Characteristics and Origins of the Natural Gas and Implications for Gas-Source Correlation in Deep Formations of the Songliao Basin, NE China
Abstract
1. Introduction
2. Geological Settings
2.1. Tectonics and Structure
2.2. Stratigraphy and Lithology
3. Samples and Methods
3.1. Analysis of Molecular Composition
3.2. Analysis of Stable Carbon and Hydrogen Isotope
3.3. Analysis of Light Hydrocarbons
4. Results
4.1. Gas Chemical Composition
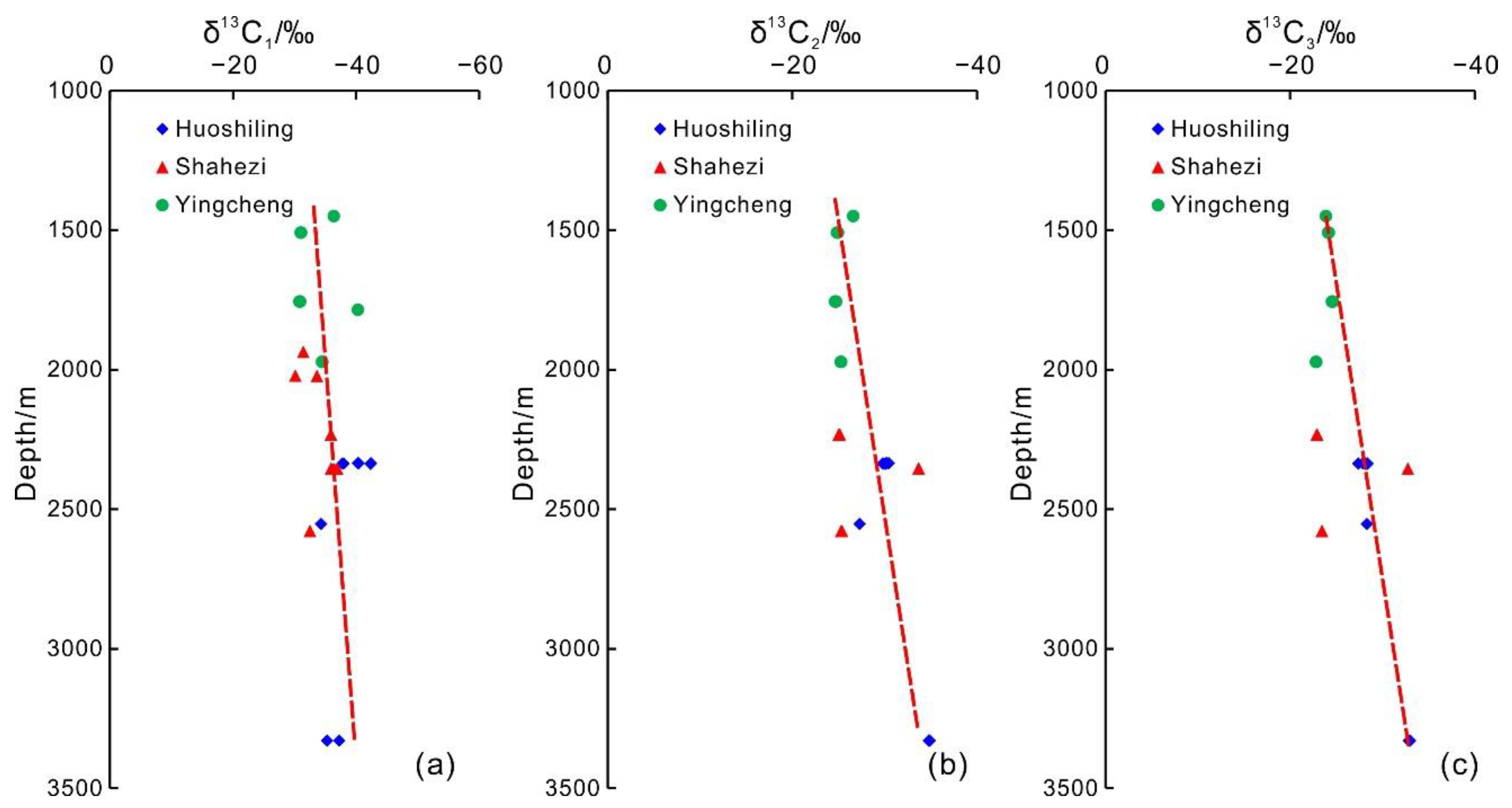
4.2. Stable Hydrogen and Carbon Isotopes
4.3. Light Hydrocarbons of Natural Gas
5. Discussion
5.1. Gas Origins
5.2. Genetic Types of Gas Hydrocarbons
5.3. Gas-Source Correlation
6. Conclusions
Author Contributions
Funding
Acknowledgments
Conflicts of Interest
Abbreviations
| Compound | Abbreviation |
| Isopentane | iC5 |
| n-Pentane | nC5 |
| n-Hexane | nC6 |
| n-Heptane | nC7 |
| Methylcyclohexane | MCH |
| 2,2-Dimethylbutane | 2,2-DMB |
| 2-Methylpentane | 2-MP |
| 3-Methylpentane | 2-MP |
| 2,2-Dimethylpentane | 2,2-DMP |
| 3-Methylhexane | 3-MH |
| Cyclohexane | CH |
| Methylcyclopentane | MCP |
| 1,1-Dimethylcyclopentane | 1,1-DMCP |
| 1,trans3-Dimethylcyclopentane | 1,t3-DMCP |
| 1,trans2-Dimethylcyclopentane | 1,t2-DMCP |
| 1,cis3-Dimethylcyclopentane | 1,c3-DMCP |
| MCH/(n-Heptane+MCH+∑DMCP) | MCH Index |
| 2,3-Dimethylhexane | 2,3-DMH |
| 3,4-Dimethylhexane | 3,4-DMH |
| 2-Methylheptane | 2-MHp |
| 3-Methylheptane | 3-MHp |
| 4-Methylheptane | 4-MHp |
References
- Schoell, M. The hydrogen and carbon isotopic composition of methane from natural gases of various origins. Geochim. Cosmochim. Acta 1980, 44, 649–661. [Google Scholar] [CrossRef]
- Schoell, M. Natural gases and their use in exploration and production. Am. Assoc. Pet. Geol. Bull. 1996, 80, 1829–1830. [Google Scholar]
- Dai, J.X. Identification and distinction of various alkane gases. Sci. China Ser. B Chem. 1992, 35, 1246–1257. [Google Scholar]
- Dai, J.X.; Pei, X.G.; Qi, H.F. Natural Gas Geology in China; Petroleum Industry Press: Beijing, China, 1992. [Google Scholar]
- Laurent, M.; Mango, F.D.; Hightower, J. The catalytic decomposition of petroleum into natural gas. Geochim. Cosmochim. Acta 1997, 61, 5347–5350. [Google Scholar]
- Prinzhofer, A.A.; Pernaton, E. Isotopically light methane in natural gas: Bacterial imprint of diffusive fractionation. Chem. Geol. 1997, 142, 193–200. [Google Scholar] [CrossRef]
- Zhu, G.Y.; Jin, Q.; Zhang, S.C.; Dai, J.X.; Zhang, L.Y.; Li, J. Character and genetic types of shallow gas pools in Jiyang depression. Org. Geochem. 2005, 36, 1650–1663. [Google Scholar] [CrossRef]
- Zhang, S.C.; Zhu, G.Y. Natural gas origins of large and medium-scale gas fields in China sedimentary basins. Sci. China Ser. D Earth Sci. 2008, 51, 1–13. [Google Scholar] [CrossRef]
- Zhang, S.C.; Huang, H.P.; Feng, Z.H.; Shuai, Y.H. Geochemical characteristics of secondary microbial gas occurrence in the Songliao Basin, NE China. Org. Geochem. 2011, 42, 781–790. [Google Scholar] [CrossRef]
- Zhang, S.C.; Zhang, B.; Zhu, G.Y.; Wang, H.T.; Li, Z.X. Geochemical evidence for coal-derived hydrocarbons and their charge history in the Dabei Gas Field, Kuqa Thrust Belt, Tarim Basin, NW China. Mar. Petrol. Geol. 2011, 28, 1364–1375. [Google Scholar] [CrossRef]
- Dai, J.X. Discussion on gas pools of mixed origins and the controlling factors. Exp. Petrol. Geol. 1986, 8, 325–334. [Google Scholar]
- Dai, J.X.; Zou, C.N.; Qin, S.F.; Tao, S.Z.; Ding, W.W.; Liu, Q.Y.; Hu, A.P. Geology of giant gas fields in China. Mar. Petrol. Geol. 2008, 25, 320–334. [Google Scholar] [CrossRef]
- Krouse, H.R.; Viau, C.A.; Eliuk, L.S.; Ueda, A.; Halas, S. Chemical and isotopic evidence of thermochemical sulphate reduction by light hydrocarbon gases in deep carbonate reservoirs. Nature 1988, 333, 415–419. [Google Scholar] [CrossRef]
- Wilhelms, A.; Larter, S.R.; Leythaeuser, D.; Dypvik, H. Recognition and quantification of the effects of primary migration in a Jurassic clastic source rock from the Norwegian continental shelf. Org. Geochem. 1990, 16, 103–113. [Google Scholar] [CrossRef]
- Worden, R.H.; Smalley, P.C.; Oxtoby, N.H. The effects of thermochemical sulfate reduction upon formation water salinity and oxygen isotopes in carbonate reservoirs. Geochim. Cosmochim. Acta 1996, 60, 3925–3931. [Google Scholar] [CrossRef]
- Tang, Y.; Perry, J.K.; Jenden, P.D.; Schoell, M. Mathematical modeling of stable isotope ratio in natural gases. Geochim. Cosmochim. Acta 2000, 64, 2673–2687. [Google Scholar] [CrossRef]
- Larter, S.; Wilhelms, A.; Head, I.; Koopmans, M.; Aplin, A.; di Primio, R.; Zwach, C.; Erdmann, M.; Telnaes, N. The controls on the composition of biodegraded oils in the deep subsurface-part 1: Biodegradation rates in petroleum reservoirs. Org. Geochem. 2003, 34, 601–613. [Google Scholar] [CrossRef]
- Zhang, S.C.; Huang, H.P. Geochemistry of Palaeozoic marine petroleum from the Tarim Basin, NW China: Part 1. Oil Fam. Classif. Org. Geochem. 2005, 36, 1204–1214. [Google Scholar] [CrossRef]
