Next Article in Journal
Performance Evaluation of an Anti Gas-Channeling System (Asphalt-Rigid Particle-Xanthan Gum) Applied in High-Temperature and High-Salinity Fractured Reservoir
Previous Article in Journal
A Novel Lithium Battery Equalization Circuit with Any Number of Inductors
 
 
Font Type:
Arial Georgia Verdana
Font Size:
Aa Aa Aa
Line Spacing:
Column Width:
Background:
Article

Novel Grounding Electrode Model with Axial Construction Space Consideration

1
State Key Laboratory of Power Transmission Equipment & System Security and New Technology, Chongqing University, Chongqing 400030, China
2
Maintenance & Test Centre, EHV, China Southern Power Grid, Guangzhou 510663, China
*
Author to whom correspondence should be addressed.
Energies 2019, 12(24), 4765; https://doi.org/10.3390/en12244765
Submission received: 4 November 2019 / Revised: 3 December 2019 / Accepted: 12 December 2019 / Published: 13 December 2019
(This article belongs to the Section D1: Advanced Energy Materials)

Abstract

:
Grounding electrodes are used to ensure safe operation of electrical apparatus. The limited axial construction space for grounding electrodes is a significant constraining factor. Grounding performance will attenuate rapidly under the influence of the reduced length of horizontal or vertical grounding electrodes. However, if additional resistance-reducing measures are adopted, the operation and maintenance cost of grounding electrodes will considerably increase. To solve above problem, this study proposed a novel grounding model that uses a helical grounding electrode to improve grounding performance within limited axial construction space. Firstly, a calculation model of finite element methods (FEM) is built based on the concept of increasing the contact area between the grounding electrodes and the soil. Grounding performance parameters of helical grounding electrodes, grounding resistance, electrical potential rise (EPR) distribution and maximum touch voltage, are analyzed. At the same time, structural parameters and buried depth for the helical grounding electrodes are studied and the optimal design criteria for the parameters are given. Results show that the helical grounding electrode exhibits better grounding performance in a limited axial construction area.

Graphical Abstract

1. Introduction

A grounding system is an important component of a power system, and it ensures the safe operation of most electrical equipment. A grounding system primarily consists of many different grounding electrodes. To ensure the operator’s safety and reduce insulation breakdown caused by overvoltage, grounding electrodes need to have low enough potential in any condition. Therefore, qualified grounding electrodes should have good enough grounding performance to ensure the safety and reliability of electric apparatus [1].
Discharging current distribution on the grounding electrode surface has an obvious end effect, which means the discharging current tends to concentrate at the two ends [2]. The end effect will cause corrosion fracture of grounding electrodes since non-uniformly distributed discharging current can accelerate corrosion of the grounding [3]. Research of the basic electromagnetic characteristics of horizontal and vertical grounding electrodes has established a theoretical foundation for the safe operation of transmission lines. Numerous scholars have comprehensively discussed this issue in terms of impedance, transient characteristics, and frequency characteristics [4,5,6]. To investigate the electrostatic grounding problems of vertical grounding electrodes, the interpolating element-free Galerkin meshless method is proposed for analyzing electrical potential rise (EPR) and grounding resistance [7]. Ursula C. Resende used the impedance and fall-of-potential methods to model single- and double-grounding systems in various types of soil and determined the relationship between soil and grounding resistance [8]. Yuan Tao et al. proposed an effective algorithm for calculating current distribution on grounding electrode surface and grounding electrodes with added spicules to improve the distribution uniformity of the discharging current. The results showed that adding a short conductor perpendicular to the horizontal grounding electrode effectively improved current discharging performance and resistance reduction characteristics [9,10,11,12]. Visacro proposed a design scheme to determine the minimum grounding electrode length based on the critical peak current, which is particularly suitable for the design of long transmission lines [13]. The soil environment seriously influences the performance of traditional grounding systems. Jinliang He proposed an optimal design for grounding systems by using a vertical grounding electrode to improve grounding performance in a frozen soil district [14].
The above studies have mainly focused on analyzing the grounding performance of existing grounding electrodes. Only a few scholars have proposed a new grounding electrode structure when working conditions do not satisfy grounding performance. Existing horizontal and vertical grounding electrodes are easily affected by the construction environment. Grounding performance will be seriously degraded in regions with limited axial construction space. A novel grounding electrode model is proposed—helical grounding electrodes—and it can improve the grounding performance of grounding electrodes within a limited axial construction space. Firstly, a finite element analysis method was derived for the helical grounding electrode, and a simulation model was built. Effective perimeter, electrical potential rise (EPR) distribution, maximum touch voltage, and other parameters of horizontal and helical grounding electrodes were compared and analyzed using the finite element method (FEM). Secondly, the grounding performance of helical grounding electrodes with different buried depths, radius and axial pitches were analyzed. To guarantee grounding performance, the design of the helical grounding electrode structure in the optimum axial space unit was applied.

