Next Article in Journal
A Three-Dimensional Microstructure-Scale Simulation of a Solid Oxide Fuel Cell Anode—The Analysis of Stack Performance Enhancement After a Long-Term Operation
Next Article in Special Issue
Development of Occupant Pose Classification Model Using Deep Neural Network for Personalized Thermal Conditioning
Previous Article in Journal
Heat Energy and Gas Emissions during Composting of Sewage Sludge
 
 
Font Type:
Arial Georgia Verdana
Font Size:
Aa Aa Aa
Line Spacing:
Column Width:
Background:
Article

Factors Affecting Energy Performance of Large-Scale Office Buildings: Analysis of Benchmarking Data from New York City and Chicago

1
Department of Architecture, School of Engineering, Korea University, 145 Anam-ro, Seongbuk-gu, Seoul 02841, Korea
2
Department of Architecture, Korea National University of Transportation, 50 Daehak-ro, Geomdan-ri, Daesowon-myeon, Chungju-si, Chungcheongbuk-do 27469, Korea
3
Department of Architecture, School of Engineering, Korea University, 145 Anam-ro, Seongbuk-gu, Seoul 02841, Korea
*
Author to whom correspondence should be addressed.
Energies 2019, 12(24), 4783; https://doi.org/10.3390/en12244783
Submission received: 11 November 2019 / Revised: 5 December 2019 / Accepted: 12 December 2019 / Published: 15 December 2019

Abstract

Buildings in high-income, industrialized cities are responsible for more than 50% of global energy consumption; consequently, many developed cities have legislated energy benchmarking and disclosure policies to understand their buildings’ energy-use dynamics better. By utilizing these benchmarking data and additional information taken from 3D models, this paper presents a comprehensive analysis of large-scale office buildings located in New York and Chicago, with respect to their energy use intensity (EUI). To identify the primary factors affecting the EUI, Spearman’s correlation analysis and multiple variate regression tests were performed on office buildings over 500,000 ft2 (46,452 m2) gross floor area. The results showed the number of floors, construction year, window-to-wall ratio (WWR), and source-to-site ratio statistically significant, while morphological factors such as the relative compactness and surface-to-volume ratio showed limited relation to EUI. In New York City, the smallest EUI median was found in the buildings with 20 to 30 floors, and in Chicago, the buildings with 60 floors or more. A higher source-to-site ratio generally had lower overall EUI in both cities. Despite the high correlation, different kinds of dependency were found for window-to-wall ratio (WWR) and construction year between NYC and Chicago. These findings highlight the relative role that each building’s characteristics play concerning the EUI, depending on the particular building’s typology, scale, and the urban context.

Graphical Abstract

1. Introduction

Several decades have passed since the building industry recognized the importance of monitoring the actual energy use intensity of existing buildings. Greater information and data on energy consumption of buildings enables owners, operators, and tenants to make informed energy management decisions. Transparent, timely information can help track performance against goals, and the collection of general statistical information about buildings’ energy use enables better policy and program design [1]. For this critical data gathering, an increasingly popular policy, which has been adopted in many European and US cities, is the requirement that building owners disclose their annual energy use and benchmark it relative to other buildings [2]. New York and Chicago, the two subject cities of this research, are among the early adopters of this policy and have accumulated data since 2009 and 2013, respectively, for buildings over 50,000 ft2 (4645 m2) [3,4]. Among the various building typologies of such developed, high-income cities, large-scale office buildings are ubiquitous, compose a large portion of the overall area, and are considered one of the most energy-intensive. In Manhattan, in terms of the area sum of space taken, nearly 90% of the overall office building stock is accounted for by large office buildings over 500,000 ft2 (46,452 m2) [5]. Due to their sizeable quantitative portion compared to various other building groups, understanding the energy-consumption dynamics and prominent features of these large-scale office buildings are crucial.
Already many types of research are available that deep dive into what the accumulated data tell us. The prevalence of the energy disclosure policy and worldwide benchmarking data have enabled diverse research that has revealed attributes and patterns of building energy consumptions; a lot of this research has focused on instituting rigorous methodologies for analyzing performance patterns over time or how to take multiple features into account when trying to understand energy use intensity (EUI) dynamics [6,7,8]. For New York City, by using a K-means clustering algorithm, Papadopoulos et al. [6] showed energy reductions are mostly driven by office buildings, with larger, newer, and higher-value buildings showing significant improvement in EUI between 2011 and 2016. Gao and Malkawi [7] also utilized the clustering method to demonstrate that multidimensional similarity can be used as a ‘performance typology’ to define building type; this approach is similar to the traditional one-dimensional use type but is much more comprehensive. In this way, the energy performance of the buildings considered can be more properly benchmarked. A study utilizing the UK’s DEC (Display Energy Certificate) data from public schools conducted by UCL (University College London) [8] also address the alternative analysis method, which compares the top-down and bottom-up approaches. They concluded the top-down approach utilizing descriptive statistics and artificial neural networks (ANN) presents many benefits.
Some research has confirmed widely held beliefs, such as the relation between the building’s use type and energy use intensity in detail. It was shown that building-use typology is the key determinant of occupant density and operating hours of a building, which inevitably becomes the most influential factor affecting the energy use intensity of the whole. For example, even though multifamily properties significantly outnumber offices in many cities, the office sector is the more energy-intensive of the two, using 50 percent more energy per square foot than the multifamily building sector in the case of NYC [5]. Within an identical floor area, the number of occupants in an office is usually much higher than in residential buildings, hence more energy is used. In addition, Constantine [9], who analyzed NYC’s 2010 LL84 data for commercial buildings, found that increased operating hours and occupant density results in higher EUI, which is a predictable result and aligns with the empirical data from the Commercial Buildings Energy Consumption Survey (CBECS).
One of the important variables included in this research, which has also been a subject of several previous studies, is the relationship between building height and energy consumption. Godoy-Shimizu et al. [10] studied 611 office buildings in England and Wales, concluding there was a significant energy use increase for high-rise offices defined as 10 stories or above, compared to low and mid-rise buildings [10]. Another study from the UK, which compared buildings with six stories or fewer with buildings with 20 stories or more, concluded the electricity use in the high-rise buildings was nearly two and a half times greater than in low-rise buildings, and that carbon emissions were more than doubled when going from ‘low’ to’ high-rise’ [11]. Guthrie [12] concluded, based on research from Hong Kong’s 20 commercial office buildings, that tall buildings generally use more energy. Even though the results appear to be consistent that, the higher the building, the more energy-intensive it is, these results are limited to very specific contexts and locations. For example, in NYC and Chicago, buildings with 20 stories could be considered as low or mid-rise, depending on the location. If we consider relative difference in defining high-rise buildings, the results from previous research cannot be directly applied to all cities, and further investigation is required.
Meanwhile, other research related to the building morphology of large-scale office buildings besides the height focuses on hypothetical building geometries and orientations and provides results from model simulations [13,14,15]. Many studies have found a strong correlation between the shape of a commercial building, the relative compactness, the percent glazing, and the building’s total energy use intensity [16]. However, there is limited research discussing the subject in conjunction with the actual geometries and data from real buildings, let alone studies that look at the relative effect compared to other factors, such as the construction year and building systems. Even though energy consumption is becoming one of the key factors in determining a building’s form, many other urban, financial, and legal factors limit architects from exploring the optimal shape for energy use. When we attempted to categorize the building geometries from these two cities, quite distinct types were identifiable, which are quite different from the assumed models used in previous researches. For example, circular, oval, and triangular buildings with plan aspect ratio beyond 1:3 or with courtyards were rarely found in this specific group [15,17,18]. Therefore, to understand the morphology of existing buildings, a different approach may be necessary; our assumptions are further discussed in detail later in this paper.
Even though several previous studies have offered methodologies to improve how we analyze the ever-increasing benchmarking data or have informed us of the use patterns of a specific region or a typology; none have attempted to compare data from a group of buildings that share multiple attributes, such as the program or size, from more than one city. Based on a comprehensive analysis of the large-scale office building’s energy disclosure data from these two major US cities, this research seeks to investigate the common factors that affect the energy use intensity in these highly developed urban environments. In addition to the disclosure data, this research analyzes the formal attributes, such as the compactness factors, and it introduces a new morphological variable considering the vertical distribution of the building area, as well as a ratio between the site and source energy use intensity (EUI).