- Zhang, S.C.; Zhu, G.Y.; Dai, J.X.; Liang, Y.B. TSR and sour gas accumulation: A case study in the Sichuan Basin. SW China. Geochim. Cosmochim. Acta 2005, 69, 562. [Google Scholar]
- Zhang, S.C.; Zhu, G.Y.; Liang, Y.B.; Dai, J.X.; Liang, H.B.; Li, M.W. Geochemical characteristics of the Zhaolanzhuang sour gas accumulation and thermochemical sulfate reduction in the Jixian Sag of Bohai Bay Basin. Org. Geochem. 2005, 36, 1717–1730. [Google Scholar] [CrossRef]
- Zhang, T.W.; Ellis, G.S.; Wang, K.S.; Walters, C.C.; Kelemen, S.R.; Gillaizeau, B.; Tang, Y. Effect of hydrocarbon type on thermochemical sulfate reduction. Org. Geochem. 2007, 38, 897–910. [Google Scholar] [CrossRef]
- Strąpoć, D.; Mastalerz, M.; Eble, C.; Schimmelmann, A. Characterization of the origin of coalbed gases in southeastern Illinois Basin by compound-specific carbon and hydrogen stable isotope ratios. Org. Geochem. 2007, 38, 267–287. [Google Scholar] [CrossRef]
- Strąpoć, D.; Mastalerz, M.; Schimmelmann, A.; Drobniak, A.; Hedges, S. Variability of geochemical properties in a microbially dominated coalbed gas system from the eastern margin of the Illinois Basin, USA. Int. J. Coal Geol. 2008, 76, 98–110. [Google Scholar] [CrossRef]
- Strąpoć, D.; Mastalerz, M.; Schimmelmann, A.; Drobniak, A.; Hasenmueller, N.R. Geochemical constraints on the origin and volume of gas in the New Albany Shale (Devonian–Mississippian), eastern Illinois Basin. Am. Assoc. Petrol. Geol. Bull. 2010, 94, 1713–1740. [Google Scholar]
- Strąpoć, D.; Mastalerz, M.; Dawson, K.; Macalady, J.; Callaghan, A.V.; Wawrik, B.; Turich, C.; Ashby, M. Biogeochemistry of microbial coal-bed methane. Ann. Rev. Earth Planet. Sci. 2011, 39, 617–656. [Google Scholar] [CrossRef]
- Dai, J.X.; Ni, Y.Y.; Zou, C.N. Stable carbon and hydrogen isotopes of natural gases sourced from the Xujiahe formation in the Sichuan basin, China. Org. Geochem. 2012, 43, 103–111. [Google Scholar] [CrossRef]
- Dai, J.X.; Xia, X.Y.; Li, Z.S.; Coleman, D.D.; Dias, R.F.; Gao, L.; Li, J.; Deev, A.; Li, J.; Dessort, D.; et al. Inter-laboratory calibration of natural gas round robins for δ2H and δ13C using off-line and on-line techniques. Chem. Geol. 2012, 310, 49–55. [Google Scholar] [CrossRef]
- Sun, P.A.; Wang, Y.C.; Leng, K.; Li, H.; Ma, W.Y.; Cao, J. Geochemistry and origin of natural gas in the eastern Junggar basin, NW China. Mar. Petrol. Geol. 2016, 75, 240–251. [Google Scholar] [CrossRef]
- Wang, X.B.; Wei, G.Q.; Li, J.; Chen, J.F.; Gong, S.; Li, Z.S.; Wang, D.L.; Xie, Z.Y.; Yang, C.X.; Wang, Y.F.; et al. Geochemical characteristics and origins of noble gases of the Kela 2 gas field in the Tarim basin, China. Mar. Petrol. Geol. 2017, 89, 155–163. [Google Scholar] [CrossRef]
- Ozima, M.; Podosek, F.A. Noble Gas Geochemistry, 2nd ed.; Cambridge University: Cambridge, UK, 2002. [Google Scholar]
- Burnard, P.; Zimmermann, L.; Sano, Y. The noble gases as geochemical tracers:history and background. In The Noble Gases as Geochemical Tracers, Advances in Isotope Geochemistry; Burnard, P., Ed.; Springer: Heidelberg/Berlin, Germany, 2013; pp. 1–16. [Google Scholar]
- Kotarba, M.J.; Nagao, K. Composition and origin of natural gases accumulated in the Polish and ukrainian parts of the carpathian region: Gaseous hydrocarbons, noble gases, carbon dioxide and nitrogen. Chem. Geol. 2008, 255, 426–438. [Google Scholar] [CrossRef]
- Prinzhofer, A.A.; Neto, E.V.D.S.; Battani, A. Coupled use of carbon isotopes and noble gas isotopes in the potiguar basin (Brazil): Fluids migration and mantle influence. Mar. Petro. Geol. 2010, 27, 1273–1284. [Google Scholar] [CrossRef]
- Prinzhofer, A.A. Noble Gases in Oil and Gas Accumulations. The Noble Gases as Geochemical Tracers; Springer: Heidelberg/Berlin, Germany, 2013; pp. 225–227. [Google Scholar]
- Ni, Y.Y.; Dai, J.X.; Tao, S.X.; Wu, X.Q.; Liao, F.R.; Wu, W.; Zhang, D.J. Helium signatures of gases from the Sichuan basin, China. Org. Geochem. 2014, 74, 33–43. [Google Scholar] [CrossRef]
- Stahl, W.J. Carbon and nitrogen isotopes in hydrocarbon research and exploration. Chem. Geol. 1977, 20, 121–149. [Google Scholar] [CrossRef]
- Schoell, M. Genetic characterization of natural gases. Am. Assoc. Pet. Geol. Bull. 1983, 67, 2225–2238. [Google Scholar]
- Chung, H.M.; Gormly, J.R.; Squires, R.M. Origin of gaseous hydrocarbons in subsurface environments: Theoretical considerations of carbon isotope distribution. Chem. Geol. 1988, 71, 97–103. [Google Scholar] [CrossRef]
- Jenden, P.D.; Kaplan, I.R.; Poreda, R.; Craig, H. Origin of nitrogen-rich natural gases in the California Great Valley: Evidence from helium, carbon and nitrogen isotope ratios. Geochim. Cosmochim. Acta 1988, 52, 851–861. [Google Scholar] [CrossRef]
- Dai, J.X.; Qi, H. Relationship of δ13C1-Ro of coal-derived gas in China. Chin. Sci. Bull. 1989, 34, 690–692. [Google Scholar]
- Dai, J.X.; Song, Y.; Dai, C.S.; Wang, D.R. Geochemistry and accumulation of carbon dioxide gases in China. Am. Assoc. Pet. Geol. Bull. 1996, 80, 1615–1626. [Google Scholar]
- Dai, J.X.; Li, J.; Luo, X.; Zhang, W.Z.; Hu, G.Y.; Ma, C.H.; Guo, J.M.; Ge, S.G. Stable carbon isotope compositions and source rock geochemistry of the giant gas accumulations in the Ordos Basin, China. Org. Geochem. 2005, 36, 1617–1635. [Google Scholar] [CrossRef]