2. Description of Existing Grounding Methods

Most grounding devices of transmission power towers are bonded with horizontal grounding electrodes and vertical grounding electrodes, as shown in Figure 1.
To improve grounding performance of the grounding devices, welding conductors (light grey part in Figure 1) are used to connect each grounding electrode. Additional vertical grounding electrodes are sometimes required in some high resistivity regions. Horizontal grounding electrodes and vertical grounding electrodes must have enough length to ensure the operation security of power transmission lines, which means large construction areas are needed. Those grounding methods can achieve good grounding performance in clay, silt, and other low-resistivity soils. However, the grounding performance of those grounding electrodes will be reduced considerably in sand, gravel, pebbles, and other kinds of high-resistivity soil. Partially replacing soil, adding a resistance reduction agent, and increasing the contact area between the grounding electrode and soil are common methods for improving the grounding performance in high-resistivity soil. Common resistance reduction agents can improve grounding performance to a certain extent, but they may result in environmental pollution, grounding electrode corrosion, and high maintenance cost. Given economical and practical considerations, the most direct and effective approach for improving grounding performance is to increase the contact area of soil by increasing the length of horizontal and vertical grounding electrodes. In an actual engineering project, the construction of grounding electrodes in an underground environment is very complicated. A horizontal grounding electrode is presented as an example in Figure 2.
The dotted line in the Figure 2 denotes the original length of the horizontal grounding electrode, and the length of the horizontal grounding electrode must be shortened, affected by axial construction space limitations. As shown on the right side of Figure 2, buried metal pipes, rock layers, rivers, farmland, and other special terrains can seriously affect the available construction space of grounding electrodes. Land resources for supply and demand will become increasingly limited in the future, and the construction space of grounding electrodes will be compressed further. With the development of large-capacity transmission and limited transmission corridor resources, the grounding performance in unit axial space will be one of the future key research directions in the field of electrical engineering. This study proposes that the helical grounding electrode model can avoid the disadvantages of horizontal and vertical grounding electrodes by increasing the contact area between the grounding electrode and soil as shown in Figure 3.
The above problem can be solved by using helical grounding electrodes to replace the horizontal grounding electrodes or vertical grounding electrodes in Figure 1. Copper and carbon steel, widely used in present grounding devices, are easily used to make helical structure conductors. Helical grounding electrodes and ground leads are tangent welded, which can make current distribution on grounding electrodes more even. Furthermore, helical grounding electrodes effectively expand the contact area between the grounding electrode and soil and improve grounding performance in unit axial construction space.

3. FEM of Helical Grounding Electrode

The current discharging ability of grounding electrodes is an important index for measuring the grounding performance of a grounding system in an actual project. The space potential equations of grounding electrodes are typically used to analyze the current discharging process. Grounding electrodes can be approximated as equipotential bodies during the ground current discharging process by using the grounding electrode’s conductor material. To solve the potential of any point in infinite soil, grounding electrodes can be considered a set of point current sources. The Laplace equation calculates the space potential generated by a current source at any point [15].
2 φ = ρ s I δ ( r r ) ,
where φ is the potential function, 2 is the Laplace operator, I is the point current source in the field, r is the spatial location vector of the field point, r is the spatial location vector of the source point, δ ( r r ) is the Dirac delta function and ρ s is soil resistivity.
The theoretical the zero potential reference point should be at infinity, and the grounding parameters calculation is a complicated open area problem. The finite element method (FEM) is adopted to simplify the process of the calculation. Ground potential rise is mainly concentrated above the grounding electrodes, then quickly reduces to almost zero when it is away from the area [16]. The radius of the simulated semi-spherical soil area need to be large enough to ignore the and the truncation error of zero potential hemispherical boundary. Mapping method is adopted to further decrease the amount of calculation based on FEM.
Figure 4 shows the analysis model of a helical grounding electrode. Grounding device means helical grounding electrodes or any grounding electrode of another form. This model is built on the basis of FEM, where Γ 1 is the interface between the soil medium and air, Γ 2 is the interface between the grounding device surface and the soil medium, Γ 3 is the interface between the soil and mapping area, Γ 4 is the equivalent boundary of the simulating zero potential at infinity, Ω 1 is soil area, Ω 2 is mapping area, and Ω 3 is air area. Ω 2 is used to simulate the influence of outside area Ω 3 on Ω 1 . Ω 1 is the main area to be solved. Arbitrary point ( x , y , z ) outside Ω 1 can be transformed into the following form [17].
( x , y , z ) = ( a R r ( a 1 ) R 2 r 2 ) ( x , y , z ) ,
where ( x , y , z ) is coordinate after transformation, r = x 2 + y 2 + z 2 , R is the radius of Γ 3 , a is a proportion coefficient given by dividing the radius of Γ 4 by R. The grounding electrode consists of a conductor material, and the potential descent of the grounding electrode surface can be disregarded given that we assume that the surface potential of the helical grounding electrode is a constant φ 0 . Figure 4 shows the boundary conditions of the potential equation.
{ φ n | Γ 1 = 0       φ n | Γ 3 = φ n | Γ 4 φ | Γ 4 = 0           φ | Γ 2 = φ 0 .
From Equations (1) to (3), the analysis process of the discharging current of the helical grounding electrode is a typical Poisson boundary problem. The calculation process can be transformed into equivalent variational problems.
J { φ } = 1 2 Ω 1 ρ s ( φ ) 2 d Ω Ω I δ ( r r ) φ d Ω = min .
The Ritz method is a classic method for solving variational problems. Assume that functionalities are defined in L2(E) space. Then, we select a set of canonical orthonormal series { x 1 , x 2 , , x n } as the approximate basis of L2(E) space, thereby expanding the space potential function.
φ ˜ = i = 1 n a i x i ,
where a i ( i = 1 , 2 , , n ) is the determined coefficient. The function in Equation (5) can be written as the inner product form as follows:
J ( φ ) = 1 2 < A φ , φ > < φ , s > .
From Equations (5) and (6), the functional problem can be transformed into the extremum problem of the undetermined coefficient a i .
J ( φ ) = J ( φ ˜ ) = 1 2 i = 1 n j = 1 n a i a j < A x i , x j > i = 1 n a i < x i , s > = min ,
J ( a i ) a i = 0   ( i = 1 , 2 , , n ) .
The Ritz method is based on the FEM principle. The field is divided into numerous smaller elements and the basis function is selected. Then the basic functions with different coefficients are matched with various elements. The basis and potential functions are assumed to be continuous within a single small element, and the potential function satisfies the continuity condition on the simple boundary between the small elements.
In 3D calculations based on FEM, prisms, hexahedrons, and tetrahedrons are typically used as subdivisions of small elements. Assuming that the soil potential field is divided into Z0 tetrahedrons. Then, N0 discrete nodes are obtained. Each node at the vertices of a tetrahedron has a unique potential function. The Ritz method is repeated on each small element, where the functional in the entire field can be approximated as a multivariate function, using the value of all node functions as an argument. The multivariate function is shown as follows:
J ( φ ) = e = 1 z 0 J e ( φ ˜ ) = e = 1 z 0 i = 1 N 0 J e ( a i x i ) = min .
In accordance with the extremum principle of a multivariate function, a series of algebraic equations and the approximate solution to the value of each element node in a potential field are obtained as below:
J ( x i ) x i = 0   ( i = 1 , 2 , , n ) .

