Modeling and Analyzing the Effect of Frequency Variation on Weak Grid-Connected VSC System Stability in DC Voltage Control Timescale
Abstract
:1. Introduction
2. Description of Grid-Connected VSC System and Motion Equation Concept in DVC Timescale
2.1. Description of Grid-Connected VSC System
2.2. Motion Equation Concept in DVC Timescale
2.2.1. Definition of DVC Timescale
2.2.2. Motion Equation Concept
3. Proposed Power Calculation Method
3.1. Time-Varying Frequency of VSC’s Internal Voltage
3.2. Power Calculation with the Time-Varying Frequency of Voltage Vectors
- (1)
- The system is a symmetric 3-phase circuit;
- (2)
- The power transmission line has lumped parameters, and the parameters are constant;
- (3)
- The resistance and distributed capacitance in power transmission line are neglected.
4. System Modeling with the Proposed Power Calculation Method
4.1. Small-Signal Modeling of VSC’s Internal Voltage Dynamics in DVC Timescale
4.2. Established VSC Model based on Motion Equation Concept
4.3. Established Power Network Model
4.4. Verification of the Established Small-Signal Model
5. Effect Analysis of Frequency Variation on the System Stability in DVC Timescale
5.1. Stability Analysis of the Grid-Connected VSC System in Frequency Domain
5.2. Case Studies
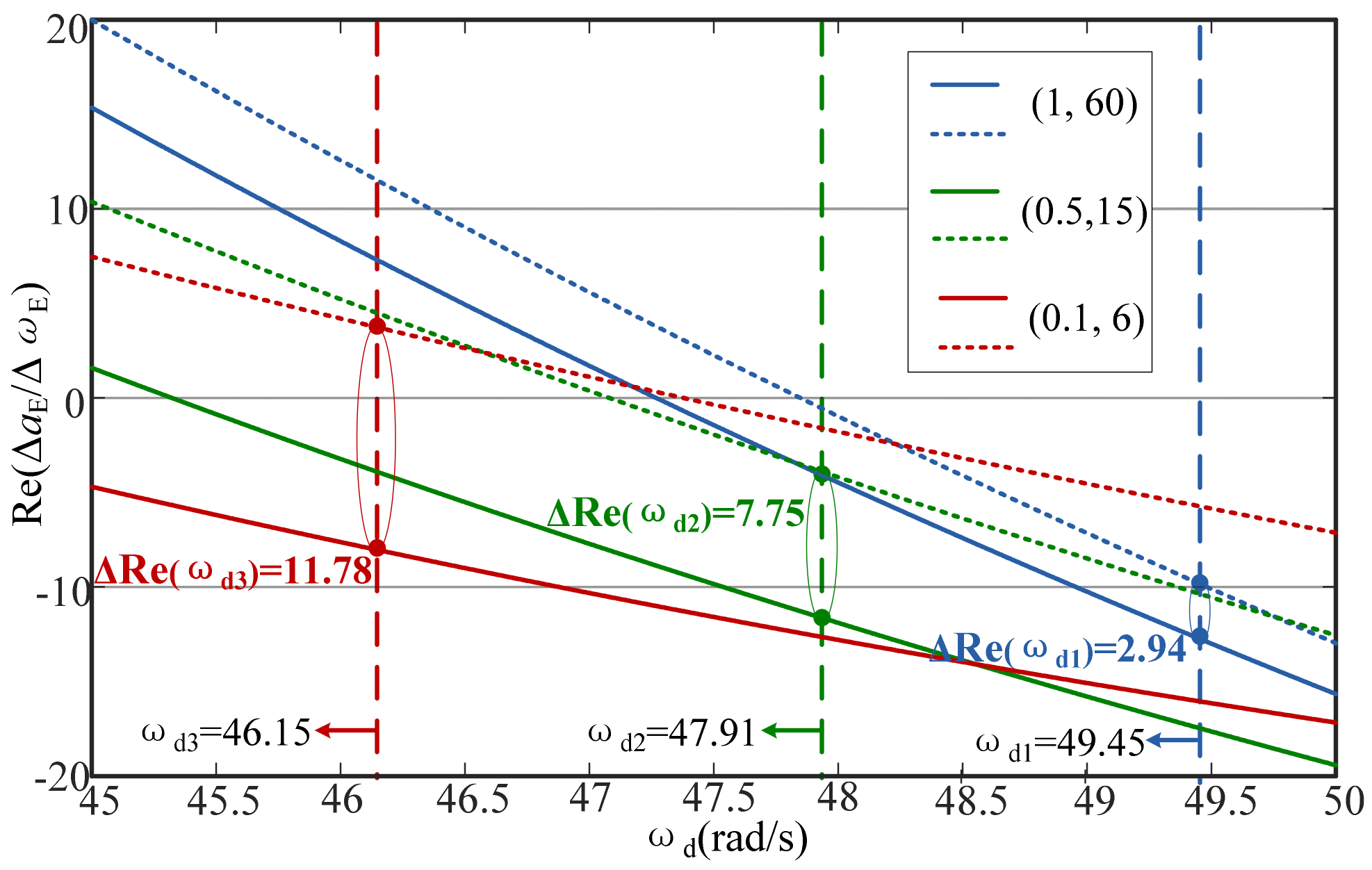
5.2.1. Case Study 1: Effect of Frequency Variation under Different TVC Controller Parameters
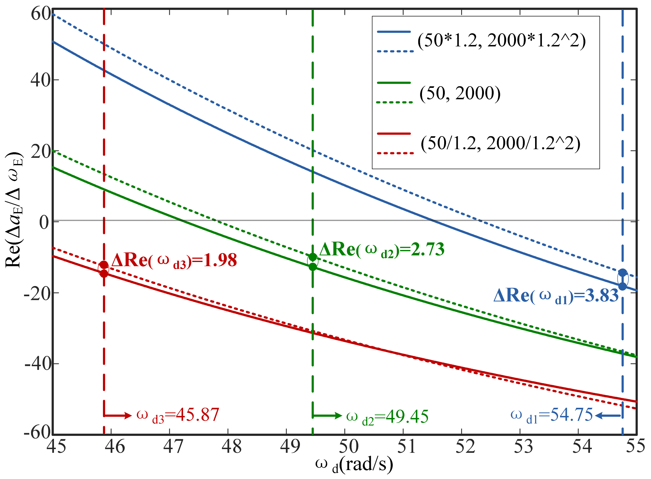
5.2.2. Case Study 2: Effect of Frequency Variation under Different PLL Controller Parameters
6. Discussion
7. Conclusions
Author Contributions
Funding
Acknowledgments
Conflicts of Interest
Nomenclature
| Pin | Active power input of VSC |
| P, Q | Active and reactive power output of VSC |
| E, Ut, Ug | VSC’s internal voltage, terminal voltage and infinite-bus voltage vectors |
| E, θE, ωE | VSC’s internal voltage amplitude, phase, and frequency |
| Ut, θt, ωt | Terminal voltage amplitude, phase, and frequency |
| Ug, θg | Infinite-bus voltage amplitude and phase |
| I | Current vector |
| ωp, θp | PLL frequency and output angle |
| edp, eqp | Direct-axis and quadrature-axis current control output in PLL-synchronized reference frame |
| idp, iqp | Direct-axis and quadrature-axis current components in PLL-synchronized reference frame |
| Udc | DC voltage |
| Lf | VSC filter inductance |
| Lg | Transmission line inductance |
| PIj= kpj+kij/s | Transfer function of a generic PI controller (j = 1, 2,…,4) |
| θxy | Difference of phase θx and phase θy |
| Superscript: | |
