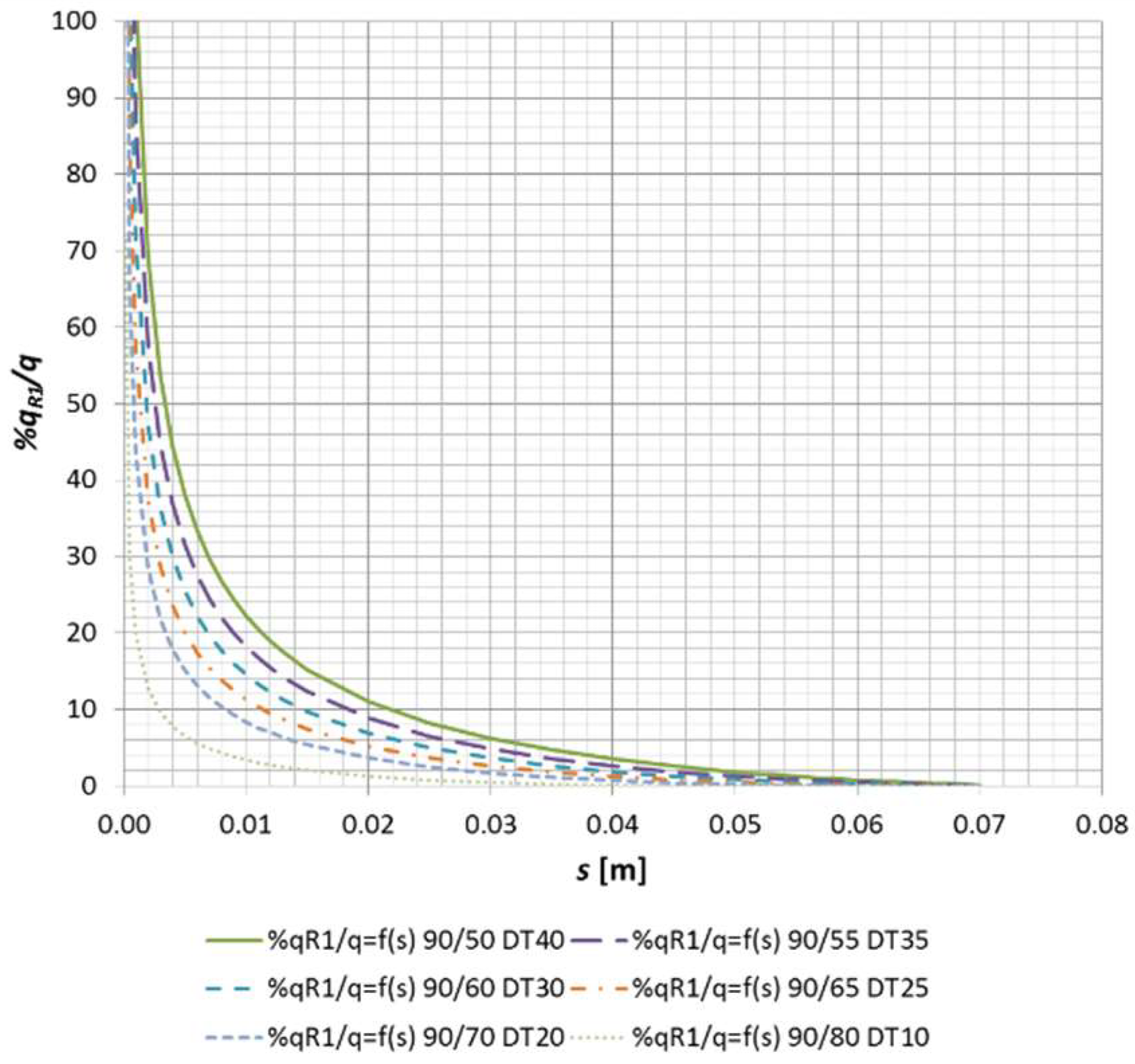
Figure 5 shows the percentage ratio of the unit heat flux qR1 (transferred from the supply pipe to the return pipe) to the unit heat losses q depending on the distance between the pipes for different supply temperatures. With decreasing distance between the pipes, the %qR1/q ratio increases, e.g., in the case of distance s = 0.004 m and ΔT = 40 °C, the heat flow transferred from the supply to the return pipe constitutes 50% of the total heat loss.
Analyzing the heat losses in the presented example in the supply and return pipes, it appears that the most optimal solution for the distance s between the supply and return pipes is a distance of 0.01 < s < 0.03 m, because the lowest heat losses from the supply pipe qS occur in this range (Figure 3); at the same time the heat flux from the supply pipe to the return qR1 is small (Figure 2). The gradient of the heat flux increase from the return pipe qR in this range is also small (Figure 4).