2. Materials and Methods

2.1. Data Sources and Preparation

The data for this research are primarily from New York and Chicago’s energy benchmarking disclosure reports from 2015 to 2018; the reported data include information from prior years of reporting [19,20,21]. The disclosure data acquired from both cities’ websites include but are not limited to the following information: building identification number (BIN), property name, address, primary and secondary property type, gross floor area, year built, Energy Star score, weather normalized site EUI, weather normalized source EUI, electricity use, natural gas use, district steam use, and oil fuel use. Additional data, such as the number of floors, floor-to-area ratio (FAR), construction, and renovation dates (latest construction dates), were added from various online resources, as indicated in Table 1. Other physical characteristics, including the compactness factor (CF), relative compactness (RC) [22], and morphology types, are generated from the 3D models. Window-to-wall ratios (WWR) are calculated based on the available plans, elevations, and photos of each selected sample building. Table 1 summarizes the data sources for each variable.
The initial benchmarking data acquired from both cities contained information on approximately 13,000 buildings in NYC and 7200 buildings in Chicago. This research focuses only on large-scale buildings used primarily for commercial offices. First, the properties whose primary and secondary use type was defined as offices with a gross floor area of 500,000 ft2 (46,452 m2) or higher were included. Other reports [5], as well as the CBEC data—public use microdata file published by the US Department of Energy [23] have used this 500,000 ft2 (46,452 m2) limit for defining the category of ‘very large’ buildings. Next, based on the provided source and site EUI, we excluded the top and bottom 5% outliers, which were approximately above 350 kBTU/ft2 (1104 kWh/m2) or below 50 kBTU/ft2 (158 kWh/m2) in case of the source EUI. These outliers included a large proportion of abnormal space use—for example, data centers or storage—and would have affected the average significantly. The final number of building samples that resulted in NYC was 221, and in Chicago, it was 106, and almost all were located in the central areas (Figure 1 and Figure 2).
Also, the total number of reported buildings and the data from those buildings have been increasing every year between 2014 and 2018, for both cities. To utilize the most consistent data and maximize the number of samples, we calculated the average EUI for each building from all available years. In addition, for each building, abnormal EUIs compared to other years were omitted since these may have been caused by temporary high vacancy rates or construction activities. Other consumption data and the source-to-site ratio included in this paper are also averages of the available, years as described above. Figure 3 summarizes the process taken for preparing the data.

2.2. Physical Variables

In this section, we describe in detail a few variables that require additional explanations. Based on a previous literature review, compactness factor (CF) (1) and relative compactness (RC) (2) are defined as below, and for this research [22], information is taken from the 3D models.
CF   ( Compactness   Factor )   = Building   Surface   Area Building   Volume
RC   ( Relative   Compactness )   =   Volume / Surface   Area   ( Building ) Volume / Surface   Area   ( Reference   Cube )   =   Surface   Area   ( Reference   Cube ) Surface   Area   ( Building )
Even though previous studies present a strong correlation between this compactness aspect of a building and its energy consumption, those researches looked at buildings that are relatively small in scale and low in height [16]. For large-scale, high-rise buildings, the shapes concerning how the area is vertically distributed could have additional advantages or disadvantages for energy consumption. Hence, for this research, we have added a variable that categorizes the buildings into five types representing different forms of vertical distribution found in specific urban locations, as shown in Figure 4.
In addition, the source-to-site ratio is another variable introduced in this research which will inform the relative proportion of energy-source types used for each building. Source energy converts energy use, considering the primary energy, which accounts for the raw fuel that is burned to create heat and electricity, such as natural gas or fuel oil. The conversion factor currently used for grid-purchased electricity in the US is 2.8 compared to 1.05 for gas [24]. Due to the limited data available regarding the actual MEP systems, we believe this information will inform certain patterns in conjunction with the quantitative-use data for each energy resource’s consumption.