4. Analysis of Grounding Performance

Good grounding performance can guarantee the safe operation of electrical equipment and transmission lines. Grounding resistance and EPR distribution are the main index for the grounding performance. The finite element calculation software COMSOL Multiphysics (5.4, COMSOL Inc., Stockholm, Sweden) is adopted in this study. The analysis of the grounding performance of the helical grounding electrode is presented as follows.
The steady grounding current mainly consists of a three-phase imbalance current and induction current between power lines and overhead ground lines. Therefore, frequency of most steady grounding current is 50 Hz and the electromagnetic field distribution that surrounds the grounding electrode can be approximately equivalent to the electrostatic field. This work mainly focus on steady state grounding performance and direct current of 1 A is selected as the injection grounding current to simplify the calculation. Buried depth is selected as 0.8 m and the radius of grounding electrodes is 12 mm. A hemispherical model is built to simulate an infinitely uniform soil (marked in grey), and the hemispherical sphere surface potential is set to zero to simulate perfect zero potential at infinity (marked in blue), as shown in Figure 5.

4.1. Single Grounding Electrode

4.1.1. Simulation Model of Grounding Electrodes

The research objects are a 10 m horizontal grounding electrode, a 10 m vertical grounding electrode, and a helical grounding electrode with 10 m axial construction space, as shown in Figure 6. Some specified parameters, such as major radius, number of turns, and axial pitch, only work for helical grounding electrodes. Axial pitch is defined as the distance between two adjacent turns of helical grounding electrode. Major radius is 0.5 m and axial pitch is 0.5 m. Turns can be obtained through dividing fixed axial construction space by axial pitch. The buried depth of the helical grounding electrode is defined as the distance between its upper surface and the ground surface.

4.1.2. Analysis of Effective Perimeter

Grounding resistance is an important parameter for measuring grounding performance, however, grounding resistance is linear to the soil resistivity and is easy to changes in soil environment. To accurately compare the grounding performance of different kinds of grounding electrodes and emulate the influence of soil resistivity, effective perimeter is defined as the soil resistivity divided by grounding resistance [18]. A larger effective perimeter means a lower grounding resistance value in the same soil resistivity and better grounding performance. The grounding resistance and effective perimeter of horizontal grounding electrodes, vertical grounding electrodes, and helical grounding electrodes under 10 m axial construction space as shown in Figure 6 were analyzed. The FEM calculation results of the three kinds of grounding electrode are presented in Table 1.
The effective perimeter of the grounding electrodes is 8.69m, 7.56m, and 14.60m in horizontal grounding electrodes, vertical grounding electrodes, and helical grounding electrodes, respectively. Vertical grounding electrodes have the lowest effective perimeter and poorest grounding performance so that it is usually used as a complement to other grounding ways. The results indicate that helical grounding electrodes have the lowest grounding resistance in soil of different resistivity with a fixed axial construction space. In some high resistivity environments, helical grounding electrodes more easily meet grounding requirements, compared to the horizontal grounding electrodes and vertical grounding electrodes. The length of horizontal grounding electrodes and vertical grounding electrodes that has the same effective perimeter as helical grounding electrodes was analyzed based on the formulas in [19].
Table 2 indicates that a 24.2 m horizontal grounding electrode and a 19.7 m vertical grounding electrode has the same effective perimeter as the helical grounding electrode with 10 m construction space. Helical grounding electrodes can obviously improve the grounding performance at the same construction space, compared to another two types of grounding methods.