4. Optimization of the Shape of Thermal Insulation

One of the methods of improving the energy efficiency of pre-insulated double heating networks is to modify the shape of thermal insulation. In paper [3] a solution for thermal insulation in the shape of an egg was proposed, where the supply pipe was insulated with a thicker layer of thermal insulation than the return pipe. This solution significantly reduced heat losses compared to standard circular insulations. Thermal insulations of circular pre-insulated double ducts are characterized by uneven insulation thickness around the supply and return ducts. Figure 6 shows an example of a view of a pre-insulated double-insulated pipe with circular insulation. The thickness of the thermal insulation above the return and under the supply cord is thinner than the thickness of the insulation on the left and right of the pipes. A small distance between the supply and return lines can cause heat transfer between the supply and return pipes. In order to improve the distribution of uniform thermal insulation thickness between the supply and return pipes, an elliptical shape for the thermal insulation was proposed. Equal areas of circular and elliptical thermal insulation were assumed for the calculations. The ratio of the major axis of the ellipse (a = 0.17361 m) to the minor half axis of the ellipse (b = 0.09 m) is equal to a/b = 1.93. The main parameters affecting the energy-efficient operation of heating networks are heat losses and the exchange of heat exchange between the supply and return pipes.
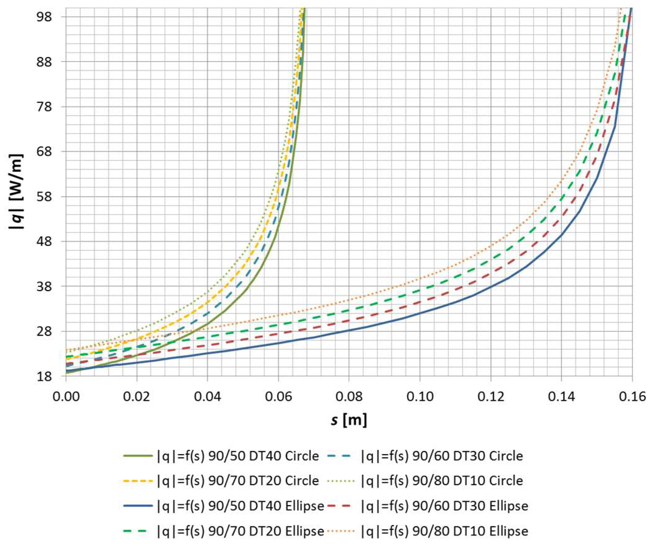
Figure 7 compares the unit heat losses for circular and elliptic insulation as a function of the distance between the supply and return pipes. A variant with circuit isolation was analyzed in [7]. In the case of small distances between the supply and return pipes (s < 0.01 m), the unit heat losses both in the case of circular and elliptic thermal insulation are similar and the differences between these heat losses do not exceed 2%. With the increase in the distance between the supply and return pipes for s > 0.02 m, the differences in unit heat losses between the circular and elliptical thermal insulation become larger, which is associated with a smaller insulation thickness over the supply pipe and under the return pipe in the case of the circular thermal insulation compared to the elliptic thermal insulation. For example, for the spacing of the supply and return pipes given by the manufacturer of twin pipes (s = 0.025 m, TS/TR = 90 °C/50 °C), the unit heat losses for circular thermal insulation are 10.23% higher than the unit heat losses for elliptical insulation, while in the case of spacing equal to s = 0.05 m, unit heat losses for circular insulation are 33.7% higher than in the case of elliptical thermal insulation.
Figure 8 shows the unit heat flow exchanged between the supply and return pipes as a function of the distance between these pipes. For the same distances between the supply and return pipes, the unit heat flux values for both circular and elliptic thermal insulation are similar to each other. Both in the case of circular and elliptic insulation, as the distance between the supply and return pipes increases, the unit heat flux qR1 decreases, whereas in the case of elliptical insulation there is a greater possibility of increasing the distance s, and reducing the unit heat flux. For example, doubling the distance between the supply and return pipes from s = 0.025 m to s = 0.05 m results in a reduction of about four times of the unit heat flux exchanged between the supply and return pipes.
Figure 9a,d shows temperature fields with heat-lines for circular insulation (Figure 9a,b) and elliptical insulation (Figure 9c,d) for distance s = 0.02 m and s = 0.07 m (TS/TR = 90 °C/50 °C). The results are consistent with the results of calculations for circular thermal insulation [1]. The influence of the unit heat flux qR1 in elliptic thermal insulation is similar to that of the unit heat flux qR1 for circular insulation. For the same distances s, in the case of elliptical thermal isolation, the temperature gradient over the supply and return pipes is much smaller than in the case of circular thermal insulation which is related to the additional elliptical thermal insulation in these places.
Below, an assessment of the ecological effect of optimizing the shape of the thermal insulation was carried out by determining the reduction of pollutant emissions into the air before and after the application of elliptical thermal insulation. The reduction of annual emissions of pollutants emitted into the air resulting from combustion can be determined using the following general formula in ref. [19]:
ΔEm = (EcEe) × Ef [W/m],
where Ec and Ee are the energy consumption for the heat loss of a twin pipe with circular insulation and elliptical insulation respectively:
Ec = qc × L × t [GJ],
Ee = qe × L × t [GJ],
