Investigating Primary Factors Affecting Electricity Consumption in Non-Residential Buildings Using a Data-Driven Approach
Abstract
1. Introduction
2. Related Works
2.1. Engineering Analysis Method and Its Threshold
2.2. Data-Driven Analysis Method
2.2.1. Analysis of Building Energy Consumption Using Machine Learning
2.2.2. Analysis of Building Energy Consumption by the Clustering Method
3. Approach
3.1. Clustering: DBSCAN and K-Means
3.2. Clustering Result
4. Research Results
5. Validation
5.1. Validation of Variables for High and Low Energy Consumption with a t-Test
5.2. Regression Results
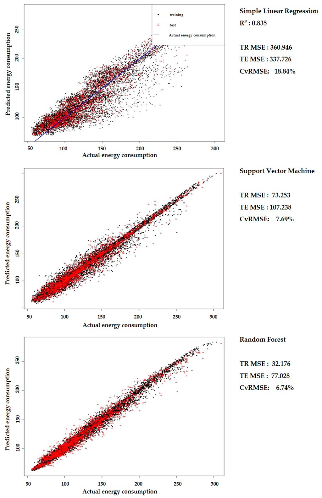
5.3. Mean Squared Error (MSE) and Mean Absolute Percentage Error (MAPE)
6. Conclusions
6.1. Research Conclusions
- The important variables for building energy consumption were derived based on machine learning clustering and were clustered into high- and low-energy-consumption clusters;
- Based on the clustering, the energy consumption of 11 regional buildings was analyzed according to changes in the outdoor air temperature, which can reveal the building energy features;
- T-tests were performed on the results of the buildings categorized into similar clusters to determine the explanatory variables that led to a high or low energy consumption;
- Lastly, the important variables identified from this methodology were validated.
- -
- Comparison of R2 values
- -
- Validation of the two regression equations for the 16 original variables and important variables by obtaining the MSE and MAPE.
With respect to Conclusion 3, the important variables that had a decisive effect on the energy consumption of a single building under analysis and the 11 regional buildings (12 buildings in total) were found to be two environmental variables (temperature and humidity), lighting energy, heating energy, and a time variable (month); - This study determined the key variables affecting the electrical electricity consumption of buildings, especially non-residential buildings. Except for the external environment (geographic location, temperature, and humidity), the studied building’s electricity consumption was found to be as important as its physical characteristics, such as an increased cooling energy, lighting energy, and baseload, due to the working conditions of the occupants. Internal heat gains varied according to occupancy time and density.
6.2. Significance and Application
Author Contributions
Funding
Conflicts of Interest
References
- Climate Change, Sustainable Development Goals. Available online: https://www.un.org/sustainabledevelopment/climate-change-2/ (accessed on 5 April 2019).