2.3. Descriptive Data

Table 2 lists a summary of the processed data, which include 221 buildings from NYC and 106 from Chicago. NYC’s median site EUI is 275 (kWh/m2), and its source EUI is 670 (kWh/m2); Chicago’s median site EUI is 232 (kWh/m2), and its source EUI is 585 (kWh/m2). Compared with the citywide medians for all offices, these numbers are approximately 10% higher in NYC and almost identical in Chicago [19], which implies no strong correlation between the building floor area and energy use intensity. One compelling aspect when we compare the two cities is that Chicago’s EUIs are lower than NYC’s (Figure 5), and this is somewhat unexpected, considering the degree-days. Chicago has a slightly colder climate, with a lower average temperature in winter and similarly in summer. During the 4 years of data collection, Chicago had approximately 1100 °C longer heating degree days (HDD) and 340 °C shorter cooling degree days (CDD) [25]. To verify the assumptions, we performed energy simulation with a generic building mass of 1000 m2 by utilizing the Prototype Building Models provided by the US Department of Energy. The results indicated Chicago was using 7% more energy. Even though detailed analysis is required for an accurate comparison, it is an industry-wide understanding that heating requires more energy than cooling. In the US, previous studies have shown a typical central air conditioner is about four times more energy-efficient than a typical furnace or boiler [26]. However, Chicago’s reported site and source EUI were lower than NYC’s, which suggests the superior energy efficiency of buildings in Chicago.
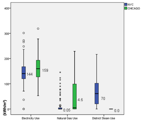
Other significant differences between the two cities were the proportion of the primary energy sources used. For example, in Chicago, most of the buildings in the selected samples used electricity as the primary energy source, reaching almost 70% of the overall consumption and approximately 20% gas; no district steam use was reported. Meanwhile, in NYC, more than 30% of the consumption relied on the district’s steam, electricity was a little over 50%, but there was very limited natural gas use (Figure 6). New York City’s district steam system of Con Edison is the largest district heating system in the Western world and has been serving Manhattan’s large-scale commercial and residential buildings since 1882 [26]. This may be an essential fact for understanding the abovementioned unexpected dynamic of the EUI. District steam systems utilize pipes for distribution, resulting in a significant energy loss in the system, lowering the efficiency of any such scheme. In modern-day district heating, these schemes have high operating and maintenance costs, make it difficult to connect to end-users (high/low-pressure interface), and have high thermal losses [27]. Also, utilizing district steam for heating and other purposes generally limits other choices for the building’s systems that could have higher efficiency. Lastly, due to the relatively small amount reported, we have excluded the fuel oil uses from our analysis.
Other morphological data, such as the area, floor area ratio, compactness factor, relative compactness, and window-to-wall ratio, were found to have a similar median, with less than 10% difference between the two cities.
It should be noted that benchmarking data generally do not include detailed energy end-use breakdown (e.g., water heating, lighting, cooling, and heating) information and have inherent limitations for explaining the exact composition of the total consumptions. However, where possible, additional explanations are discussed.

2.4. Method: Multiple Regression Analysis and Spearman Correlation

First, considering the nonparametric distribution of the data, we carried out Spearman’s rank correlation analysis, to identify any underlying relations between the variables. Second, multiple regression analysis [28] was carried out, using IBM SPSS Statistics 25 to identify the most significant common factors affecting the energy consumption of the sampled large-scale office buildings in each city. The common factors were then evaluated in detail, utilizing scatter and box plot diagrams to determine whether the trends reveal any congruity and to investigate further the potential cause of the patterns found in the regression models.
The ‘Statistical Package for the Social Sciences’ (SPSS) is a package of statistic programs from IBM for solving research problems by means of analysis, hypothesis testing, geospatial analysis, and predictive analytics [29].

3. Results and Discussion

3.1. Correlation Results between Variables

Table 3 presents the result of Spearman’s correlation analysis between the variables. Fairly many variables show strong statistical correlations, of which some reveal unexpected patterns while others were obvious and expected. Considering our research focus, we have highlighted only the factors that are commonly significant in both cities. Overall, number of floors and construction year were the two factors that most related to other variables. Starting in the early 20th century, we can assume that, as the years progressed, there were taller buildings built with higher FAR and WWR, and the results below confirm this relationship. One obvious pattern to note is the relationship between the construction year and compactness factor. In both cities, the negative numbers signify that recently constructed buildings are more compact in their forms, with smaller surface-area-to-volume ratio, which reflects the modern trends of maximizing efficiency for the limited available real estate. In addition, the connections between site-to-source ratio, number of floors, and construction year are worth further attention. The construction year and source-to-site ratio have a strong positive relation, which means the newer buildings have a higher source-to-site ratio. The higher the rate, the more the building’s relative reliance on electricity as its primary fuel increases. Especially in Chicago, the significance level appears to be exceptionally high compared to NYC. Moreover, the ratio positively relates to the number of floors in Chicago, while in NYC, a negative relation is found. This indicates that, in Chicago, taller buildings rely more on electricity, while in NYC, taller buildings rely on other energy sources. These findings relate to the earlier discussion in the statistical description section of this paper, and it is evident that NYC’s district steam system is the primary cause of these results.

3.2. Multiple Regression Analysis

Given the multiple independent variables, we used a multiple linear regression test in SPSS, to determine the most influential factors affecting the site and source energy use intensity (dependent). Table 4 and Table 5 present the results, which include several variables significant at or above a 95% confidence level. In both cities, the number of floors, window-to-wall ratio, and source-to-site ratio were the most significant factors for site EUI. Year constructed was another common factor, with a confidence level at above 90%. However, the significance level was not as strong for the source EUI. Even though electricity, gas, and district steam use showed the highest significance, the above factors are parts that compose the overall EUI and are apparent results.
Interestingly, variables such as the compactness factor (CF) and relative compactness (RC), which were found to be the most significant factors in some studies utilizing benchmarking data from the low-rise school buildings in the UK [8], did not appear significant for this specific group. Overall floor area and floor area ratio were not found to be significant factors. In addition, the latest construction date, which indicates the date of the latest major renovations made to each building, showed no significance, while the initial built year indicated strong relations with the energy consumption in both cities.
The primary goal of this research was to investigate the prevailing common indicators in two different cities; to this end, further investigation was carried out for the four factors identified above.