4.1.3. Analysis of EPR

EPR distribution is an anther important index for judging grounding performance, which directly affects the step voltage, contact voltage, transfer voltage, and so on. The EPR distribution in 100 Ω·m soil was selected. Step voltage and touch voltage, which are common causes of safety accidents, exhibit a close relationship with EPR distribution. EPR distribution directly affects the operation security of other metal grounding systems near the grounding electrode. Step length of touch voltage was selected as 1 m. The calculation results of the EPR and maximum touch voltage in the three types of grounding electrodes are shown below.
Table 3 indicates that helical grounding electrodes have the lowest maximum touch voltage, at 3.08 V, which is less than half that of horizontal grounding electrodes and vertical grounding electrodes, at 7.80 and 7.11 V, respectively. Figure 7 shows the EPR distribution of the three types of grounding electrodes. All increments of EPR appear directly above the area of the grounding electrode. EPR will attenuate rapidly once it is away from the soil area that surrounds the grounding electrode. The maximum EPR is the key factor that affects step voltage. The maximum step voltage occurs in an approximate circular area with the axial construction space length as its diameter. The maximum increase of the EPR of the helical grounding electrode is 6.83 V, which is approximately 48% lower than the maximum EPR increase of the horizontal grounding electrode (13.2 V) and around 40% lower than that of the vertical grounding electrode (11.5 V). EPR and ground injection current are linear, therefore, helical grounding electrodes have much lower EPR and important engineering significance when ground injection current is large enough.

4.2. Tower Grounding Devices with Multiple Grounding Electrodes

4.2.1. Simulation Model of Tower Grounding Devices

The tower grounding devices are usually bonded by several horizontal grounding electrodes or vertical grounding electrodes as shown in Figure 1. Tower basis was selected as a typical 5 × 5 m rectangle. Each tower foot has a ground lead. All end conductors, ground leads, and rectangular conductors are welded. The research objects were selected as different end conductors including horizontal grounding electrodes, vertical grounding electrodes, a mixture of horizontal and vertical grounding electrodes, and helical grounding electrodes. Parameters for each kind of grounding electrode are shown in Figure 8.

4.2.2. Analysis of the Effective Perimeter

The effective perimeter indicates that grounding performance in soil of different resistivity as mentioned before. The effective perimeter of the four types of tower grounding devices with 10 m fixed axial construction space as shown in Figure 8 were analyzed. The FEM calculation results of the three kinds of grounding electrode are presented as follows.
Table 4 indicates that the horizontal tower grounding device and vertical tower grounding device have almost the same effective perimeter, at 25.3 m and 25.2 m. In some high resistivity environments, mixture tower grounding devices are adopted to improve the grounding performance. The effective perimeter of mixture grounding device is 36.6 m, but the mixture grounding device needs both axial construction space and vertical construction space. The helical tower grounding device has the largest effective perimeter, at 37.84 m, and has the smallest grounding resistance with the same axial construction space, compared to the other three typical types of tower grounding devices. The end conductor length of the other three types of grounding methods that have the same effective perimeter as helical grounding device was analyzed based on FEM calculation.
Table 5 indicates that 18.5 m horizontal grounding electrodes and 19.2 m vertical grounding electrodes have the same effective perimeter as the helical grounding electrode with 10 m construction space. Mixture ground devices need 10.5 m axial and vertical construction space to reach a 37.84 m effective perimeter. Therefore, helical grounding electrodes can obviously improve the grounding performance at the same construction space, compared to the other three types of grounding grids.

4.2.3. Analysis of EPR

EPR distribution is also another index for judging grounding performance. The EPR distribution in 100 Ω·m soil was selected. Step length of touch voltage was selected as 1 m. The calculation results of the EPR and maximum touch voltage in the four types of grounding electrodes are shown below.
Table 6 indicates that horizontal grounding device and vertical grounding device have larger maximum touch voltages, at 1.16 and 1.24 V. The maximum touch voltage of the helical grounding device is lowest, at 0.3 V, and that of the mixture grounding device is 0.72 V. Figure 9 shows increments of EPR appear directly above the area of the tower grounding device. EPR will decrease rapidly when it is away from the soil area that surrounds the tower grounding device. The maximum EPR of horizontal and vertical tower grounding devices are 3.94 and 3.96 V. The mixture tower grounding device peaks at 2.73 V while the helical tower grounding device has the minimum value of 2.63 V. The helical tower grounding device has a much lower EPR distribution.

5. Parameters Design of Helical Grounding Electrodes

The helical grounding electrode has a spatial 3D structure, which is more complicated than the horizontal grounding electrode, where buried depth and structural parameters should be reanalyzed. The helical tower grounding device is welded by four single helical grounding electrodes and the single helical grounding electrode was chosen as the research object. The control variable method was adopted since there were numerous variables for parameters. If no special instruction was given, then the structural parameters were the same as the parameters in Section 4.1.1, and the default buried depth was still selected as 0.8 m. The numerical results of FEM are discrete values. Hence, a fitting analytical expression within a selected range of discrete results was used to achieve an accurate analysis of those parameters.