- Choi, M.S.; Choi, D.Y. Building Energy Consumption Sampling Survey; Korea Energy Economics Institute: Ulsan, Korea, 2014. [Google Scholar]
- Fayaz, M.; Kim, D. Energy Consumption Optimization and User Comfort Management in Residential Buildings Using a Bat Algorithm and Fuzzy Logic. Energies 2018, 11, 161. [Google Scholar] [CrossRef]
- Selin, R. The Outlook for Energy: A View to 2040; ExxonMobil: Irving, TX, USA, 2013. [Google Scholar]
- Sieminski, A. International Energy Outlook; Energy Information Administration: Washington, DC, USA, 2014. [Google Scholar]
- KEA. Statistics on Energy Use and Greenhouse Gas Emissions in the Industrial Sector; KEA: Ulsan, Korea, 2017. [Google Scholar]
- Woo, H.J.; Choi, K.W.; Kim, H.S.; Auh, J.S.; Cho, S.Y.; Baek, J.; Kim, G.S.; Leigh, S.B. A Study on Classifying Building Energy Consumption Pattern Using Actual Building Energy Data. J. Arch. Inst. Korea Plan. Des. 2016, 32, 143–151. [Google Scholar] [CrossRef]
- Cho, S.Y.; Leigh, S.B. Comparing methodology of building energy analysis—Comparative analysis from steady-state simulation to data-driven analysis. KIEAE J. 2017, 17, 77–86. [Google Scholar] [CrossRef]
- Moon, H.J.; Yoon, Y.R. A Case Study on the Use of Machine Learning Technique for Building Energy Analysis; Korea Institute of Architectural Sustainable Environment and Building Systems: Seoul, Korea, 2017. [Google Scholar]
- Seo, W.J.; Ahn, K.U.; Park, C.S. Utilizing Machine Learning Technology in Building Energy Diagnosis and Facility Control; Korea Institute of Architectural Sustainable Environment and Building Systems: Seoul, Korea, 2017. [Google Scholar]
- Wang, H.; Chiang, P.C.; Cai, Y.; Li, C.; Wang, X.; Chen, T.L.; Wei, S.; Huang, Q. Application of Wall and Insulation Materials on Green Building: A Review. Sustainability 2018, 10, 3331. [Google Scholar] [CrossRef]
- Korea Energy Economics Institute. Year Book of Energy Statistics 2018; Korea Energy Economics Institute: Ulsan, Korea, 2019. [Google Scholar]
- Crawley, D.B.; Hand, J.W.; Kummert, M.; Griffith, B.T. Contrasting the capabilities of building energy performance simulation programs. Build. Environ. 2008, 43, 661–673. [Google Scholar] [CrossRef]
- Kim, Y.H.; Park, W.J.; Yang, S.H.; Kim, S.J. Building Energy Consumption Prediction and Evaluation System; The Society of Air-Conditioning and Refrigerating Engineers of Korea: Seoul, Korea, 2018. [Google Scholar]
- Beak, Y.R. Thermal energy analysis program of building. J. Mech. Sci. Technol. 2002, 42, 20–21. [Google Scholar]
- Yu, Y.; Woradechjumroen, D.; Yu, D. A review of fault detection and diagnosis methodologies on air-handling units. Energy Build. 2014, 82, 550–562. [Google Scholar] [CrossRef]
- Fan, C.; Xiao, F.; Yan, C.; Liu, C.; Li, Z.; Wang, J. A novel methodology to explain and evaluate data-driven building energy performance models based on interpretable machine learning. Appl. Energy 2019, 235, 1551–1560. [Google Scholar] [CrossRef]
- Harish, V.; Kumar, A. A review on modeling and simulation of building energy systems. Renew. Sustain. Energy Rev. 2016, 56, 1272–1292. [Google Scholar] [CrossRef]
- Harish, V.S.K.V.; Kumar, A. Techniques used to construct an energy model for attaining energy efficiency in building: A review. In Proceedings of the International Conference on Control, Instrumentation, Energy and Communication (CIEC), Calcutta, India, 31 January–2 February 2014; pp. 366–370. [Google Scholar]
- Wilde, P.D. The gap between predicted and measured energy performance of buildings. Autom. Constr. 2014, 41, 40–49. [Google Scholar] [CrossRef]
- Menezes, A.C.; Cripps, A.; Bouchlaghem, D. Predicted vs. actual energy performance of non-domestic buildings using post occupancy evaluation data to reduce the performance gap. Appl. Energy 2012, 97, 355–364. [Google Scholar] [CrossRef]