3.2.1. Number of Floors and Energy Use Intensity

Due to the unprecedented increase in high-rise building construction in recent years, a few studies have examined the relationship between building height and energy consumption. However, limited research exists for the cities where buildings with 20 floors or above are prevalent. Godoy-Shimizu et al. [10] observed energy use and office building heights for buildings in England and Wales, where they concluded energy use intensifies as the height increases, due to the greater exposure of taller buildings to lower temperatures, stronger winds, and more solar gains. Other related studies utilizing data from Display Energy Certificates (DEC) and neighborhood density around London also conclude higher buildings are more energy-intensive [11]. However, high-rise building heights in European cities are significantly lower if compared with other continents; the above research categorizes buildings with 10–20 floors as high-rise, which could be categorized as low-rise buildings in cities like New York and Chicago. Another study based on a hypothetical parametric model, which analyzes the individual energy use of the different urban components, suggests energy intensity changes profoundly with height. Rather than a linear relationship, this study identified that the optimal number of floors are found to be in the range of 7–27, depending on population and building lifetime [30].
The regression result for the number of floors in this research shows a robust significance compared to other variables. In Figure 7, the box and whisker plot diagrams present the energy use intensity per group (buildings grouped based on ten-floor intervals) for ease of comparison. In NYC, the lowest median EUI was found for buildings between 20 and 30 floors, and In Chicago, the group above 60 floors. In both cities, EUI for the buildings with less than 20 floors indicated relatively higher EUI than buildings of the taller groups. Due to the limited sample numbers in some groups, it may be premature to generalize the results. However, in contrast to the previous research, the building height and energy use intensity did not show a linear relationship for large-scale, super-tall commercial buildings in these highly developed cities. Even though statistical studies have limits in explaining causes in full detail, this result potentially relates to the distribution of mechanical systems. It is common for a single technical floor to support between 15–20 floors, either above or below its location. Technical floor spacing beyond these parameters will increase losses from friction and gravity forces, which diminishes energy performance and gives rise to ongoing operation and maintenance issues [31]. Such concentrated mechanical floors are hard to incorporate in lower-height buildings; hence, these systems get scattered on the roof or in basements, reducing the efficiency of distribution. Also, the taller building groups include more buildings constructed in recent years, so more highly efficient systems are incorporated.

3.2.2. Construction, Renovation Years, and Energy Use Intensity

Due to the lower glazing ratio and thermal masses created by relatively thick masonry walls, some studies indicate that the pre-war buildings are generally more energy-efficient than recently constructed buildings [9]. These construction attributes are similar in both cities. However, in Chicago, the buildings constructed and renovated since 1980 clearly showed a decline in their site EUI, even though the source EUI conversion still shows an increase, while in NYC, our result coincided with previous findings (Figure 8 and Figure 9). This finding warrants attention, as the differences between the two cities may inform us of the positive factors that affect use intensity. As described in Section 2.3, New York City’s district steam system is the largest in the Western world, serving the majority of the selected samples in this research [28]. Meanwhile, of the buildings in Chicago’s sample, approximately 70% rely on electricity, and the rest rely on natural gas, as their fuel source. Including high-efficiency electrical and gas-powered heat pumps, technological advances for heating and cooling systems in recent decades could be the primary cause of this result. Due to the high reliance on district steam, especially for heating, these recent innovative systems may not have been utilized fully in NYC. Still, in the case of Chicago, the actual site EUI has benefitted from these advances over time. Currently, the site-to-source conversion factor for grid-purchased electricity in the US is 2.8, which is exceptionally high compared to other resources. However, many cleaner options are being considered to substitute for coal, which is the primary energy source used to create the majority of the electricity, and the site EUI for the electricity-dependent buildings will possibly get lower in the future. Based on this result, we could argue the installation of high-efficiency electrically dependent systems over time may result in better performing buildings than by using district systems.

3.2.3. Window-to-Wall Ratio and Energy Use Intensity

The balance between glazing and opaque areas alone has an impact on many aspects of the energy balance; it influences solar gain (and thus energy use for heating and cooling) and heat loss (mainly affecting energy use for heating), but it also impacts daylight availability (with implications on energy use for artificial light) [32]. A study by Ballarini et al. [33] on retrofitted office buildings enveloped with reduced glazing area showed significant improvements in the thermal performance and comfort; however, a daylighting reduction occurred, with a consequent higher electricity demand for lighting (36%). Consequently, many previous types of research have suggested the optimum ratio depends on climate but ranges from 30% to 50% in the case of continental climate locations similar to NYC and Chicago [34]. In both cities, the median WWR was approximately 40%, even though many buildings had a much higher or lower percentage. Our regression model indicated a significant relationship between the EUI and WWR. Without detailed information on the thermal values or the orientation of each façade, the ratio itself cannot provide an accurate evaluation of the effects. However, as presented in Figure 10, we can see the trends in NYC and Chicago were quite different. The site EUI increased in NYC, while Chicago showed a decrease with higher WWR. The recently constructed buildings have a higher WWR in general (Figure 11); these results imply that Chicago’s newly built buildings are much more energy-efficient, even overcoming the disadvantages of the higher glazing ratio. Again, we speculate that the cause of the difference is due to the limits of the district steam widely used in NYC, while Chicago has been installing high-performance systems, taking advantage of technological advances in heating and cooling systems.