- Prinzhofer, A.A.; Huc, A.Y. Genetic and post-genetic molecular and isotopic fractionations in natural gases. Chem. Geol. 1995, 126, 281–290. [Google Scholar] [CrossRef]
- Rooney, M.A.; Claypool, G.E.; Chung, H.M.; Moses, H. Modeling thermogenic gas generation using carbon isotopic ratios of natural gas hydrocarbons. Chem. Geol. 1995, 126, 219–232. [Google Scholar] [CrossRef]
- Whiticar, M.J. Carbon and hydrogen isotope systematics of bacterial formation and oxidation of methane. Chem. Geol. 1999, 161, 291–314. [Google Scholar] [CrossRef]
- Galimov, E.M. Isotope organic geochemistry. Org. Geochem. 2006, 37, 1200–1262. [Google Scholar] [CrossRef]
- Ni, Y.Y.; Ma, Q.S.; Ellis, G.S.; Dai, J.X.; Katz, B.; Zhang, S.C.; Tang, Y.C. Fundamental studies on kinetic isotope effect (KIE) of hydrogen isotope fractionation in natural gas systems. Geochim. Cosmochim. Acta 2011, 75, 2696–2707. [Google Scholar] [CrossRef]
- Liu, Q.Y.; Jin, Z.J.; Chen, J.F.; Krooss, B.M.; Qin, S.F. Origin of nitrogen molecules in natural gas and implications for the high risk of N2 exploration in Tarim Basin, NW China. J. Petrol. Sci. Eng. 2012, 81, 112–121. [Google Scholar] [CrossRef]
- Liu, Q.Y.; Worden, R.H.; Jin, Z.J.; Liu, W.H.; Li, J.; Gao, B.; Zhang, D.W.; Hu, A.P.; Yang, C. TSR versus non-TSR processes and their impact on gas geochemistry and carbon stable isotopes in Carboniferous, Permian and Lower Triassic marine carbonate gas reservoirs in the Eastern Sichuan Basin, China. Geochim. Cosmochim. Acta 2013, 100, 96–115. [Google Scholar] [CrossRef]
- Liu, Z.J.; Wang, D.P.; Liu, L.; Liu, W.Z.; Wang, P.J.; Du, X.D.; Yang, G. Sedimentary characteristics of the Cretaceous in the Songliao Basin. Acta Geolo. Sin. Eng. Ed. 1993, 6, 167–180. [Google Scholar]
- Wang, X. Tectonic Evolution of Mesozoic–Cenozoic Basins in the Northeastern China and Its Relations with Oil–Gas Occurrence; Geological Publishing House: Beijing, China, 2007; p. 393. (In Chinese) [Google Scholar]
- Yang, W.L. Daqing oil field, People’s Republic of China: A giant field with of non-marine origin. Am. Assoc. Pet. Geol. Bull. 1985, 69, 1101–1111. [Google Scholar]
- Yang, W.L.; Gao, R.Q.; Guo, Q.F.; Liu, Y.G. Forming, Migration and Accumulation of Non-Marine Petroleum Reservoir in the Songliao Basin; Heilongjiang Scientific and Technology Press: Harbin, China, 1985; pp. 41–42. [Google Scholar]
- Gao, R.; Cai, X. Hydrocarbon Formation Conditions and Distribution Rules in the Songliao Basin; Petroleum Industry Press: Beijing, China, 1997. [Google Scholar]
- Klett, T.R.; Ahlbrandt, T.S.; Schmoker, J.W.; Dolton, G.L. Ranking of the World’s Oil and Gas Provinces by Known Petroleum Volumes, Open File Report 1997; US Geological Survey: Norfolk, VA, USA, 1997; pp. 97–463.
- Feng, Z.Q.; Jia, C.Z.; Xie, X.N.; Zhang, S.; Feng, Z.H.; Timothy, A. Tectonostratigraphic units and stratigraphic sequences of the nonmarine Songliao basin, northeast China. Basin Res. 2010, 22, 79–95. [Google Scholar]
- Liu, Z.J.; Sun, P.C.; Jia, J.L.; Liu, R.; Meng, Q.T. Distinguishing features and their genetic interpretation of stratigraphic sequences in continental deep water setting: A case from Qingshankou Foramtion in Songliao Basin. Earth Sci. Front. 2011, 18, 171–180. [Google Scholar]
- Xue, L.Q.; Galloway, W.E. Genetic Sequence Stratigraphic Framework, Depositional Style, and Hydrocarbon Occurrence of the Upper Cretaceous QYN Formations in the Songliao Lacustrine Basin, Northeastern China. Am. Assoc. Pet. Geol. Bull. 1993, 77, 1792–1808. [Google Scholar]
- Jia, J.L.; Bechtel, A.; Liu, Z.J.; Strobl, S.A.I.; Sun, P.C.; Sachsenhofer, R.F. Oil shale formation in the Upper Cretaceous Nenjiang Formation of the Songliao Basin (NE China): Implications from organic and inorganic geochemical analyses. Int. J. Coal Geol. 2013, 113, 11–26. [Google Scholar] [CrossRef]
- Jia, J.L.; Liu, Z.J.; Bechtel, A.; Strobl, S.A.I.; Sun, P.C. Tectonic and climate control of oil shale deposition in the Upper Cretaceous Qingshankou Formation (Songliao Basin, NE China). Int. J. Earth Sci. 2013, 102, 1717–1734. [Google Scholar] [CrossRef]
- Xu, J.J.; Bechtel, A.; Sachsenhofer, R.F.; Liu, Z.J.; Gratzer, R.; Meng, Q.T.; Song, Y. High resolution geochemical analysis of organic matter accumulation in the Qingshankou Formation, Upper Cretaceous, Songliao Basin (NE China). Int. J. Coal Geol. 2015, 141, 23–32. [Google Scholar] [CrossRef]
- Liu, B.; Jin, L.; Hu, C. Fractal characterization of silty beds/laminae and its implications for the prediction of shale oil reservoir in Qingshankou Formation of northern Songliao Basin, Northeast China. Fractals 2019, 27, 1940009. [Google Scholar] [CrossRef]
- Liu, B.; Wang, H.; Fu, X.; Bai, Y.; Bai, L.; Jia, M.; He, B. Lithofacies and depositional setting of a highly prospective lacustrine shale oil succession from the Upper Cretaceous Qingshankou Formation in the Gulong Sag, northern Songliao Basin, Northeast China. Am. Assoc. Pet. Geol. Bull. 2019, 103, 405–432. [Google Scholar] [CrossRef]