where qc and qe are unit heat losses for a pipe with circular and elliptical insulation respectively, L is the length of the pipe, while t is the time.
Emission factors Ef used to calculate the emission of pollutants into the air of substances such as nitrogen oxides (NOX), carbon monoxide (CO), non-methane volatile organic compounds (NMVOC), sulphur oxides (SOX), total suspended particles (TSP), particulate matter (PM10 and PM2.5) for objects which are combined heat and power (CHP) plants powered with a hard coal, adopted in accordance with the guidelines of the European Environment Agency [19]. Standard twin pipes with circular thermal insulation (D = 0.25 m, d = 0.09 m, s(1) = 0.025 m) and twin pipes with elliptic thermal insulation (a = 0.17361 m, b = 0.09 m, s(1) = 0.025 m) were assumed for calculations. The length of conductors is equal to L = 1000 m, the constant thermal conductivity of thermal insulation k = 0.0265 W/(m·K), and network parameters TS/TR = 90 °C/50 °C were assumed. The unit heat losses for the pipe with round and elliptic insulation were determined from Figure 7 and amounted to qc = 24 W/m and qe = 21.54 W/m, respectively. The values of energy used for heat losses during the year calculated from Equations (5) and (6) equal 756.2 GJ and 678.83 GJ for circular and elliptical thermal insulation, respectively. As an example a network with a length of 1000 m was considered.
Emission factors Ef, the annual emissions of pollutants resulting from a combustion of hard coal in CHPs [19], and the reduction of annual pollutants emitted into the air as a result of the use of elliptical thermal insulation instead of circular insulation are shown in Table 2. The ecological effect of the optimization of the thermal insulation by changing the shape of the cross-section from circular to elliptical (s(1) = 0.025 m) is a decrease of annual emissions of pollutants emitted into the air by about 10%. Combined heat and power plants powered with hard coal are characterized by high emission of sulphur oxides and nitrogen oxides. The use of the elliptical shape as an alternative to the standard circular thermal insulation enables the limitation of the annual sulphur oxides and nitrogen oxides emissions from the combined heat and power plants powered with hard coal for the assumed parameters of the pre-insulated network with a length of 1000 m by values of 63,436 g/year and 16,169 g/year, respectively.
Moreover, an ecological effect assessment was carried out for three different distances (s(1) = 0.025 m, s(2) = 0.03 m and s(3) = 0.035 m) between the supply and return ducts in a circular thermal isolation by determining the reduction of pollutant emissions from the CHPs. The parameters of pre-insulated pipes from Table 1 and TS/TR = 90 °C/50 °C, L = 1000 m were assumed for calculations. In order to determine the reduction of annual emissions of pollutants emitted into the air, Equations (4)–(6) were used, which in the above-mentioned conditions take the following form:
ΔEm = (Es(i+1)Es(i)) × Ef [W/m],
Es(i) = qs(i) × L × t [GJ],
Es(i+1) = qs(i+1) × L × t [GJ],
where Es(i) and Es(i+1) are the energy consumption for the heat loss of a twin pipe in circular thermal isolation with distances s(i+1) and s(i+1), respectively, and qs(i) and qs(i+1) are unit heat losses for a double pipe in circular thermal isolation with distances s(i) and s(i+1), respectively.
The results of the calculation of the annual emission of pollutants emitted into the air for a distance s(1) = 0.025 m can be found in Table 2 (EcEf). The value of energy used for heat losses during the year calculated on the basis of Equations (8) and (9) equals 805.04 GJ and 863.37 GJ for s(2) = 0.03 m and s(3) = 0.035 m, respectively. Table 3 presents emission factors Ef and annual emissions of pollutants emitted into the air for two distances between the supply and return pipes s(2) = 0.03 m and s(3) = 0.035 m in common circular thermal insulation. The increase in the distance between the supply and return ducts from s(1) = 0.025 m (Table 2) to s(2) = 0.03 m (Table 3) increases the annual emission of pollutants emitted into the air by 6.46%, while the increase in the distance from s(2) = 0.03 m (Table 3) to s(3) = 0.035 m (Table 3) generates an increase in annual emissions of pollutants emitted into the air by 7.25%. The increase in the distance between the pipes by 0.01 m (from s(1) to s(3)) for the tested section of the pre-insulated double network results in an increase in the annual emission of sulphur oxides and nitrogen oxides from the combined heat and power plants by 87,884 g/year and 22,399 g/year, respectively. The above example illustrates the importance of the proper spacing of the supply and return ducts inside the thermal insulation. Too large a distance between the supply and return ducts causes an increase in heat losses, and thus contributes to the increase of emissions to the air emitted by heat sources.