3.2.4. Source–Site Ratio and Energy Use Intensity

In order to assess the relative efficiencies of buildings with varying proportions of primary and secondary energy consumption, the industry recommends converting these two types of energy into equivalent units of raw fuel consumed, to generate one unit of energy consumed on-site. Primary energy is the raw fuel that is burned to create heat and electricity, such as natural gas or fuel oil used in on-site generation. Secondary energy is the energy product (heat or electricity) created from a raw fuel, such as electricity purchased from the grid or heat received from a district steam system [35].
Site energy is the amount of heat and electricity consumed by a building, as reflected in utility bills, whereas source energy represents the total amount of raw fuel that is required to operate the building. It incorporates all transmission, delivery, and production losses. By considering all energy use, the data provide a complete assessment of the energy efficiency of a building. As noted by many, accounting for the source energy is vital for giving an accurate picture of a building’s energy consumption [24]. However, the majority of previous research utilizing the benchmarking data has not addressed the relations of the two energy-use types [6,9]. In this research, we included both site and source EUI, as well as the ratio in between as one of the test variables.
Electricity from the grid, in most countries, is still considered to be one of the least-efficient fuel types; in the US, the conversion factor from site to the source is 2.8 compared to natural gas, at 1.05, and steam or hot water at 1.2. Therefore, a higher source-to-site ratio implies the building’s primary systems heavily relying on electricity rather than other resources, such as gas and district steam. Based on the benchmarking data, we calculated the site-to-source ratio for the selected samples. For both New York and Chicago, this ratio indicated the highest significance in predicting the source and site EUI. However, the trends from the two cities were not uniform, as shown in Figure 12. In NYC, a higher ratio means both the source and site EUI decreases, while in Chicago, a higher ratio means the source EUI increases but the site EUI decreases. In addition, in NYC, many buildings’ ratios are concentrated between 2–3, while the ratios for buildings in Chicago are concentrated above 3. From the results, it is clear that the more the building relies on electricity, the less the overall site EUI compared to other energy resources. Chicago’s high dependency on electricity compared to NYC also warrants attention; this could be the primary cause for the lower EUIs.

4. Conclusions

This research evaluated the source and site EUI of 327 large-scale office buildings with a gross floor area exceeding 500,000 ft2 (46,452 m2), located in New York City and Chicago. Statistical tests were carried out to identify the distinctive trends and predictors for energy consumption.
The analysis results presented in this work identify four statistically significant key common factors affecting the building energy use intensity: number of floors, construction year, window-to-wall ratio, and source-to-site ratio.
Contrary to the findings of many previous studies that found the relation between building height and energy consumption to be linear, in NYC, the lowest EUI median was found in buildings with 20–30 floors, and in Chicago, the buildings with more than 60 floors. For construction year and window-to-wall ratio, our results also go beyond previous research, showing that, for example, in Chicago, the newer buildings with higher WWR used less energy. The ratio between the source and site energy use intensity was one of the unique variables we have introduced to this research, and with higher ratios, the EUI declined in both cities. Additional, comprehensive analysis is required; however, the above findings imply that Chicago’s electrical, gas-driven systems could be much more energy efficient than NYC’s district steam-based systems, outweighing other adverse morphological and climate factors of large-scale office buildings.
The presented results in this paper should be interpreted as observations of general trends from the reported benchmarking data and have inherent limitations for identifying exact causes. Therefore, further work is certainly under consideration to disentangle these complexities through theoretical simulations and models that consider more-specific building systems, as well as urban contexts.

Author Contributions

Conceptualization, C.W. and S.N.; data curation, Q.A.; formal analysis, C.W. and Q.A.; investigation, C.W. and S.N.; methodology, C.W. and Q.A.; supervision, C.W.; validation, C.W.

Funding

This research was funded by the School of Engineering, Korea University, grant number K180911.

Acknowledgments

The author would like to sincerely thank the anonymous reviewers for providing helpful comments. In addition, thanks are due to the Energies’ staff and editors for handling the paper.

Conflicts of Interest

The authors declare no conflicts of interest.