| ref | Reference value |
| Subscripts: | |
| abc | Components in abc frame |
| 0 | Initial values in steady-state condition |
Appendix A. The Expressions of MVSC(s), GEQ(s) and GEω(s)
Appendix B. 2-MW Grid-Connected VSC System Parameters
| Sbase= 2 MW | Ubase = 690 V(phase to phase RMS value) | |
| ωbase = 2 πfbase | fbase = 50 Hz | Udcbase = 1200 V |
| Udc* = 1 p.u. | Cdc = 0.1 F | Ut* = 1 p.u. |
| Ug = 1 p.u. | Lf= 0.1 p.u. | Lg= 0.85 p.u. |
| Controller parameter values (p.u.) | ||
| DC voltage control | kp1 = 3.5 | ki1 = 140 |
| Terminal voltage control | kp2 = 1 | ki2 = 60 |
| Current control | kp3 = 1.2 | ki3 = 300 |
| PLL control | kp4 = 50 | ki4 = 2000 |
References
- Piwko, R.; Miller, N.; Sanchez-Gasca, J.; Yuan, X.; Dai, R.; Lyons, J. Integrating large wind farms into weak power grids with long transmission lines. In Proceedings of the IEEE PES Transmission and Distribution Conference and Exposition, Asia and Pacific, Dalian, China, 18 August 2005; pp. 1–7. [Google Scholar]
- Committee, D. IEEE Guide for Planning DC Links Terminating at AC Locations Having Low Short-Circuit Capacities; IEEE: New York, NY, USA, 1997; pp. 1–214. [Google Scholar]
- Diedrichs, V.; Beekmann, A.; Busker, K.; Nikolai, S.; Adloff, S. Control of wind power plants utilizing voltage source converter in high impedance grids. In Proceedings of the IEEE PES General Meeting, San Diego, CA, USA, 22–26 July 2012; pp. 1–9. [Google Scholar]
- Ye, Z.; Walling, R.; Garces, L.; Zhou, R.; Li, L.; Wang, T. Study and Development of Anti-Islanding Control for Grid-connected Inverters; National Renewable Energy Laboratory: Golden, CO, USA, 2004; pp. 1–82.
- Wang, X.; Freitas, W. Impact of positive-feedback anti-islanding methods on small-signal stability of inverter-based distributed generation. IEEE Trans. Energy Convers. 2008, 23, 923–931. [Google Scholar] [CrossRef]
- Dong, D.; Li, J.; Boroyevich, D.; Mattavelli, P.; Cvetkovic, I.; Xue, Y. Frequency behavior and its stability of grid-interface converter in distributed generation systems. In Proceedings of the Applied Power Electronics Conference & Exposition, Orlando, FL, USA, 5–9 February 2012; pp. 1887–1893. [Google Scholar]
- Dong, D.; Wen, B.; Mattavelli, P.; Boroyevich, D.; Xue, Y. Grid-synchronization modeling and its stability analysis for multi-paralleled three-phase inverter systems. In Proceedings of the Applied Power Electronics Conference & Exposition, Long Beach, CA, USA, 17–21 March 2013; pp. 439–446. [Google Scholar]