5. Conclusions

Currently worldwide there is a trend of “energy-saving” in heat transport. This trend is determined by the increase in the prices of energy carriers and the ecological effects. This paper presents optimizations of the cross-sectional shape of the thermal insulation of double pre-insulated ducts by using an elliptical cross-section. Numerical simulations showed that a change in the shape of the cross-sectional thermal insulation of pre-insulated double-ducts can significantly reduce heat losses with the same cross-sectional area as in circular insulation.
The distance between the supply and return ducts has a significant impact on the heat losses outside the pre-insulated duct and the heat exchange between the supply and return ducts. Too large a distance between the supply and return pipes results in a short distance between the pipes and the surface, that generates significant heat losses. On the other hand, too short a distance between the supply and return lines increases the heat transfer between the pipes. The use of elliptical thermal insulation allows larger distances between the return and supply ducts, as well as a sufficiently large distance of the pipes to the isolation surface, to be maintained. The results of analysis showed also a better ecological effect of using elliptical thermal insulation instead of standard circular thermal insulation.

Author Contributions

D.A.K. proposed the research methodology and aims, as well as organizing the draft of the manuscript; T.J.T. conducted simulations and prepared figures, D.A.K. and T.J.T. analyzed the simulation results, wrote the manuscript, and agreed the submission.

Funding

The costs of development of e-lab used as a tool in this analysis as the publishing of the manuscript were covered by funds of the VIPSKILLS project (Virtual and Intensive Course Developing Practical Skills of Future Engineers) 2016-1-PL01-197 KA203-026152 Strategic Partnerships Erasmus +.

Acknowledgments

This scientific project was implemented under S/WBIS scientific research at Bialystok University of Technology.

Conflicts of Interest

The authors declare no conflict of interest.