References

  1. Managan, K.; Layke, J.; Araya, M.; NeslerJen, C. Driving Transformation to Energy Efficient Buildings: Policies and Actions, 2nd ed.; Institute for Building Efficiency: Washington, DC, USA, 2012. [Google Scholar]
  2. Palmer, K.; Walls, M. Using information to close the energy efficiency gap: A review of benchmarking and disclosure ordinances. Energy Effic. 2017, 10, 673–691. [Google Scholar] [CrossRef]
  3. New York City. Greater, Greener Buildings Plan. Available online: https://www1.nyc.gov/html/gbee/html/plan/ll84.shtml (accessed on 25 September 2019).
  4. City of Chicago. Chicago Energy Benchmarking Homepage. Available online: https://www.chicago.gov/city/en/progs/env/building-energy-benchmarking---transparency.html (accessed on 25 September 2019).
  5. Urban Green Council. New York City’s Energy and Water Use 2014 and 2015 Report; Urban Green Council: New York, NY, USA, 2017. [Google Scholar]
  6. Papadopoulos, S.; Bonczak, B.; Kontokosta, C.E. Pattern recognition in building energy performance over time using energy benchmarking data. Appl. Energy 2018, 221, 576–586. [Google Scholar] [CrossRef]
  7. Gao, X.; Malkawi, A. A new methodology for building energy performance benchmarking: An approach based on intelligent clustering algorithm. Energy Build. 2014, 84, 607–616. [Google Scholar] [CrossRef]
  8. Hong, S.M.; Paterson, G.; Burman, E.; Steadman, P.; Mumovic, D. A comparative study of benchmarking approaches for non-domestic buildings: Part 1—Top-down approach. Int. J. Sustain. Built Environ. 2013, 2, 119–130. [Google Scholar] [CrossRef]
  9. Kontokosta, C.E. A market-specific methodology for a commercial building energy performance index. J. Real Estate Financ. Econ. 2015, 51, 288–316. [Google Scholar] [CrossRef]
  10. Godoy-Shimizu, D.; Steadman, P.; Hamilton, I.; Donn, M.; Evans, S.; Moreno, G.; Shayesteh, H. Energy use and height in office buildings. Build. Res. Inform. 2018, 46, 845–863. [Google Scholar] [CrossRef]
  11. Steadman, P. Energy ‘High-Rise Buildings: Energy and Density’ Research Project Results; UCL: London, UK, 2017. [Google Scholar]
  12. Guthrie, A. Tall buildings sustainability from the bottom up. In Proceedings of the CTBUH 8th World Congress, “Tall & Green: Typology for a Sustainable Urban Future”, Dubai, March, 3–5 March 2018; pp. 3–5. [Google Scholar]
  13. Khamma, T.R.; Boubekri, M. Statistical analysis of Impact of Building Morphology and Orientation on its Energy Performance. J. Eng. 2017, 5, 15–25. [Google Scholar] [CrossRef][Green Version]
  14. Catalina, T.; Virgone, J.; Iordache, V. Study on the impact of the building form on the energy consumption. In Proceedings of the Building Simulation 2011: 12th Conference of International Building Performance Simulation Association, Sydney, Australia, 14–16 November 2011; pp. 1726–1729. [Google Scholar]
  15. Raji, B.; Tenpierik, M.; Van den Dobbelsteen, A. Early-stage design considerations for the energy-efficiency of high-rise office buildings. Sustainability 2017, 9, 623. [Google Scholar] [CrossRef]
  16. Ourghi, R.; Al-Anzi, A.; Krarti, M. A simplified analysis method to predict the impact of shape on annual energy use for office buildings. Energy Convers. Manag. 2007, 48, 300–305. [Google Scholar] [CrossRef]
  17. Elotefy, H.; Abdelmagid, K.S.S.; Morghany, E.; Ahmed, T.M.F. Energy-efficient Tall buildings design strategies: A holistic approach. Energy Procedia 2015, 74, 1358–1369. [Google Scholar] [CrossRef]
  18. Ling, C.S.; Ahmad, M.H.; Ossen, D.R. The effect of geometric shape and building orientation on minimising solar insolation on high-rise buildings in hot humid climate. J. Constr. Dev. Ctries. 2007, 12, 27–38. [Google Scholar]
  19. City of Chicago; 2017 Chicago Energy Benchmarking Report. Available online: https://www.chicago.gov/city/en/depts/mayor/supp_info/chicago-energy-benchmarking/Chicago_Energy_Benchmarking_Reports_Data.html (accessed on 30 November 2019).
  20. New York City. LL84 Data Disclosure & Reports. Available online: https://www1.nyc.gov/html/gbee/html/plan/ll84_scores.shtml (accessed on 28 October 2019).
  21. City of Chicago. Chicago Energy Benchmarking Results, Analysis, & Building Data. Available online: https://www.chicago.gov/city/en/depts/mayor/supp_info/chicago-energy-benchmarking/Chicago_Energy_Benchmarking_Reports_Data.html (accessed on 28 October 2019).
  22. Mahdavi, A.; Gurtekin, B. Shapes, numbers, perception: Aspects and dimensions of the design-performance space. In Proceedings of the 6th International Conference Design and Decision Support Systems in Architecture, Ellecom, The Netherlands, 1 January 2002; pp. 291–300. [Google Scholar]
  23. CBECS. User’s Guide to the 2012 CBECS Public Use Microdata; CBECS: Washington, DC, USA, 2016.
  24. Ueno, K.; Straube, J. BSD-151: Understanding Primary/Source and Site Energy. Available online: https://www.buildingscience.com/documents/digests/bsd151-understanding-primary-source-site-energy (accessed on 28 October 2019).
  25. EPA. Portfolio Manager Degree Days Calculator. Available online: https://portfoliomanager.energystar.gov/pm/degreeDaysCalculator (accessed on 27 October 2019).
  26. Sivak, M. Air conditioning versus heating: Climate control is more energy demanding in Minneapolis than in Miami. Environ. Res. Lett. 2013, 8, 014050. [Google Scholar] [CrossRef]
  27. Millar, M.A.; Burnside, N.M.; Yu, Z. District heating challenges for the UK. Energies 2019, 12, 310. [Google Scholar] [CrossRef]
  28. Multiple Regression Analysis Using SPSS Statistics. Available online: https://statistics.laerd.com/spss-tutorials/multiple-regression-using-spss-statistics.php (accessed on 21 October 2019).
  29. Landau, S.; Everitt, B.S. A Handbook of Statistical Analyses Using SPSS; Chapman and Hall/CRC: Boca Raton, FL, USA, 2003. [Google Scholar]