- Feng, Z.Q. Exploration potential of Qingshen gas Field in the Songliao Basin. Nat. Gas Ind. 2006, 6, 1–5. [Google Scholar]
- Feng, Z.Q. Volcanic rocks as proli¢c gas reservoir: A case study from the Qingshen gas ¢eld in the Songliao Basin, NE China. Mar. Petrol. Geol. 2008, 25, 416–432. [Google Scholar] [CrossRef]
- Feng, Z.Q.; Wang, Y.H.; Lei, M.S.; Feng, Z.H. Exploration techniques and their advancement of deep volcanic gas reservoirs in the Songliao Basin. Nat. Gas Ind. 2007, 8, 9–12. [Google Scholar]
- Qiao, H.S.; Fang, C.L.; Niu, J.Y.; Guan, D.S. The Petroleum Geology of the Deep Formations in the Eastern China; Petroleum Industry Press: Beijing, China, 2002. [Google Scholar]
- Guo, Z.Q.; Wang, X.B.; Yang, B.Z.; Li, X.J.; Wei, P. Abiogenic gas reservoir modes found in Songliao Basin. Nat. Gas Ind. 2000, 20, 30–33. [Google Scholar]
- Yang, Y.F.; Zhang, Q.; Huang, H.P.; Chen, F.J. Abiogenic natural gases and their accumulation model in Xujiaweizi area, Songliao Basin, Northeast China. Earth Sci. Front. 2000, 7, 523–533. [Google Scholar]
- Cui, Y.Q.; Li, L.; Chen, W.J. The mantle-derived contribution of inorganic hydrocarbon gases in Songliao Basin. Petrol. Geol. Oilfield Dev. Daqing 2001, 20, 6–8. [Google Scholar]
- Fu, X.F.; Yun, J.B.; Lu, S.F.; Fu, G. A study on enrichment of the inorganic natural gases in Songliao Basin. Nat. Gas Ind. 2005, 25, 14–17. [Google Scholar]
- Huang, H.P.; Yang, J.; Yang, Y.F.; Du, X.J. Geochemistry of natural gases in deep strata of the Songliao Basin, NE China. Int. J. Coal Geol. 2004, 58, 231–244. [Google Scholar] [CrossRef]
- Zhao, L.B.; Huang, Z.L.; Ma, Y.J.; Gao, G.; Li, J.; Yang, X.Z. A study on geochemical character and origin of deep natural gas in Dehui Fault Depression of the southern Songliao Basin. Nat. Gas Geosci. 2006, 17, 177–182. [Google Scholar]
- Mi, J.K.; Zhang, S.C.; Hu, G.Y.; He, K. Geochemistry of coal-measure source rocks and natural gases in deep formations in Songliao Basin, NE China. Int. J. Coal Geol. 2010, 84, 276–285. [Google Scholar] [CrossRef]
- Zhao, Z.H.; Xu, S.J.; Jiang, X.H.; Lin, C.S.; Cheng, H.G.; Cui, J.F.; Jia, L. Deep strata geologic structure and tight conglomerate gas exploration in Songliao Basin, East China. Petrol. Explor. Dev. 2016, 43, 12–23. [Google Scholar] [CrossRef]
- Liang, S. Research on Gas Genesis of Dehui Depression. Master’s Thesis, Northeast Petroleum University, Daqing, China, 2015. [Google Scholar]
- Shen, J.N.; Liang, S. Natural gas source correlation of Huoshiling Formation in Dehui Fault Depression. J. Chongqing Univ. Sci. Technol. Nat. Sci. Ed. 2015, 17, 1–4. [Google Scholar]
- Stahl, W.J.; Carey, B.D., Jr. Source-rock identification by isotope analysis of natural gases from fields in the Val Verde and Delawsare Basins, West Texas. Chem. Geol. 1975, 16, 257–267. [Google Scholar] [CrossRef]
- Shen, P.; Xu, Y.C. Isotope composition of gas hydrocarbon characteristics and identification of coal-associated gas. Sci. China Ser. D Earth Sci. 1987, 17, 647–656. (In Chinese) [Google Scholar]
- Galimov, E.M. Sources and mechanisms of formation of gaseous hydrocarbons in sedimentary rocks. Chem. Geol. 1988, 71, 77–95. [Google Scholar] [CrossRef]
- Dai, J.X. Carbon and hydrogen isotopic compositions and origin identification of different types natural gas. Nat. Gas Geosci. 1993, 4, 1–40. [Google Scholar]
- Liu, Q.Y.; Dai, J.X.; Li, J.; Zhou, Q.H. Hydrogen isotope composition of natural gases from the Tarim Basin and its indication of depositional environments of the source rocks. Sci. China Ser. D Earth Sci. 2008, 51, 300–311. [Google Scholar] [CrossRef]
- Chen, X. Study on the Origin and Accumulation of Deep Oil and Gas in Lishu Fault Depression in Southern Songliao Basin. Department of Geochemistry of Yangtze University, Hubei. 2011. Available online: https://kns.cnki.net/KCMS/detail/detail.aspx?dbcode=CDFD&dbname=CDFD1214&filename=1012458831.nh&uid=WEEvREcwSlJHSldRa1FhcTdWa2FjcWpySjRua1ZtbThDNjFhVUozb0Vacz0=$9A4hF_YAuvQ5obgVAqNKPCYcEjKensW4IQMovwHtwkF4VYPoHbKxJw!!&v=MjAwNjlEaDFUM3FUcldNMUZyQ1VSTE9lWmVackZDdmdXcjdPVkYyNkhMZTlGdG5QcnBFYlBJUjhlWDFMdXhZUzc= (accessed on 1 December 2011).
- Wang, P.J.; Mattern, F.; Didenko, A.; Zhu, D.F.; Singer, B.; Sun, X.M. Tectonics and cycle system of the Cretaceous Songliao Basin: An inverted active continental margin basin. Earth Sci. Rev. 2016, 159, 82–102. [Google Scholar] [CrossRef]
- Ge, R.F.; Zhang, Q.L.; Wang, L.S.; Xie, G.A.; Xu, S.Y.; Chen, J.; Wang, X.Y. Tectonic evolution of Songliao Basin and the permanent tectonic regime transition in Eastern China. Geol. Rev. 2010, 56, 180–195. [Google Scholar]
- Jia, H.B.; Ji, H.C.; Wang, L.W.; Yang, D.J.; Meng, P.P.; Shi, C. Tectono-sedimentary and hydrocarbon potential analysis of rift-related successions in the Dehui Depression, Songliao Basin, Northeastern China. Mar. Petrol. Geol. 2016, 76, 262–278. [Google Scholar] [CrossRef]
- Dai, J.X.; Ni, Y.Y.; Zou, C.N.; Tao, S.Z.; Hu, G.Y.; Hu, A.P.; Yang, C.; Tao, X.W. Stable carbon isotopes of alkane gases from the Xujiahe coal measures and implication for gas-source correlation in the Sichuan Basin, SW China. Org. Geochem. 2009, 40, 638–646. [Google Scholar] [CrossRef]