5.1. Analysis of Buried Depth

The buried depth of grounding electrodes is an important parameter that affects grounding performance. The EPR will increase considerably, particularly if the grounding electrode is not buried deep enough. The grounding electrode will easily corrode in the area between 0.1 and 0.5 m below the ground surface, where soil easily becomes dry and wet. Hence, helical grounding electrodes with buried depths of 0.5–3.0 m were selected. The grounding resistance was calculated using FEM, and the exponential function was used to fit the discrete results based on the FEM results to obtain the following expression:
R r e s i s t a n c e = 5.12 + 0.68 e 1.82 h + 1.85 e 0.43 h .
The discrete results of the numerical calculation, analytical results, and derivatives of Equation (11) are shown in Figure 10.
The left side of Figure 10 shows that the resistance of the helical grounding electrode decreases as buried depth increases. Buried depth increases from 0.5 to 3.0 m, and grounding resistance decreases slightly, exhibiting a reduction of approximately 1.3 Ω. The first and second derivatives of the grounding resistance with respect to buried depth are shown on the right side of Figure 10. This figure reflects the variation of grounding resistance with buried depth. If buried depth is greater than 2.0 m, then the absolute value of the first derivative of the grounding resistance is approximately 0.4. As buried depth increases, the absolute value of the first derivative slowly decreases, and grounding resistance does not significantly change. The buried depth of the helical grounding electrode is defined as the distance between its upper surface and the ground surface. Therefore, the excavation depth should be the buried depth plus the helical diameter in an actual construction process. Considering the reduction of grounding resistance, the amount of construction, and the cost of the construction process, the buried depth should be controlled within a range of 0.5–2.0 m according to the actual grounding environment.

5.2. Analysis of Buried Radius

The radius of the helical grounding electrode comprises a major and minor radius. The major radius affects the contact area between the grounding electrode and soil, whereas the minor radius affects operation security and material utilization. The major and minor radii affect grounding performance. The grounding resistance of the helical grounding electrode with a major radius of 0.1–2.5 m (step size: 0.1 m) was calculated. An exponential function is used to fit the discrete results based on FEM to obtain the following expression:
R r e s i s t a n c e = 2.39 + 6.13 e 0.89 R M a j o r + 6.04 e 6.38 R M a j o r .
The discrete results of the numerical calculation, analytical results, and derivatives of the preceding formula are shown in Figure 11.
As shown on the left side of Figure 11, the contact area between the grounding electrode and soil increases as the major radius increases. The shield effect weakens with radial distance increasing, and grounding resistance exhibits a decreasing trend. An excessive major radius will increase construction costs and reduce the material utilization of the grounding electrode according to the structure of the helical grounding electrode. The effect of the major radius on grounding resistance was further analyzed using the derivation of Equation (12). The result is presented on the right side of Figure 11. The absolute value of the first derivative is rapidly attenuated as the major radius increases from 0.1 to 0.5 m, and grounding resistance decreases promptly as the major radius increases. The first derivative is a relatively small value that approaches 0 at an extremely slow speed when the major radius is greater than 1 m. Grounding resistance is not reduced significantly as the major radius increases. Hence, the optimum major radius of the helical grounding electrode should be designed within a range of 0.5–1 m. Such design takes the advantage of the resistance-reducing characteristic of the major radius.
To analyze the influence of the minor radius of the helical grounding electrode on grounding performance, the grounding resistance of the helical grounding electrode with a minor radius of 5–30 mm (step size: 1 mm) was calculated, and the exponential function was used to fit the discrete results from finite element numerical calculations to obtain the following expression:
R r e s i s t a n c e = 5.78 + 0.59 e 262.36 R M i n o r + 0.83 e 31.7 R M i n o r .
The discrete results of the numerical calculations, the analytical results, and the derivative distribution of Equation (13) are shown in Figure 12.
The left side of Figure 12 indicates that grounding resistance decreases as the minor radius increases, but the grounding resistance with a minor radius of 30 mm is only 0.55 Ω less than the grounding resistance with a minor radius of 5 mm. However, the metallic materials are considerably increased. Increasing the minor radius should not be used as a main method to reduce grounding resistance. The design of the minor radius should not base on the reduction of grounding resistance. The right side of Figure 12 indicates that the absolute value of the first derivative of grounding resistance is relatively greater and decreases rapidly with a minor radius of 5–20 mm. The change in radius within this range considerably influences grounding resistance. As the absolute value of the first derivative decreases, the effect of the minor radius on grounding resistance also gradually decreases. The absolute value of the first derivative is already small enough when the minor radius is greater than 20 mm, and the influence of the minor radius on grounding resistance is pretty weak. Considering grounding performance and material utilization, the optimal minor radius can be fine-tuned according to the actual buried environment whilst selecting values between 5 and 20 mm for the optimal minor radius.