  30. Burton, C. Designing High Performance MEP Systems for Supertall Buildings: A Review of Challenges and Opportunities. Int. J. High Rise Build. 2017, 6, 301–306. [Google Scholar]
  31. Chiesa, G.; Acquaviva, A.; Grosso, M.; Bottaccioli, L.; Floridia, M.; Pristeri, E.; Sanna, E.M. Parametric Optimization of Window-to-Wall Ratio for Passive Buildings Adopting A Scripting Methodology to Dynamic-Energy Simulation. Sustainability 2019, 11, 3078. [Google Scholar] [CrossRef]
  32. Goia, F. Search for the optimal window-to-wall ratio in office buildings in different European climates and the implications on total energy saving potential. Solar Energy 2016, 132, 467–492. [Google Scholar] [CrossRef]
  33. Ballarini, I.; De Luca, G.; Paragamyan, A.; Pellegrino, A.; Corrado, V. Transformation of an office building into a nearly zero energy building (nZEB): Implications for thermal and visual comfort and energy performance. Energies 2019, 12, 895. [Google Scholar] [CrossRef]
  34. Agency, E.P. Energy Star PortFolio Manager. Available online: https://www.energystar.gov/buildings/facility-owners-and-managers/existing-buildings/use-portfolio-manager/understand-metrics/difference (accessed on 12 September 2019).
  35. Meng, T.; Hsu, D.; Han, A. Estimating energy savings from benchmarking policies in New York City. Energy 2017, 133, 415–423. [Google Scholar] [CrossRef]
Figure 1. NYC (New York City) office buildings larger than 500,000 ft2 (46,452 m2).
Figure 1. NYC (New York City) office buildings larger than 500,000 ft2 (46,452 m2).
Energies 12 04783 g001
Figure 2. Chicago office buildings larger than 500,000 ft2 (46,452 m2).
Figure 2. Chicago office buildings larger than 500,000 ft2 (46,452 m2).
Energies 12 04783 g002
Figure 3. Summary of data preparation methodology and process.
Figure 3. Summary of data preparation methodology and process.
Energies 12 04783 g003
Figure 4. Morphology type: types defined to categorize vertical space and volume distribution.
Figure 4. Morphology type: types defined to categorize vertical space and volume distribution.
Energies 12 04783 g004
Figure 5. Site and Source energy use intensity comparison between NYC and Chicago.
Figure 5. Site and Source energy use intensity comparison between NYC and Chicago.
Energies 12 04783 g005
Figure 6. Electricity, natural gas and district steam use comparison between NYC and Chicago.
Figure 6. Electricity, natural gas and district steam use comparison between NYC and Chicago.
Energies 12 04783 g006
Figure 7. Site and source energy use intensity per number of floors.
Figure 7. Site and source energy use intensity per number of floors.
Energies 12 04783 g007
Figure 8. Site and source energy use intensity per construction year.
Figure 8. Site and source energy use intensity per construction year.
Energies 12 04783 g008
Figure 9. Site and source energy use intensity per latest construction date including the major renovation.
Figure 9. Site and source energy use intensity per latest construction date including the major renovation.
Energies 12 04783 g009
Figure 10. Site and source energy use intensity per window-to-wall ratio.
Figure 10. Site and source energy use intensity per window-to-wall ratio.
Energies 12 04783 g010
Figure 11. Relation between Construction Year and Window to Wall Ratio.
Figure 11. Relation between Construction Year and Window to Wall Ratio.
Energies 12 04783 g011
Figure 12. Site and source energy use intensity per source site ratio.
Figure 12. Site and source energy use intensity per source site ratio.
Energies 12 04783 g012
Table 1. Data source of variables for analysis.
Table 1. Data source of variables for analysis.
Variable TypeNew YorkChicago
Physical Parameters
Number of Floors 42floors.com, skyscraper.org
therealdeal.com
42floors.com, skyscraper.org property.compstak.com
Gross Floor Area
Floor Area Ratiooasisnyc.netCalculated from Chicago Data Disclosure and Portal
Compactness FactorCalculated from 3D Models 1Calculated from 3D Models 2
Relative CompactnessCalculated from 3D Models 1Calculated from 3D Models 2
Window/Wall RatioCalculated from Google Earth Pro, Photos, Plans, Elevations Calculated from Google Earth Pro Photos, Plans, Elevations
Morphology TypeCalculated from 3D Models 1Calculated from 3D Models 2
Consumption Data 1
Source/Site EUINYC Energy Data DisclosureChicago Energy Data Disclosure
Electricity/Gas/Steam/Oil UseNYC Energy Data DisclosureChicago Energy Data Disclosure
Source Site RatioCalculated from NYC Energy Data DisclosureCalculated from Chicago Energy Data Disclosure
Year ConstructedNYC Energy Data DisclosureChicago Energy Data Disclosure
Recent Renovation DateNYC City DOBChicago City DOB
Notes: 1 downloaded from NYC Department of City Planning (updated in 2018), open data website; 2 downloaded from The City Project by boscorelli3D (updated August in 2017).
Table 2. Descriptive statistics of NYC and Chicago.
Table 2. Descriptive statistics of NYC and Chicago.
NYC Variables Descriptive Statistics
VariablesMinMaxMeanMedianStd. DeviationSkewness
StatisticStd. Error
Number of Floors510233.6434.0013.0800.6060.164
Gross Floor Area (m2)46,475337,85993,66678,54049,5831.8210.164
Floor Area Ratio (%)2.8848.0820.4220.276.110.8160.164
Compactness Factor (CF)0.0720.2620.1240.1210.0261.3990.164
Relative Compactness (RC)0.3130.9480.750.740.09−0.5520.164
Window Wall Ratio (%)157641.4041.0013.5540.1890.164
Source Site Ratio1.1705.5902.412.400.42−0.0200.164
Electricity Intensity (kWh/m2)0.00309.46148.47144.4948.620.9160.164
Natural Gas Use (kWh/m20.00700.3316.310.0555.818.9880.164
District Steam Use (kWh/m2)0.00251.0881.7269.6064.510.5610.164
Site EUI (kWh/m2)118.91730.04291.87275.5184.461.0200.164