References

  1. Ravina, M.; Panepinto, D.; Zanetti, M.C.; Genon, G. Environmental analysis of a potential district heating network powered by a large-scale cogeneration plant. Environ. Sci. Pollut. Res. 2017, 24, 13424–13436. [Google Scholar] [CrossRef] [PubMed]
  2. Kudela, L.; Chylek, R.; Pospisil, J. Performant and Simple Numerical Modeling of District Heating Pipes with Heat Accumulation. Energies 2019, 12, 633. [Google Scholar] [CrossRef]
  3. Bennet, J.; Claesson, J.; Hellström, G. Multipole method to compute the conductive heat flows to and between pipes in a composite cylinder. Notes Heat Transf. 1987, 3, 1–44. [Google Scholar]
  4. Bøhm, B.; Kristjansson, H. Single, twin and triple buried heating pipes: On potential savings in heat losses and costs. Int. J. Energy Res. 2005, 29, 1301–1312. [Google Scholar] [CrossRef]
  5. Teleszewski, T.J.; Zukowski, M. Modification of the shape of thermal insulation of a twin-pipe pre-insulated network. AIP Conf. Proc. 2019, 2078, 020030. [Google Scholar]
  6. Van der Heijde, B.; Aertgeerts, A.; Helsen, L. Modelling steady-state thermal behavior of double thermal network pipes. Int. J. Therm. Sci. 2017, 117, 316–327. [Google Scholar] [CrossRef]
  7. Krawczyk, D.A.; Teleszewski, T.J. Effects of Some Geometric Parameters in Energy-Efficient Heat Distribution of Pre-Insulated Double Pipes. Proceedings 2018, 2, 1520. [Google Scholar] [CrossRef]
  8. VIPSKILLS Tools. E-Laboratory No 5. Available online: http://vipskills.pb.edu.pl/e-lab-5 (accessed on 2 January 2019).
  9. Dalla Rosa, A.; Li, H.; Svendsen, S. Method for optimal design of pipes for low-energy district heating with focus on heat losses. Energy 2011, 36, 2407–2418. [Google Scholar] [CrossRef]
  10. Danielewicz, J.; Śniechowska, B.; Sayegh, M.A.; Fidorów, N.; Jouhara, H. Three-dimensional numerical model of heat losses from district heating network pre-insulated pipes buried in the ground. Energy 2016, 108, 172–184. [Google Scholar] [CrossRef]
  11. Kristjansson, H.; Bøhm, B. Advanced and traditional pipe systems optimum design of distribution and service pipes. Tech. Pap. 2006, 3, 34–42. [Google Scholar]
  12. Kontu, K.; Vimpari, J.; Penttinen, P.; Junnila, S. City Scale Demand Side Management in Three Different-Sized District Heating Systems. Energies 2018, 11, 3370. [Google Scholar] [CrossRef]
  13. Neirotti, F.; Noussan, M.; Riverso, S.; Manganini, G. Analysis of Different Strategies for Lowering the Operation Temperature in Existing District Heating Networks. Energies 2019, 12, 321. [Google Scholar] [CrossRef]
  14. Song, S.H.; Cheing, T. Pattern-Based Set Partitioning Algorithm for the Integrated Sustainable Operation of a District Heating Network. Sustainability 2018, 10, 2774. [Google Scholar] [CrossRef]
  15. Yang, W.; Wen, F.; Wang, K.; Huang, Y.; Salam, M.A. Modeling of a District Heating System and Optimal Heat-Power Flow. Energies 2018, 11, 929. [Google Scholar] [CrossRef]
  16. Teleszewski, T.J. Numerical visualization of heatline and heat flux density in two-dimensional steady state thermal conduction using boundary element method. Modelowanie Inżynierskie 2014, 20, 116–122. (In Polish) [Google Scholar]
  17. Teleszewski, T.J.; Sorko, S.A. Effect of viscous dissipation on forced convection for laminar flow through a straight regular polygonal duct using BEM method. Int. J. Numer. Methods Heat Fluid Flow 2018, 28, 220–238. [Google Scholar] [CrossRef]