- Hu, Q.; Fu, L.; Ma, F.; Ji, F. Large signal synchronizing instability of PLL-based VSC connected to weak AC grid. IEEE Trans. Power Syst. 2019, 34, 3220–3229. [Google Scholar] [CrossRef]
- Wen, B.; Dong, D.; Boroyevich, D.; Mattavelli, P.; Burgos, R.; Shen, Z. Impedance-based analysis of grid-synchronization stability for three-phase paralleled converters. In Proceedings of the Applied Power Electronics Conference & Exposition, Fort Worth, TX, USA, 16–20 March 2014; pp. 1233–1239. [Google Scholar]
- Huang, Y.; Yuan, X.; Hu, J.; Zhou, P. Modeling of VSC connected to weak grid for stability analysis of DC-link voltage control. IEEE J. Emerg. Sel. Top. Power Electron. 2015, 3, 1193–1204. [Google Scholar] [CrossRef]
- Kalcon, G.O.; Adam, G.P. Small-signal stability analysis of multi-terminal VSC-based DC transmission systems. IEEE Trans. Power Syst. 2012, 27, 1818–1830. [Google Scholar] [CrossRef]
- Stamatiou, G.; Bongiorno, M. Stability analysis of two-terminal VSC-HVDC systems using the net-damping criterion. IEEE Trans. Power Del. 2016, 31, 1748–1756. [Google Scholar] [CrossRef]
- Hu, J.; Huang, Y.; Wang, D.; Yuan, H.; Yuan, X. Modeling of grid-connected DFIG-based wind turbines for DC-link voltage stability analysis. IEEE Trans. Sustain. Energy. 2015, 6, 1325–1336. [Google Scholar] [CrossRef]
- Yuan, H.; Yuan, X.; Hu, J. Modeling of grid-connected VSCs for power system small-signal stability analysis in DC-link voltage control timescale. IEEE Trans. Power Syst. 2017, 32, 3981–3991. [Google Scholar] [CrossRef]
- Hu, J.; Yuan, H.; Yuan, X. Modeling of DFIG-based WTs for small-signal stability analysis in DVC timescale in power electronized power system. IEEE Trans. Energy Convers. 2017, 32, 1151–1165. [Google Scholar] [CrossRef]
- Zheng, W.; Hu, J.; Yuan, X. Modeling of VSCs considering input and output active power dynamics for multi-terminal HVDC interaction analysis in DC voltage control timescale. IEEE Trans. Energy Convers. to be published. [CrossRef]
- Kundur, P. Power System Stability and Control; McGraw-Hill: New York, NY, USA, 1994. [Google Scholar]
- Akagi, H.; Kanazawa, Y.; Nabae, A. Instantaneous reactive power compensators comprising switching devices without energy storage components. IEEE Trans. Ind. Appl. 1984, IA-20, 625–630. [Google Scholar] [CrossRef]
- Akagi, H.; Nabae, A. The p-q theory in three-phase systems under non-sinusoidal conditions. Eur. Trans. Elec. Power. 1993, 3, 27–31. [Google Scholar] [CrossRef]