Source EUI (kWh/m2)327.551453.24685.93670.71161.910.6930.164
Chicago Variables Descriptive Statistics
VariablesMinMaxMeanMedianStd. DeviationSkewness
StatisticStd. Error
Number of Floors611034.9936.0015.1171.3790.235
Gross Floor Area (m2)46,574416,514107,03089,15164,5862.4320.235
Floor Area Ratio (%)3.4861.9322.6722.1910.790.8240.235
Compactness Factor (CF)0.0680.1940.1130.1090.0240.9480.235
Relative Compactness (RC)0.4470.9750.780.800.11−0.4990.235
Window Wall Ratio197444.7443.0014.9960.3140.235
Source Site Ratio1.4423.1422.632.670.52−0.3810.235
Electricity Intensity (kWh/ft2)52.74318.59165.12160.1049.470.5430.235
Natural Gas Use (kBtu/ft2)0.00228.8351.364.540.2350.00228.83
District Steam Use (kBtu/ft2)No use reported for the selected samples
Site EUI (kWh/m2)137.44451.66243.74232.8962.270.6280.235
Source EUI (kWh/m2)270.931194.22619.37585.04135.411.0490.235
Table 3. Spearman’s rank correlation coefficients between variables.
Table 3. Spearman’s rank correlation coefficients between variables.
New York CityMorphology TypeYear ConstructedLatest ConstructionFloor Area Ratio (%)Window Wall Ratio (WWR)Compactness Factor (CF)(RC) Relative CompactnessSource Site Ratio
Number of Floors−0.386**0.362**0.1150.567**0.104−0.125−0.450**−0.229**
Morphology Type −0.300**−0.128−0.127−0.183**0.0440.272**0.039
Year Constructed 0.234**0.165*0.262**−0.132*−0.0350.151*
Latest Construction Date −0.0510.029−0.113−0.0980.064
Floor Area Ratio (%) 0.0460.100−0.169*0.071
Window Wall Ratio (WWR) 0.0320.043−0.060
(CF) Compactness Factor −0.465**0.025
(RC) Relative Compactness 0.137*
*. Correlation is significant at the 0.05 level (2-tailed), **. Correlation is significant at the 0.01 level (2-tailed).
ChicagoMorphology TypeYear ConstructedLatest ConstructionFloor Area Ratio (%)Window Wall Ratio (WWR)Compactness Factor (CF)(RC) Relative CompactnessSource Site Ratio
Number of Floors−0.327**0.459**0.1190.639**0.036−0.397**−0.0860.233*
Morphology Type −0.138−0.206*−0.169−0.0020.0020.184−0.113
Year Constructed −0.0270.460**0.307**−0.411**0.265**0.727**
Latest Construction Date 0.011−0.1210.068−0.394**0.154
Floor Area Ratio (%) 0.133−0.229*0.253**0.352**
Window Wall Ratio (WWR) −0.0980.289**0.281**
(CF) Compactness Factor −0.476**−0.144
(RC) Relative Compactness 0.076
*. Correlation is significant at the 0.05 level (2-tailed), **. Correlation is significant at the 0.01 level (2-tailed).
Table 4. NYC multiple regression analysis result.
Table 4. NYC multiple regression analysis result.
NYCWeather Normalized Site EUIWeather Normalized Source EUI
R = 0.872R2 = 0.761 R = 0.799R2 = 0.639
Standard-ized CoefficientstSigStandard-ized CoefficientstSig.
Number of Floors−0.2321.5520.063 *−0.2890.4520.056*
Grouped by Number of Floors0.302−1.8690.012 **0.343−1.9230.019 **
Morphology−0.0262.5230.530−0.0362.3660.460
Window Wall Ratio0.062−0.6290.013 **0.054−0.7400.237
Gross Floor Area0.1061.6430.0650.1651.1860.018 **
Year Constructed−0.0891.8550.048 **−0.0702.3830.195
Latest Construction Date0.051−1.9880.1880.044−1.3000.347
Floor Area Ratio (%)−0.0381.3210.427−0.0370.9430.530
(CF) Compactness Factor0.045−0.7960.4880.054−0.6290.494
(RC) Relative Compactness0.0500.6950.4250.0670.6850.378
Source Site Ratio−0.2510.7990.000 ***0.1760.8840.001 ***
Electricity Intensity 0.439−5.7750.000 ***0.6363.340.000 ***
Natural Gas Use 0.46311.4600.000 ***0.30913.710.000 ***
District Steam Use 0.52212.0470.000 ***0.4656.6330.000 ***
*** Significant at the 99% confidence level, ** significant at the 95% confidence level, * significant at the 90% confidence level.
Table 5. Chicago multiple regression analysis result.
Table 5. Chicago multiple regression analysis result.
CHICAGOWeather Normalized Site EUI Weather Normalized Source EUI
R = 0.919R2 = 0.845 R = 0.902R2 = 0.814
Standardized CoefficientstSig.Standardized CoefficientstSig
Number of Floors0.544−0.1880.014 **1.3890.1580.027 **
Grouped by Number of Floors−6.7701.0740.018 **−16.4451.1930.059 *
Morphology1.500−1.1730.3741.639−1.2380.649
Window Wall Ratio−3.0570.7420.009 **−5.1140.3530.117
Gross Floor Area−8.201 × 10−5−1.5750.0720−1.1450.059 *
Year Constructed0.140−1.1090.054 *0.058−1.2030.675
Latest Construction Date0.0790.9350.3200.0940.1680.536
Floor Area Ratio (%)0.2480.6750.3650.0420.3470.937
(CF) Compactness Factor−41.7430.7480.739−284.7120.0550.302
(RC) Relative Compactness−72.377−0.1820.009−179.293−0.5410.023
Source Site Ratio−97.220−1.5170.005 **−50.714−1.6330.009 **
Electricity Intensity1.094−7.8100.005 **3.046−1.7700.005 **
** significant at the 95% confidence level, * significant at the 90% confidence level.

Share and Cite

MDPI and ACS Style

Won, C.; No, S.; Alhadidi, Q. Factors Affecting Energy Performance of Large-Scale Office Buildings: Analysis of Benchmarking Data from New York City and Chicago. Energies 2019, 12, 4783. https://doi.org/10.3390/en12244783

AMA Style

Won C, No S, Alhadidi Q. Factors Affecting Energy Performance of Large-Scale Office Buildings: Analysis of Benchmarking Data from New York City and Chicago. Energies. 2019; 12(24):4783. https://doi.org/10.3390/en12244783

Chicago/Turabian Style

Won, ChungYeon, SangTae No, and Qamar Alhadidi. 2019. "Factors Affecting Energy Performance of Large-Scale Office Buildings: Analysis of Benchmarking Data from New York City and Chicago" Energies 12, no. 24: 4783. https://doi.org/10.3390/en12244783

APA Style

Won, C., No, S., & Alhadidi, Q. (2019). Factors Affecting Energy Performance of Large-Scale Office Buildings: Analysis of Benchmarking Data from New York City and Chicago. Energies, 12(24), 4783. https://doi.org/10.3390/en12244783

Note that from the first issue of 2016, this journal uses article numbers instead of page numbers. See further details here.

Article Metrics

Back to TopTop