  18. Brebbia, C.A.; Telles, J.C.F.; Wrobel, L.C. Boundary Element Techniques-Theory and Applications in Engineering; Springer: Berlin/Heidelberg, Germany; New York, NY, USA; Tokyo, Japan, 1984; Chapter 2. [Google Scholar]
  19. EMEP/EEA Air Pollutant Emission Inventory Guidebook; European Environment Agency, Publications Office of the European Union: Luxemburg, 2016; Available online: https://www.eea.europa.eu/publications/emep-eea-guidebook-2016 (accessed on 2 January 2019).
Figure 1. Geometry and boundary conditions.
Figure 1. Geometry and boundary conditions.
Energies 12 01012 g001
Figure 2. Unit heat flux transferred from the supply pipe to the return pipe as a function of the distance between the conductors at different return temperatures (qR1 = f(s,TR)).
Figure 2. Unit heat flux transferred from the supply pipe to the return pipe as a function of the distance between the conductors at different return temperatures (qR1 = f(s,TR)).
Energies 12 01012 g002
Figure 3. The dependence of the unit heat flux of the supply pipe as a function of the distance between the pipes at different return temperatures (qS = f(s, TR)).
Figure 3. The dependence of the unit heat flux of the supply pipe as a function of the distance between the pipes at different return temperatures (qS = f(s, TR)).
Energies 12 01012 g003
Figure 4. The dependence of the unit heat flux of the return pipe as a function of the distance between the pipes at different return temperatures (qR = f(s, TR)).
Figure 4. The dependence of the unit heat flux of the return pipe as a function of the distance between the pipes at different return temperatures (qR = f(s, TR)).
Energies 12 01012 g004
Figure 5. Percentage ratio of heat flux unit qR1 (transferred from the supply pipe to the return pipe) to unit heat losses q depending on the distance between the pipes for different supply temperatures (%qR1/q = f(s, TR)).
Figure 5. Percentage ratio of heat flux unit qR1 (transferred from the supply pipe to the return pipe) to unit heat losses q depending on the distance between the pipes for different supply temperatures (%qR1/q = f(s, TR)).
Energies 12 01012 g005
Figure 6. View of pre-insulated double pipes.
Figure 6. View of pre-insulated double pipes.
Energies 12 01012 g006
Figure 7. Comparison of the unit heat losses of a twin pipe for thermal circular and elliptic insulation as a function of the distance between the supply and return pipes.
Figure 7. Comparison of the unit heat losses of a twin pipe for thermal circular and elliptic insulation as a function of the distance between the supply and return pipes.
Energies 12 01012 g007
Figure 8. Comparison of the unit heat flux exchanged between the supply and return pipes for thermal circular and elliptic insulation as a function of the distance between the supply and return pipes.
Figure 8. Comparison of the unit heat flux exchanged between the supply and return pipes for thermal circular and elliptic insulation as a function of the distance between the supply and return pipes.
Energies 12 01012 g008
Figure 9. Comparison of temperature fields and heat-lines for circular (a,c) and elliptical (b,d) thermal insulation for selected distances between the supply and return pipes: s = 0.02 m (a,b), s = 0.06 m (c,d).