5.3. Analysis of Axial Pitch and Turns

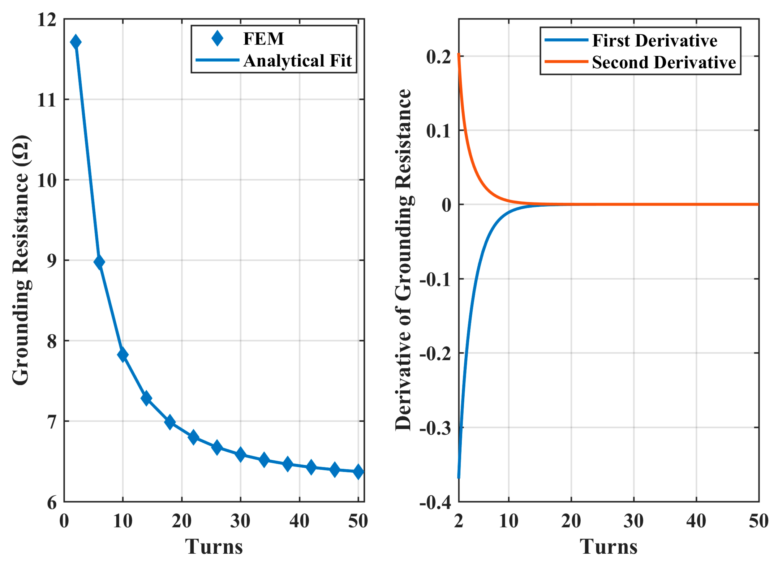
The grounding performances is easily affected by the interaction between conductors of two adjacent turns. This phenomenon is called the shield effect. More turns mean the smaller axial pitch when axial construction space is fixed, which will cause a serious shield effect and poorer grounding performance. Most present grounding methods cannot achieve good grounding performance at some special spaces. Therefore, helical grounding electrodes with different turns (2–50, step length is 4) were selected, and axial construction length was assumed as 10 m. The grounding resistance was calculated using FEM, and the exponential function was used to fit the discrete results based on the FEM results to obtain the following expression:
R r e s i s t a n c e = 6 . 29 + 6 . 01 e 0 . 26 T + 2.08 e 0.07 T .
The discrete results of the numerical calculations, the analytical results, and the derivative distribution of Equation (14) are shown in Figure 13.
The left side of Figure 13 shows grounding resistance is reduced with the increase of turns or the decrease of axial pitch. Turns increase from 2 to 50, and grounding resistance decreases sharply from 11.9 to 6.9 Ω within 20 turns. The first and second derivatives of the grounding resistance with respect to turns are shown the right side of Figure 13. The figure indicates that absolute value of the first derivative of the grounding resistance is approximately 0 within 10–20 turns. As the turns increase further, there is no obvious reduction of grounding resistance. Axial pitch equals axial construction length divided by turns. A total of 2–50 turns means the axial pitch range is 0.2–5 m. Grounding resistance is always reduced with increase of turns, but the rate of decrease is always affected by axial pitch. The priority parameters that need to be chosen were axial pitch, and then the turns can be confirmed based on axial pitch and axial construction length. Considering grounding performance and material utilization, the optimal axial pitch can be fine-tuned according to the actual buried environment whilst selecting values between 0.5 and 1 m for the optimal turns. Axial construction length is usually given by the actual environment, therefore turns can be known and axial pitch is given based on the above principle.

6. Conclusions

The grounding performance of existing grounding electrodes is seriously degraded when axial construction space is limited, which may cause electrical accidents. This study proposed a helical grounding electrode to improve grounding performance with limited axial construction space. The results are as follows.
The grounding resistance and EPR distribution of the helical grounding electrode are better than those parameters for other kinds of grounding electrodes under the same axial construction space in soil with different resistivities. The helical grounding electrode has smaller grounding resistance and better grounding performance without additional resistance-reducing measures. Besides, the grounding resistance of the helical grounding electrode with 10 m axial construction length is equal to that of the 24.2 m horizontal grounding electrode and 19.7 m vertical grounding electrode. The grounding resistance of the helical tower grounding device with 10 m axial construction space is equal to that of the horizontal tower grounding device with 18.5 m end conductors, the vertical tower grounding device with 19.2 m end conductors and the mixture tower grounding device with 10.5 m end conductors. Therefore, helical grounding electrodes can improve the grounding performance within the same axial construction space effectively. The maximum EPR and maximum touch voltage of the helical grounding electrode is smaller significantly than other grounding electrodes and the helical grounding electrodes have better surface potential distribution.
The construction cost, material utilization, and grounding performance of the helical grounding electrode were considered comprehensively. Parameters design for helical grounding electrodes was given. The buried depth should be selected within the range of 0.5–2.0 m. The major radius of the helical grounding electrode is within the range of 0.5–2 m; the minor radius is within the range of 5–20 mm; the axial pitch is between 0.5 and 1 m. These parameters could be slightly modified according to the actual soil resistivity and field conditions.
Helical grounding electrode has better grounding performance in a complex environment, which ensures the reliability and safety of power system effectively.

Author Contributions

Conceptualization, Y.D. and Z.Z.; methodology, Y.D. and Z.Z.; software, Y.D. and Y.L.; validation, Y.D., J.D. and J.Z.; formal analysis, Y.D.; investigation, Y.L. and J.D.; resources, Y.L.; data curation Y.D.; writing—original draft preparation, Y.D. and Z.Z.; writing—review and editing, Y.D. and Z.Z.; visualization, Y.D.; supervision, Z.Z.; project administration, Y.D. and Z.Z.

Funding

This research was funded by National Natural Science Foundation of China, grant number 51577017, the National Key Research and Development Program of China (2017YFB0902701) and the Fundamental Research Funds for the Central Universities, grant number 2019CDXYDQ0010.