- Cao, J.; Wang, X.L.; Sun, P.A.; Zhang, Y.Q.; Tang, Y.; Xiang, B.L.; Lan, W.F.; Wu, M. Geochemistry and origins of natural gases in the central Junggar Basin, northwest China. Org. Geochem. 2012, 53, 166–176. [Google Scholar] [CrossRef]
- Chen, X.F.; Li, S.M.; Dong, Y.X.; Pang, X.Q.; Wang, Z.J.; Ren, M.S.; Zhang, H.C. Characteristics and genetic mechanisms of offshore natural gas in the Nanpu Sag, Bohai Bay Basin, eastern China. Org. Geochem. 2016, 94, 68–82. [Google Scholar] [CrossRef]
- Feng, Z.Q.; Liu, D.; Huang, S.P.; Gong, D.Y.; Peng, W.L. Geochemical characteristics and genesis of natural gas in the Yan’an gas field, Ordos Basin, China. Org. Geochem. 2016, 102, 67–76. [Google Scholar] [CrossRef]
- Tao, K.Y.; Cao, J.; Wang, Y.C.; Ma, W.Y.; Xiang, B.L.; Ren, J.L.; Zhou, N. Geochemistry and origin of natural gas in the petroliferous Mahu sag, northwestern Junggar Basin, NW China: Carboniferous marine and Permian lacustrine gas systems. Org. Geochem. 2016, 100, 62–79. [Google Scholar] [CrossRef]
- Liu, Y.C.; Chen, D.X.; Qiu, N.S.; Fu, J.; Jia, J.K. Geochemistry and origin of continental natural gas in the western Sichuan basin, China. J. Nat. Gas Sci. Eng. 2018, 49, 123–131. [Google Scholar] [CrossRef]
- Zhang, S.C.; He, K.; Hu, G.Y.; Mi, J.K.; Ma, Q.S.; Liu, K.Y.; Tang, Y.C. Unique chemical and isotopic characteristics and origins of natural gases in the Paleozoic marine formations in the Sichuan Basin, SW China: Isotope fractionation of deep and high mature carbonate reservoir gases. Mar. Petrol. Geol. 2018, 89, 68–82. [Google Scholar] [CrossRef]
- Dai, J.X.; Qin, S.F.; Tao, S.Z.; Zhu, G.Y.; Mi, J.K. Developing trends of Nat. Gas Ind. and the significant progress on natural gas geological theories in china. Nat. Gas Geosci. 2005, 16, 127–142. (In Chinese) [Google Scholar]
- Erdman, J.; Morris, D. Geochemical correlation of petroleum. Am. Assoc. Pet. Geol. Bull. 1974, 58, 2326–2377. [Google Scholar]
- James, A.T. Correlation of reservoired gases using the carbon isotopic compositions of wet gas components. Am. Assoc. Pet. Geol. Bull. 1990, 74, 1441–1458. [Google Scholar]
- Stahl, W.J.; Koch, J. 13C–12C relation of North-German natural-gas–maturity characteristic of their parent substances. Erdol Kohle Erdgas Petrochem. 1974, 27, 623. [Google Scholar]
- Berner, U.; Faber, E. Empirical carbon isotope/maturity relationships for gases from algal kerogens and terrigenous organic matter, based on dry, open-system pyrolysis. Org. Geochem. 1996, 24, 947–955. [Google Scholar] [CrossRef]
- Patience, R.L. Where did all the coal gas go? Org. Geochem. 2003, 34, 375–387. [Google Scholar] [CrossRef]
- Zou, Y.R.; Cai, Y.L.; Zhang, C.C.; Zhang, X.; Peng, P.A. Variations of natural gas carbon isotope-type curves and their interpretation—A case study. Org. Geochem. 2007, 38, 1398–1415. [Google Scholar] [CrossRef]
- Hu, A.P.; Li, J.; Zhang, W.Z.; Li, Z.S.; Hou, L.; Liu, Q.Y. Geochemical characteristics and origin of gases from the Upper, Lower Paleozoic and the Mesozoic reservoirs in the Ordos Basin, China. Sci. China Ser. D Earth Sci. 2008, 51, 183–194. [Google Scholar] [CrossRef]
- Li, J.; Li, J.; Li, Z.S.; Wang, D.L.; Gong, S.; Zhang, Y.; Cui, H.Y.; Hao, A.S.; Ma, C.H.; Sun, Q.W. The hydrogen isotopic characteristics of the Upper Paleozoic gas in Ordos Basin. Org. Geochem. 2014, 74, 66–75. [Google Scholar] [CrossRef]
- Gang, W.Z.; Gao, G.; Hao, S.S.; Zhu, L. Carbon isotope of ethane applied in the analysis of genetic types of natural gas. Petrol. Geol. Exp. 1997, 19, 164–167. [Google Scholar]
- Song, Y.; Xu, Y.C. Origin and identification of natural gases. Petrol. Explor. Dev. 2005, 32, 24–29. [Google Scholar]
- Thompson, K.F.M. Light hydrocarbon in subsurface sediments. Geochim. Cosmochim. Acta 1979, 43, 657–672. [Google Scholar] [CrossRef]
- Hu, G.Y.; Li, J.; Shan, X.Q.; Han, Z.X. The origin of natural gas and the hydrocarbon charging history of the Yulin gas field in the Ordos Basin, China. Int. J. Coal Geol. 2010, 81, 381–391. [Google Scholar]
- Chen, Z.H.; Cao, Y.C.; Ma, Z.J.; Zhen, Y.S. Geochemistry and origins of natural gases in the Zhongguai area of Junggar Basin, China. J. Petrol. Sci. Eng. 2014, 119, 17–27. [Google Scholar] [CrossRef]
- Hu, G.Y.; Li, J.; Li, J.; Li, Z.S.; Luo, X.; Sun, Q.W.; Ma, C.H. The discussion of light hydrocarbon for gas genetic type identification. Sci. China Ser. D Earth Sci. 2007, 37, 111–117. [Google Scholar]
- Clayton, C. Carbon isotope fractionation during natural gas generation from kerogen. Mar. Petrol. Geol. 1991, 8, 232–240. [Google Scholar] [CrossRef]
- Bernard, B.B.; Brooks, J.M.; Sackett, W.M. Light hydrocarbons in recent Texas continental shelf and slope sediments. J. Geophys. Res. Part C Oceans 1978, 83, 4053–4061. [Google Scholar] [CrossRef]
- Lorant, F.O.; Prinzhofer, A.; Behar, F.O.; Huc, A. Carbon isotopic and molecular constraints on the formation and the expulsion of thermogenic hydrocarbon gases. Chem. Geol. 1998, 147, 249–264. [Google Scholar] [CrossRef]