Figure 9. Comparison of temperature fields and heat-lines for circular (a,c) and elliptical (b,d) thermal insulation for selected distances between the supply and return pipes: s = 0.02 m (a,b), s = 0.06 m (c,d).
Energies 12 01012 g009
Table 1. Boundary conditions, circular insulation parameters, and dimensions of a twin pipe.
Table 1. Boundary conditions, circular insulation parameters, and dimensions of a twin pipe.
DescriptionSymbolValueUnit
Diameter of the supply and return pipesd0.09m
Diameter of thermal insulationD0.25m
The distance between the supply and return pipess0–0.07m
Thermal conductivity coefficient of thermal insulation made of polyurethane foamk0.0265W/(m·K)
The temperature of the outer surface of thermal insulation, adopted as the constant temperature of the groundTo8°C
The wall temperature of the supply pipe is equal to the temperature of the flowing liquidTS90°C
The wall temperature of the return pipe is equal to the temperature of the heating mediumTR50–90°C
Table 2. The results of calculations for the reduction of pollutant emissions into the air as a result of the optimization of the cross-section shape of the thermal insulation.
Table 2. The results of calculations for the reduction of pollutant emissions into the air as a result of the optimization of the cross-section shape of the thermal insulation.
PollutantEf [g/GJ]Ec × Ef [g/year]Ee × Ef [g/year]ΔEm [g/year]
NOx209158,045141,87616,169
CO8.765795906673
NMVOC175667977
SOx820620,080556,64463,436
TSP11.486217739882
PM107.758235227596
PM2.53.425712308263
Table 3. The results of calculations for the reduction of pollutant emissions into the air as a result of a change in the distance between the supply and return pipes from s(2) = 0.03 to s(3) = 0.035 for circular thermal insulation.
Table 3. The results of calculations for the reduction of pollutant emissions into the air as a result of a change in the distance between the supply and return pipes from s(2) = 0.03 to s(3) = 0.035 for circular thermal insulation.
PollutantEf [g/GJ]Es(2) × Ef [g/year]Es(3) × Ef [g/year]ΔEm [g/year]
NOx209168,253180,44412,191
CO8.770047511507
NMVOC180586358
SOx820660,133707,96447,831
TSP11.491779842665
PM107.761996648449
PM2.53.427372935198

Share and Cite

MDPI and ACS Style

Krawczyk, D.A.; Teleszewski, T.J. Optimization of Geometric Parameters of Thermal Insulation of Pre-Insulated Double Pipes. Energies 2019, 12, 1012. https://doi.org/10.3390/en12061012

AMA Style

Krawczyk DA, Teleszewski TJ. Optimization of Geometric Parameters of Thermal Insulation of Pre-Insulated Double Pipes. Energies. 2019; 12(6):1012. https://doi.org/10.3390/en12061012

Chicago/Turabian Style

Krawczyk, Dorota Anna, and Tomasz Janusz Teleszewski. 2019. "Optimization of Geometric Parameters of Thermal Insulation of Pre-Insulated Double Pipes" Energies 12, no. 6: 1012. https://doi.org/10.3390/en12061012

APA Style

Krawczyk, D. A., & Teleszewski, T. J. (2019). Optimization of Geometric Parameters of Thermal Insulation of Pre-Insulated Double Pipes. Energies, 12(6), 1012. https://doi.org/10.3390/en12061012

Note that from the first issue of 2016, this journal uses article numbers instead of page numbers. See further details here.

Article Metrics

Back to TopTop