Conflicts of Interest

The authors declare no conflict of interest. The funders had no role in the design of the study, in the collection, analyses, or interpretation of data; in the writing of the manuscript, or in the decision to publish the results.

References

  1. Zhang, Z.; Dan, Y. Helix grounding electrode with good grounding performance. JCMME 2018, 277, 1–9. [Google Scholar] [CrossRef]
  2. Zhang, Z.; Dan, Y. Research on Discharging Current Distribution of Grounding Electrodes. IEEE Access 2019, 7, 59287–59298. [Google Scholar] [CrossRef]
  3. Goidanich, S.; Lazzari, L. AC corrosion. Part 2: Parameters influencing corrosion rate. Corros. Sci. 2010, 52, 916–922. [Google Scholar] [CrossRef]
  4. Yamamoto, K.; Yanagawa, S. Analytical Surveys of Transient and Frequency-Dependent Grounding Characteristics of a Wind Turbine Generator System on the Basis of Field Tests. IEEE Trans. Power Deliv. 2010, 25, 3035–3043. [Google Scholar] [CrossRef]
  5. Grcev, L. Time- and Frequency-Dependent Lightning Surge Characteristics of Grounding Electrodes. IEEE Trans. Power Deliv. 2009, 24, 2186–2196. [Google Scholar] [CrossRef]
  6. Alipio, R.; Visacro, S. Impulse Efficiency of Grounding Electrodes: Effect of Frequency-Dependent Soil Parameters. IEEE Trans. Power Deliv. 2014, 26, 716–723. [Google Scholar] [CrossRef]
  7. Resende, U.C.; Alipio, R. Proposals for Inclusion of the Electrode Radius in Grounding Systems Analysis Using Interpolating Element-Free Galerkin Method. IEEE Trans. Magn. 2018, 54, 1–4. [Google Scholar] [CrossRef]
  8. Barton, G.; Furse, C. Calculating Grounding-Electrode Impedance Using Fall-of-Potential and Impedance Methods. IEEE Antennas Propag. Mag. 2010, 52, 151–154. [Google Scholar] [CrossRef]
  9. Tao, Y.; Wenxia, S. Current Distribution of Two Kinds Grounding Electrode. High Volt. Eng. 2008, 34, 239–242. [Google Scholar]
  10. Zhu, B.; Sima, W. Structure parameter optimization of grounding device with needle-shaped conductors based on electric field distribution in soil. Power Syst. Technol. 2015, 39, 2907–2914. [Google Scholar]
  11. Li, J.; Jiang, J. Simulation and experiment study on resistance-reducing mechanism of grounding device with spicules. Power Syst. Technol. 2013, 37, 211–217. [Google Scholar]
  12. Sima, W.; Zhu, B. Finite-Element Model of Grounding Electrode Impulse Characteristics in Complex Soil Structure Based on Geometric Coordinate Transformation. IEEE Trans. Power Deliv. 2016, 31, 96–102. [Google Scholar] [CrossRef]
  13. Visacro, S.; Silveira, F.H. Lightning Performance of Transmission Lines: Methodology to Design Grounding Electrodes to Ensure an Expected Outage Rate. IEEE Trans. Power Deliv. 2015, 30, 237–245. [Google Scholar] [CrossRef]
  14. He, J.; Gao, Y. Optimal design of grounding system considering the influence of seasonal frozen soil layer. IEEE Trans. Power Deliv. 2005, 20, 107–115. [Google Scholar] [CrossRef]
  15. He, W.; Zhang, R. Parameter Estimation of Horizontal Multi-layer Earth in Substation. IEEE Trans. Power Deliv. 2014, 34, 5964–5973. [Google Scholar]
  16. Zhang, B.; Zeng, R. Numerical analysis of potential distribution between ground electrodes of HVDC system considering the effect of deep earth layers. IET Gener. Transm. Distrib. 2008, 2, 185–191. [Google Scholar] [CrossRef]
  17. Stohchniol, A. A general transformation for open boundary finite element method for electromagnetic problems. IEEE Trans. Magn. 1992, 29, 1679–1681. [Google Scholar] [CrossRef]
  18. Zaborsky, J. Efficiency of grounding grids with nonuniform soil. AIEE Trans. 1995, 74, 1230–1233. [Google Scholar] [CrossRef]
  19. Code for Design of ac Electrical Constructions Earthing. Available online: https://vdisk.weibo.com/s/aPXAn9zwblZN6?sudaref=www.baidu.comhttp://www.csres.com/detail/224319.html (accessed on 1 November 2019).
Figure 1. Schematic diagram of tower grounding devices.
Figure 1. Schematic diagram of tower grounding devices.
Energies 12 04765 g001
Figure 2. Construction method for existing grounding electrodes.
Figure 2. Construction method for existing grounding electrodes.
Energies 12 04765 g002
Figure 3. Schematic of helical grounding electrode.
Figure 3. Schematic of helical grounding electrode.
Energies 12 04765 g003
Figure 4. Analysis model of helical grounding electrode.
Figure 4. Analysis model of helical grounding electrode.
Energies 12 04765 g004
Figure 5. Analysis model of helical grounding electrode.
Figure 5. Analysis model of helical grounding electrode.
Energies 12 04765 g005
Figure 6. Model of different grounding electrodes: (a) horizontal grounding electrode; (b) vertical grounding electrode; (c) helical grounding electrode.
Figure 6. Model of different grounding electrodes: (a) horizontal grounding electrode; (b) vertical grounding electrode; (c) helical grounding electrode.