- Huang, D.F.; Liu, B.Q.; Wang, T.D.; Xu, Y.C.; Chen, S.J.; Zhao, M.J. Genetic type and maturity of Lower Paleozoic marine hydrocarbon gases in the eastern Tarim Basin. Chem. Geol. 1999, 162, 65–77. [Google Scholar] [CrossRef]
- James, A.T. Correlation of natural gas by use of carbon isotope distribution between hydrocarbon components. Am. Assoc. Pet. Geol. Bull. 1983, 67, 1176–1191. [Google Scholar]
- Jenden, P.D.; Drazan, D.J.; Kaplan, I.R. Mixing of thermogenic natural gas in northern Appalachian Basin. Am. Assoc. Pet. Geol. Bull. 1993, 77, 980–998. [Google Scholar]














| Well | Layer | Depth (m) | Density (kg/m3) | Dryness Coefficient | Relative Contents of the Natural gas (%) | ||||||||||||
|---|---|---|---|---|---|---|---|---|---|---|---|---|---|---|---|---|---|
| CH4 | C2H6 | C3H8 | iC4H10 | nC4H10 | iC5H12 | nC5H12 | N2 | CO2 | H2 | H2S | He | Ar | |||||
| DS11 | Huoshiling | 2551.50 | / | 0.88 | 83.9 | 0.93 | 1.22 | 0.49 | 1.36 | 0.95 | 6.69 | / | / | / | / | 4.45 | / |
| DS11 | Huoshiling | 2553.00 | 0.64 | 0.93 | 88.7 | 4.17 | 1.25 | 0.21 | 0.23 | 0.53 | 0.52 | 3.12 | 1.26 | / | / | / | / |
| DS11 | Huoshiling | 2556.00 | 0.62 | 0.93 | 90.5 | 4.78 | 1.15 | 0.20 | 0.19 | 0.09 | 0.06 | 1.69 | 1.31 | / | / | / | / |
| DS11 | Huoshiling | 2560.00 | 0.62 | 0.94 | 90.7 | 4.52 | 1.03 | 0.18 | 0.18 | 0.09 | 0.07 | 1.99 | 1.29 | / | / | / | / |
| DS11 | Huoshiling | 2562.00 | 0.63 | 0.94 | 89.7 | 4.19 | 1.11 | 0.23 | 0.25 | 0.17 | 0.26 | 2.86 | 1.28 | / | / | / | / |
| DS12 | Huoshiling | 3067.00 | / | 0.94 | 91.7 | 4.06 | 1.06 | 0.19 | 0.22 | 0.11 | 0.41 | 0.81 | 1.39 | 0.01 | / | 0.02 | / |
| DS12 | Huoshiling | 3328.50 | / | 0.94 | 92.1 | 3.76 | 0.98 | 0.18 | 0.20 | 0.11 | 0.35 | 0.85 | 1.41 | 0.01 | / | 0.02 | / |
| DS12 | Huoshiling | 3328.90 | / | 0.99 | 95.9 | 0.70 | 0.05 | / | / | / | 0.02 | 1.30 | 2.04 | / | / | 0.02 | / |
| DS2 | Huoshiling | 3030.55 | 0.67 | 0.98 | 92.8 | 1.75 | 0.27 | 0.02 | 0.02 | / | / | 0.37 | 4.77 | / | / | / | / |
| N101 | Huoshiling | 2520.10 | 0.59 | 0.96 | 93.5 | 3.44 | 0.74 | / | / | / | / | 1.84 | 0.46 | / | / | / | / |
| N101 | Huoshiling | 3044.00 | 0.61 | 0.94 | 90.2 | 4.40 | 1.45 | 0.15 | 0.20 | / | / | 2.80 | 0.77 | / | / | / | / |
| N103 | Huoshiling | 2335.00 | 0.72 | 0.78 | 76.1 | 14.41 | 5.45 | 2.02 | / | / | / | 1.29 | 0.77 | / | / | / | / |
| N103 | Huoshiling | 3011.00 | 0.69 | 0.91 | 86.7 | 8.29 | / | / | / | / | / | 3.20 | 1.86 | / | / | / | / |
| DS19 | Huoshiling | 2295.50 | / | 0.89 | 85.6 | 6.64 | 2.28 | 0.33 | 0.47 | 0.15 | 0.51 | 2.34 | 1.66 | 0.01 | / | 0.04 | / |
| DS11 | Shahezi | 2368.50 | / | 0.89 | 85.7 | 6.65 | 2.27 | 0.33 | 0.47 | 0.15 | 0.51 | 2.25 | 1.58 | 0.01 | / | 0.04 | / |
| DS11 | Shahezi | 2368.50 | / | 0.95 | 92.5 | 3.45 | 0.69 | 0.20 | 0.13 | 0.08 | 0.21 | 2.49 | 0.14 | 0.08 | / | 0.03 | / |
| DS11 | Shahezi | 2369.50 | / | 0.95 | 94.0 | 3.90 | 0.72 | 0.21 | 0.13 | 0.08 | 0.12 | 0.71 | / | 0.10 | / | 0.02 | / |
| DS11 | Shahezi | 2370.50 | / | 0.89 | 85.6 | 6.64 | 2.28 | 0.33 | 0.47 | 0.15 | 0.51 | 2.34 | 1.66 | 0.01 | / | 0.04 | / |
| DS15 | Shahezi | 2578.00 | / | 0.92 | 91.2 | 6.04 | 1.33 | 0.15 | 0.06 | / | / | 1.14 | 0.05 | 0.01 | / | 0.02 | / |
| DS15 | Shahezi | 2578.00 | / | 0.92 | 91.2 | 6.04 | 1.32 | 0.14 | 0.06 | / | / | 1.13 | 0.05 | 0.01 | / | 0.02 | / |
| N101 | Shahezi | 2354.40 | / | 0.94 | 87.2 | 3.39 | 0.68 | 0.20 | 0.13 | 0.09 | 1.54 | 6.47 | 0.20 | 0.08 | / | 0.03 | / |
| N101 | Shahezi | 2354.50 | 0.62 | 0.95 | 90.7 | 3.33 | 1.30 | 0.32 | 0.28 | / | / | 1.61 | 2.44 | / | / | / | / |
| N101 | Shahezi | 2354.90 | 0.60 | 0.95 | 91.9 | 3.26 | 1.08 | / | 0.16 | / | / | 2.37 | 1.20 | / | / | / | / |
| DS12 | Yingcheng | 2662.38 | 0.71 | 0.83 | 79.0 | 9.58 | 4.49 | 0.82 | 0.92 | 0.27 | 0.32 | 3.77 | 0.81 | / | / | / | / |
| DS12 | Yingcheng | 2664.75 | 0.70 | 0.83 | 80.1 | 9.75 | 4.28 | 0.75 | 0.89 | 0.24 | 0.27 | 3.23 | 0.52 | / | / | / | / |
| DS17 | Yingcheng | 2249.00 | / | 0.94 | 87.2 | 3.39 | 0.68 | 0.20 | 0.13 | 0.09 | 1.54 | 6.47 | 0.20 | 0.08 | / | 0.03 | / |
| DS17 | Yingcheng | 2249.00 | / | 0.95 | 92.5 | 3.45 | 0.69 | 0.20 | 0.13 | 0.08 | 0.21 | 2.49 | 0.14 | 0.08 | / | 0.03 | / |
| DS17 | Yingcheng | 2273.50 | / | 0.95 | 94.2 | 3.69 | 0.72 | 0.21 | 0.13 | 0.08 | 0.12 | 0.71 | / | 0.10 | / | 0.02 | / |
| DS2 | Yingcheng | 2368.50 | 0.71 | 0.90 | 85.3 | 6.07 | 1.98 | 0.44 | 0.55 | 0.19 | 0.30 | 0.67 | 4.46 | / | / | / | / |
| H12 | Yingcheng | 2163.50 | 0.73 | 0.79 | 74.0 | 12.15 | 4.77 | 1.24 | 1.05 | 0.26 | 0.32 | 6.03 | 0.16 | / | / | / | / |
| H3 | Yingcheng | 1971.50 | 0.71 | 0.84 | 80.7 | 7.55 | 4.39 | 1.23 | 1.04 | 0.41 | 0.52 | 2.19 | 2.01 | / | / | / | / |
| H3 | Yingcheng | 1971.70 | 0.70 | 0.85 | 82.3 | 7.64 | 4.10 | 1.18 | 0.99 | 0.39 | 0.49 | 1.88 | 1.02 | / | / | / | / |
| H3 | Yingcheng | 1971.70 | 0.69 | 0.85 | 83.6 | 7.67 | 4.15 | 1.19 | 1.00 | 0.39 | 0.48 | 0.92 | 0.62 | / | / | / | / |
| H5 | Yingcheng | 1665.20 | 0.69 | 0.85 | 82.6 | 8.06 | 3.71 | 0.95 | 0.90 | 0.35 | 0.48 | 2.68 | 0.31 | / | / | / | / |