- Ferrero, A.; Superti-Furga, G. A new approach to the definition of power components in three-phase systems under nonsinusoidal conditions. IEEE Trans. Instrum. Meas. 1991, 40, 568–577. [Google Scholar] [CrossRef]
- Chinchilla, S.; Arnaltes, S.; Burgos, J.C. Control of permanent-magnet generators applied to variable-speed wind-energy systems connected to the grid. IEEE Trans. Energy Convers. 2006, 21, 130–135. [Google Scholar] [CrossRef]
- Li, S.; Yan, Y.; Yuan, X. SISO equivalent of MIMO VSC-dominated power systems for voltage amplitude and phase dynamic analyses in current control timescale. IEEE Trans. Energy Convers. to be published. [CrossRef]
- Harnefors, L.; Bongiorno, M.; Lundberg, S. Input-admittance calculation and shaping for controlled voltage-source converters. IEEE Trans. Ind. Electron. 2007, 54, 3323–3334. [Google Scholar] [CrossRef]
- Huang, Y.; Zhai, X.; Hu, J.; Liu, D.; Lin, C. Modeling and stability analysis of VSC internal voltage in DC-Link voltage control time scale. IEEE J. Emerg. Sel. Top. Power Electron. 2018, 6, 16–28. [Google Scholar] [CrossRef]
- Yan, Y.; Yuan, X.; Hu, J. Stationary-frame modeling of VSC based on current-balancing driven internal voltage motion for current control timescale dynamic analysis. Energies 2018, 11, 438. [Google Scholar]
- Robbins, A.H.; Miller, W.C. Circuit Analysis: Theory and Practice, 5th ed.; Cengage Learning: Boston, MA, USA, 2013. [Google Scholar]

















© 2019 by the authors. Licensee MDPI, Basel, Switzerland. This article is an open access article distributed under the terms and conditions of the Creative Commons Attribution (CC BY) license (http://creativecommons.org/licenses/by/4.0/).
Share and Cite
Yang, H.; Yuan, X. Modeling and Analyzing the Effect of Frequency Variation on Weak Grid-Connected VSC System Stability in DC Voltage Control Timescale. Energies 2019, 12, 4458. https://doi.org/10.3390/en12234458
Yang H, Yuan X. Modeling and Analyzing the Effect of Frequency Variation on Weak Grid-Connected VSC System Stability in DC Voltage Control Timescale. Energies. 2019; 12(23):4458. https://doi.org/10.3390/en12234458
Chicago/Turabian StyleYang, Hui, and Xiaoming Yuan. 2019. "Modeling and Analyzing the Effect of Frequency Variation on Weak Grid-Connected VSC System Stability in DC Voltage Control Timescale" Energies 12, no. 23: 4458. https://doi.org/10.3390/en12234458
APA StyleYang, H., & Yuan, X. (2019). Modeling and Analyzing the Effect of Frequency Variation on Weak Grid-Connected VSC System Stability in DC Voltage Control Timescale. Energies, 12(23), 4458. https://doi.org/10.3390/en12234458