Energies 12 04765 g006
Figure 7. Electrical potential rise (EPR) distribution of grounding electrodes in 100 Ω·m soil: (a) horizontal grounding electrode; (b) vertical grounding electrode; (c) helical grounding electrode.
Figure 7. Electrical potential rise (EPR) distribution of grounding electrodes in 100 Ω·m soil: (a) horizontal grounding electrode; (b) vertical grounding electrode; (c) helical grounding electrode.
Energies 12 04765 g007aEnergies 12 04765 g007b
Figure 8. Analysis model of different tower grounding devices: (a) horizontal tower grounding device; (b) vertical tower grounding device; (c) mixture tower grounding device; (d) helical tower grounding device.
Figure 8. Analysis model of different tower grounding devices: (a) horizontal tower grounding device; (b) vertical tower grounding device; (c) mixture tower grounding device; (d) helical tower grounding device.
Energies 12 04765 g008aEnergies 12 04765 g008b
Figure 9. EPR distribution of the tower grounding device in 100 Ω·m soil: (a) horizontal tower grounding device; (b) vertical tower grounding device; (c) mixture tower grounding device; (d) helical tower grounding device.
Figure 9. EPR distribution of the tower grounding device in 100 Ω·m soil: (a) horizontal tower grounding device; (b) vertical tower grounding device; (c) mixture tower grounding device; (d) helical tower grounding device.
Energies 12 04765 g009
Figure 10. Grounding resistance in different buried depths.
Figure 10. Grounding resistance in different buried depths.
Energies 12 04765 g010
Figure 11. Grounding resistance in different major radii.
Figure 11. Grounding resistance in different major radii.
Energies 12 04765 g011
Figure 12. Grounding resistance in different minor radii.
Figure 12. Grounding resistance in different minor radii.
Energies 12 04765 g012
Figure 13. Grounding resistance in different turns.
Figure 13. Grounding resistance in different turns.
Energies 12 04765 g013
Table 1. Effective perimeter of three types of grounding electrodes.
Table 1. Effective perimeter of three types of grounding electrodes.
Grounding TypesEffective Perimeter (m)
Horizontal Grounding Electrodes8.69
Vertical Grounding Electrodes7.56
Helical Grounding Electrodes14.60
Table 2. Length of two types of grounding electrodes with the same perimeter.
Table 2. Length of two types of grounding electrodes with the same perimeter.
Grounding TypesLength (m)Effective Perimeter (m)
Horizontal Grounding Electrodes24.214.60
Vertical Grounding Electrodes19.7
Table 3. Step voltage of three types of grounding electrodes.
Table 3. Step voltage of three types of grounding electrodes.
Grounding TypesMaximum Touch Voltage (V)
Horizontal Grounding Electrodes7.80
Vertical Grounding Electrodes7.11
Helical Grounding Electrodes3.08
Table 4. Effective perimeter of four types of tower grounding devices.
Table 4. Effective perimeter of four types of tower grounding devices.
Grounding TypesEffective Perimeter (m)
Horizontal Grounding Device25.37
Vertical Grounding Device25.24
Mixture Grounding Device36.60
Helical Grounding Device37.84
Table 5. Effective perimeter of three types of tower grounding devices.
Table 5. Effective perimeter of three types of tower grounding devices.
Grounding TypesLength of End Conductors (m)Effective Perimeter (m)
Horizontal Grounding Device18.537.84
Vertical Grounding Device19.2
Mixture Grounding Device10.5
Table 6. Effective perimeter of four types of tower grounding devices.
Table 6. Effective perimeter of four types of tower grounding devices.
Grounding TypesMaximum Touch Voltage (V)
Horizontal Grounding Device1.16
Vertical Grounding Device1.24
Mixture Grounding Device0.72
Helical Grounding Device0.30

Share and Cite

MDPI and ACS Style

Dan, Y.; Zhang, Z.; Li, Y.; Deng, J.; Zou, J. Novel Grounding Electrode Model with Axial Construction Space Consideration. Energies 2019, 12, 4765. https://doi.org/10.3390/en12244765

AMA Style

Dan Y, Zhang Z, Li Y, Deng J, Zou J. Novel Grounding Electrode Model with Axial Construction Space Consideration. Energies. 2019; 12(24):4765. https://doi.org/10.3390/en12244765

Chicago/Turabian Style

Dan, Yihua, Zhanlong Zhang, Yiqiao Li, Jun Deng, and Jing Zou. 2019. "Novel Grounding Electrode Model with Axial Construction Space Consideration" Energies 12, no. 24: 4765. https://doi.org/10.3390/en12244765

APA Style

Dan, Y., Zhang, Z., Li, Y., Deng, J., & Zou, J. (2019). Novel Grounding Electrode Model with Axial Construction Space Consideration. Energies, 12(24), 4765. https://doi.org/10.3390/en12244765

Note that from the first issue of 2016, this journal uses article numbers instead of page numbers. See further details here.

Article Metrics

Back to TopTop