| H5 | Yingcheng | 1665.20 | 0.67 | 0.86 | 84.4 | 8.09 | 3.39 | 0.82 | 0.86 | 0.32 | 0.44 | 1.57 | 0.09 | / | / | / | / |
| H5 | Yingcheng | 1897.00 | 0.72 | 0.82 | 80.7 | 8.69 | 5.05 | 1.47 | 1.26 | 0.54 | 0.78 | 1.20 | 0.30 | / | / | / | / |
| Sample no. | Well | Layer | Depth (m) | δ13CO2 (‰) | δ13CH4 (‰) | δ13C2H6 (‰) | δ13C3H8 (‰) | δ13iC4H10 (‰) | δ13nC4H10 (‰) |
|---|---|---|---|---|---|---|---|---|---|
| 1 | DS11 | Huoshiling | 2553.00 | / | −34.3 | −27.3 | −28.3 | / | / |
| 2 | DS12 | Huoshiling | 3328.90 | / | −37.3 | −34.8 | −33.0 | / | / |
| 3 | DS12 | Huoshiling | 3328.50 | / | −35.3 | −34.9 | −32.9 | / | / |
| 4 | N103 | Huoshiling | 2336.00 | / | −38.0 | −29.9 | −28.4 | / | / |
| 5 | N103 | Huoshiling | 2337.20 | / | −42.4 | −30.1 | −28.2 | −26.9 | −25.4 |
| 6 | N103 | Huoshiling | 2335.50 | / | −42.5 | −30.2 | −28.1 | / | / |
| 7 | N103 | Huoshiling | 2335.00 | / | −40.4 | −30.5 | −27.9 | / | / |
| 8 | N103 | Huoshiling | 2335.20 | / | −40.3 | −30.3 | −27.9 | −26.8 | / |
| 9 | N103 | Huoshiling | 2336.20 | / | −37.8 | −29.8 | −27.4 | −26.3 | −26.3 |
| 10 | DS15 | Shahezi | 2578.50 | / | −32.5 | −25.4 | −23.5 | / | / |
| 11 | DS15 | Shahezi | 2578.00 | / | −32.5 | −25.3 | −23.5 | / | / |
| 12 | DS39-3 | Shahezi | 2232.40 | / | −35.9 | −25.0 | −22.9 | / | / |
| 13 | DS39-3 | Shahezi | 2232.00 | / | −35.9 | −25.2 | −22.9 | / | / |
| 14 | N101 | Shahezi | 2354.90 | / | −37.0 | / | / | / | / |
| 15 | N101 | Shahezi | 2354.50 | / | −35.9 | −33.7 | −32.8 | / | / |
| 16 | N101 | Shahezi | 2354.40 | / | −36.9 | −33.7 | −32.8 | −31.7 | / |
| 17 | N101 | Shahezi | 2022.46 | / | −33.7 | / | / | / | / |
| 18 | N101 | Shahezi | 2021.46 | / | −30.2 | / | / | / | / |
| 19 | N104 | Shahezi | 1935.50 | / | −31.4 | / | / | / | / |
| 20 | DS21 | Yingcheng | 1756.50 | / | −30.8 | −24.7 | −24.6 | / | / |
| 21 | DS21 | Yingcheng | 1756.00 | / | −30.9 | −24.8 | −24.6 | / | / |
| 22 | DS35 | Yingcheng | 1450.00 | −13.0 | −36.4 | −26.6 | −23.9 | / | / |
| 23 | H3 | Yingcheng | 1971.50 | / | −34.5 | −25.3 | −22.8 | / | / |
| 24 | H3 | Yingcheng | 1971.70 | −20.4 | −34.6 | −25.3 | −22.8 | −23.1 | / |
| 25 | H4 | Yingcheng | 1508.70 | −14.9 | −31.1 | −24.8 | −24.2 | / | / |
| 26 | H4 | Yingcheng | 1508.50 | / | −31.0 | −24.9 | −24.1 | / | / |
| 27 | N102 | Yingcheng | 1785.00 | / | −40.3 | / | / | / | / |
| Well | Layer | Depth (m) | δD ‰(VSMOW) | ||||
|---|---|---|---|---|---|---|---|
| C1 | C2 | C3 | iC4 | nC4 | |||
| DS12 | Shahezi | 3067.00 | −211 | −213 | −219 | / | / |
| DS12 | Huoshiling | 3328.90 | −216 | −215 | −192 | / | / |
| Well | Layer | Depth (m) | Relative Contents of Light Hydrocarbons (C5–7) (%) | ||
|---|---|---|---|---|---|
| n-C7 | ∑DMCP | MCH | |||
| DS16 | Huoshiling | 2290.00 | 20.9 | 59.1 | 20.0 |
| DS16 | Huoshiling | 2291.00 | 24.1 | 55.0 | 20.8 |
| DS16 | Huoshiling | 3060.00 | 32.0 | 47.1 | 20.8 |
| DS16 | Huoshiling | 3080.00 | 28.3 | 48.0 | 23.7 |
| DS16 | Huoshiling | 3065.00 | 27.0 | 49.3 | 23.7 |
| DS12 | Huoshiling | 3335.00 | 30.2 | 44.9 | 24.9 |
| DS12 | Huoshiling | 3067.00 | 26.9 | 48.1 | 25.0 |
| DS12 | Huoshiling | 3340.00 | 30.2 | 43.1 | 26.7 |
| DS12 | Huoshiling | 3328.90 | 34.0 | 34.1 | 31.9 |
| DS19 | Huoshiling | 2295.50 | 25.5 | 29.1 | 45.4 |
| DS11 | Huoshiling | 2556.00 | 31.7 | 16.6 | 51.7 |
| DS11 | Huoshiling | 2553.00 | 29.7 | 18.6 | 51.7 |
| DS11 | Huoshiling | 2562.00 | 27.6 | 17.3 | 55.1 |
| DS2 | Shahezi | 2844.50 | 28.0 | 47.1 | 24.9 |
| DS2 | Shahezi | 2845.50 | 29.0 | 44.1 | 27.0 |
| DS12 | Shahezi | 2393.00 | 29.8 | 42.6 | 27.6 |
| DS12 | Shahezi | 2396.00 | 33.7 | 36.7 | 29.6 |
| DS12 | Shahezi | 2400.00 | 38.6 | 28.8 | 32.6 |
| DS15 | Shahezi | 2578.00 | 24.8 | 19.1 | 56.1 |
| DS15 | Shahezi | 2578.00 | 25.5 | 17.1 | 57.4 |
| DS17 | Yingcheng | 2273.50 | 44.0 | 16.8 | 39.2 |
| DS13 | Yingcheng | 1656.50 | 20.4 | 16.1 | 63.5 |
| DS13 | Yingcheng | 1658.50 | 18.0 | 13.1 | 68.9 |
| Sample number | 1 | 2 | 3 | 4 | 5 | 6 | 7 | 8 | 9 | 10 | 11 | a | b | c | d | e | f |
| Sample type | Rock | Rock | Rock | Rock | Rock | Rock | Rock | Rock | Rock | Rock | Rock | Gas | Gas | Gas | Gas | Gas | Gas |
| Well | DS12 | DS2 | DS2 | DS12 | DS12 | DS11 | DS12 | DS12 | DS12 | DS16 | DS16 | DS11 | DS12 | DS12 | DS15 | DS17 | DS19 |
| Location | Huajia | Huajia | Huajia | Huajia | Huajia | Huajia | Huajia | Huajia | Huajia | Huajia | Huajia | Huajia | Huajia | Huajia | Huajia | Baojia | Nong’annan |
| Layer | K1yc | K1sh | K1sh | K1sh | K1sh | J3h | J3h | J3h | J3h | J3h | J3h | J3h | J3h | J3h | K1sh | K1yc | J3h |
| Depth (m) | 1972.00 | 2453.70 | 2459.05 | 2329.38 | 2337.00 | 2640.50 | 2867.50 | 3264.50 | 3381.00 | 2593.00 | 2664.00 | 2553.00 | 3328.90 | 3067.00 | 2578.00 | 2273.50 | 2295.50 |
| iC5/nC5 | 2.11 | 1.10 | 1.22 | 0.68 | 0.70 | 1.28 | 1.14 | 1.06 | 1.24 | 1.57 | 1.18 | 1.54 | 1.12 | 1.98 | 4.12 | 3.17 | 1.43 |
| MCH/nC7 | 2.62 | 1.24 | 1.90 | 1.53 | 1.60 | 1.94 | 1.93 | 1.05 | 2.05 | 2.27 | 1.83 | 1.61 | 1.96 | 0.87 | 3.10 | 2.22 | 1.76 |
| 2,2-DMB/2-MP | 0.13 | 0.14 | 0.20 | 0.06 | 0.06 | 0.09 | 0.11 | 0.14 | 0.12 | 1.30 | 0.13 | 0.14 | 0.25 | 0.40 | 0.54 | 1.67 | 0.25 |
| 2,2-DMB/3-MP | 0.23 | 0.25 | 0.32 | 0.11 | 0.10 | 0.14 | 0.19 | 0.22 | 0.20 | 0.53 | 0.20 | 0.18 | 0.39 | 0.64 | 0.85 | 2.49 | 0.43 |
| 2-MP/3-MP | 1.76 | 1.72 | 1.65 | 1.71 | 1.68 | 1.62 | 1.71 | 1.59 | 1.65 | 0.41 | 1.60 | 1.34 | 1.58 | 1.61 | 1.59 | 1.49 | 1.75 |
| 2-MP/nC6 | 0.77 | 0.66 | 0.77 | 0.41 | 0.41 | 0.49 | 0.58 | 0.32 | 0.64 | 0.24 | 0.54 | 0.49 | 0.68 | 1.03 | 1.50 | 1.92 | 0.89 |
| 2-MP/3-MH | 2.00 | 1.38 | 1.66 | 1.94 | 1.76 | 1.82 | 1.87 | 1.04 | 1.50 | 0.27 | 1.08 | 1.67 | 1.94 | 2.74 | 2.83 | 3.20 | 3.18 |
| nC6/CH | 0.62 | 1.89 | 1.32 | 2.19 | 1.96 | 1.05 | 1.45 | 2.02 | 1.20 | 0.99 | 1.35 | 1.40 | 1.06 | 3.79 | 1.14 | 2.22 | 2.28 |
| MCP/MCH | 0.20 | 0.28 | 0.30 | 0.29 | 0.26 | 0.29 | 0.30 | 0.23 | 0.23 | 0.14 | 0.19 | 0.54 | 0.52 | 0.66 | 0.32 | 0.11 | 0.51 |
| 1,t3-DMCP/1,t2-DMCP | 0.55 | 0.67 | 0.67 | 0.67 | 0.74 | 0.67 | 0.68 | 0.62 | 0.64 | 0.42 | 0.47 | 0.66 | 0.75 | 0.62 | 0.42 | 0.33 | 3.30 |
| MCH Index | 0.63 | 0.49 | 0.57 | 0.53 | 0.54 | 0.58 | 0.57 | 0.46 | 0.58 | 0.59 | 0.56 | 0.52 | 0.55 | 0.39 | 0.64 | 0.57 | 0.45 |
| nC6/(MCP+2,2-DMP) | 1.14 | 2.11 | 1.67 | 2.83 | 2.68 | 1.45 | 1.72 | 2.79 | 1.62 | 1.23 | 1.73 | 1.62 | 1.39 | 2.62 | 1.13 | 1.82 | 1.91 |
| 3-MH/(1,1-DMCP+1,c3-DMCP) | 1.30 | 3.95 | 3.06 | 2.09 | 1.86 | 1.49 | 1.90 | 2.64 | 1.89 | 2.12 | 2.26 | 2.23 | 2.17 | 4.87 | 2.47 | 4.95 | 0.72 |
| 2,3-DMH/2-MHp | 0.33 | 0.15 | 0.00 | 0.12 | 0.14 | 0.17 | 0.22 | 0.09 | 0.20 | 0.38 | 0.30 | 0.31 | 0.27 | 0.32 | 0.40 | 0.76 | 0.34 |
| (4-MHp+3,4-DMH)/3-MHp | 0.66 | 0.43 | 0.38 | 0.21 | 0.20 | 0.31 | 0.40 | 0.44 | 0.39 | 0.62 | 0.65 | 0.39 | 0.70 | 0.32 | 0.40 | 1.00 | 0.49 |
| Sample no. | Well | Layer | Depth (m) | δ13CH4 (‰) | δ13C2H6 (‰) | δ13C3H8 (‰) | Gas Type | Ro (%) |
|---|---|---|---|---|---|---|---|---|
| 1 | DS11 | Huoshiling | 2553.00 | −34.3 | −27.3 | −28.3 | Coal-derived | 1.01 |
| 2 | DS12 | Huoshiling | 3328.90 | −37.3 | −34.8 | −33.0 | Oil-associated | 2.04 |
| 3 | DS12 | Huoshiling | 3328.50 | −35.3 | −34.9 | −32.9 | Oil-associated | 2.73 |
| 4 | N103 | Huoshiling | 2336.00 | −38.0 | −29.9 | −28.4 | Oil-associated | 1.85 |
| 5 | N103 | Huoshiling | 2337.20 | −42.4 | −30.1 | −28.2 | Oil-associated | 0.97 |
| 6 | N103 | Huoshiling | 2335.50 | −42.5 | −30.2 | −28.1 | Oil-associated | 0.96 |
| 7 | N103 | Huoshiling | 2335.00 | −40.4 | −30.5 | −27.9 | Oil-associated | 1.30 |
| 8 | N103 | Huoshiling | 2335.20 | −40.3 | −30.3 | −27.9 | Oil-associated | 1.32 |
| 9 | N103 | Huoshiling | 2336.20 | −37.8 | −29.8 | −27.4 | Oil-associated | 1.90 |
| 10 | DS15 | Shahezi | 2578.00 | −32.5 | −25.4 | −23.5 | Coal-derived | 1.35 |
| 11 | DS15 | Shahezi | 2578.00 | −32.5 | −25.3 | −23.5 | Coal-derived | 1.35 |
| 12 | DS39-3 | Shahezi | 2232.40 | −35.9 | −25.0 | −22.9 | Coal-derived | 0.78 |
| 13 | DS39-3 | Shahezi | 2232.00 | −35.9 | −25.2 | −22.9 | Coal-derived | 0.78 |
| 15 | N101 | Shahezi | 2354.50 | −35.9 | −33.7 | −32.8 | Oil-associated | 2.49 |
| 16 | N101 | Shahezi | 2354.40 | −36.9 | −33.7 | −32.8 | Oil-associated | 2.17 |
| 20 | DS21 | Yingcheng | 1756.00 | −30.8 | −24.7 | −24.6 | Coal-derived | 1.77 |
| 21 | DS21 | Yingcheng | 1756.00 | −30.9 | −24.8 | −24.6 | Coal-derived | 1.74 |
| 22 | DS35 | Yingcheng | 1450.00 | −36.4 | −26.6 | −23.9 | Coal-derived | 0.73 |
| 23 | H3 | Yingcheng | 1971.50 | −34.5 | −25.3 | −22.8 | Coal-derived | 0.98 |
| 24 | H3 | Yingcheng | 1971.70 | −34.6 | −25.3 | −22.8 | Coal-derived | 0.97 |
| 25 | H4 | Yingcheng | 1508.70 | −31.1 | −24.8 | −24.2 | Coal-derived | 1.70 |
| 26 | H4 | Yingcheng | 1508.50 | −31.0 | −24.9 | −24.1 | Coal-derived | 1.71 |
© 2019 by the authors. Licensee MDPI, Basel, Switzerland. This article is an open access article distributed under the terms and conditions of the Creative Commons Attribution (CC BY) license (http://creativecommons.org/licenses/by/4.0/).
Share and Cite
Xu, Z.; Peng, B.; Feng, Y.; Liu, L.; Fang, C.; Shao, M.; Jia, K.; Wu, K.; Chen, Y. Characteristics and Origins of the Natural Gas and Implications for Gas-Source Correlation in Deep Formations of the Songliao Basin, NE China. Energies 2019, 12, 4641. https://doi.org/10.3390/en12244641
Xu Z, Peng B, Feng Y, Liu L, Fang C, Shao M, Jia K, Wu K, Chen Y. Characteristics and Origins of the Natural Gas and Implications for Gas-Source Correlation in Deep Formations of the Songliao Basin, NE China. Energies. 2019; 12(24):4641. https://doi.org/10.3390/en12244641
Chicago/Turabian StyleXu, Zhengjian, Biao Peng, Yanjun Feng, Luofu Liu, Chao Fang, Mingli Shao, Kexin Jia, Kangjun Wu, and Yingying Chen. 2019. "Characteristics and Origins of the Natural Gas and Implications for Gas-Source Correlation in Deep Formations of the Songliao Basin, NE China" Energies 12, no. 24: 4641. https://doi.org/10.3390/en12244641
APA StyleXu, Z., Peng, B., Feng, Y., Liu, L., Fang, C., Shao, M., Jia, K., Wu, K., & Chen, Y. (2019). Characteristics and Origins of the Natural Gas and Implications for Gas-Source Correlation in Deep Formations of the Songliao Basin, NE China. Energies, 12(24), 4641. https://doi.org/10.3390/en12244641