- Olivia, G.S.; Christopher, T.A. In-use monitoring of buildings: An overview and classification of evaluation methods. Energy Build. 2015, 86, 176–189. [Google Scholar] [CrossRef]
- Choi, J.H.; Loftness, V.; Aziz, A. Post-occupancy evaluation of 20 office buildings as basis for future IEQ standards and guidelines. Energy Build. 2012, 46, 167–175. [Google Scholar] [CrossRef]
- Agha-Hossein, M.; El-Jouzi, S.; Elmualim, A.; Ellis, J.; Williams, M. Post-occupancy studies of an office environment: Energy performance and occupants’ satisfaction. Build. Environ. 2013, 69, 121–130. [Google Scholar] [CrossRef]
- Salehi, M.M.; Cavka, B.T.; Frisque, A.; Whitehead, D.; Bushe, W.K. A case study: The energy performance gap of the Center for Interactive Research on Sustainability at the University of British Columbia. J. Build. Eng. 2015, 4, 127–139. [Google Scholar] [CrossRef]
- Niu, S.; Pan, W.; Zhao, Y. A virtual reality integrated design approach to improving occupancy information integrity for closing the building energy performance gap. Sustain. Cities Soc. 2016, 27, 275–286. [Google Scholar] [CrossRef]
- Herrando, M.; Cambra, D.; Navarro, M.; De La Cruz, L.; Millán, G.; Zabalza, I.; Bribian, I.Z. Energy Performance Certification of Faculty Buildings in Spain: The gap between estimated and real energy consumption. Energy Convers. Manag. 2016, 125, 141–153. [Google Scholar] [CrossRef]
- Min, Z.; Morgenstern, P.; Halburd, L.M. Facilities management added value in closing the energy performance gap. Int. J. Sustain. Built Environ. 2016, 5, 197–209. [Google Scholar] [CrossRef]
- Witten, I.H.; Frank, E.; Hall, M.A. Data Mining: Practical Machine Learning Tools and Techniques; Elsevier: Amsterdam, The Netherlands, 2013; pp. 45–52. [Google Scholar]
- Lee, J.H.; Shin, J.; Realff, M.J. Machine learning: Overview of the recent progresses and implications for the process systems engineering field. Comput. Chem. Eng. 2018, 114, 111–121. [Google Scholar] [CrossRef]
- Molina-Solana, M.; Ros, M.; Ruiz, M.D.; Gómez-Romero, J.; Martin-Bautista, M. Data science for building energy management: A review. Renew. Sustain. Energy Rev. 2017, 70, 598–609. [Google Scholar] [CrossRef]
- Wang, Z.; Wang, Y.; Srinivasan, R.S. A novel ensemble learning approach to support building energy use prediction. Energy Build. 2018, 159, 109–122. [Google Scholar] [CrossRef]
- Catalina, T.; Virgone, J.; Blanco, E. Development and validation of regression models to predict monthly heating demand for residential buildings. Energy Build. 2008, 40, 1825–1832. [Google Scholar] [CrossRef]
- Ekici, B.B.; Aksoy, T.U. Prediction of building energy consumption by using artificial neural networks. Adv. Eng. Softw. 2009, 40, 356–362. [Google Scholar] [CrossRef]
- Yu, Z.; Haghighat, F.; Fung, B.C.M.; Yoshino, H. A decision tree method for building energy demand modeling. Energy Build. 2010, 42, 1637–1646. [Google Scholar] [CrossRef]
- Dong, B.; Cao, C.; Lee, S.E. Applying support vector machines to predict building energy consumption in tropical region. Energy Build. 2005, 37, 545–553. [Google Scholar] [CrossRef]
- Classification: Train, Validatio, Test Split. Available online: https://blog.algorithmia.com/page/50 (accessed on 29 September 2019).
- Paudel, S.; Elmitri, M.; Couturier, S.; Nguyen, P.H.; BrunoLacarrière, R.; Le Corre, O. A relevant data selection method for energy consumption prediction of low energy building based on support vector machine. Energy Build. 2016, 138, 240–256. [Google Scholar] [CrossRef]
- Yildiz, B.; Bilbao, J.; Sproul, A. A review and analysis of regression and machine learning models on commercial building electricity load forecasting. Renew. Sustain. Energy Rev. 2017, 73, 1104–1122. [Google Scholar] [CrossRef]
- Rahman, A.; Smith, A.D. Predicting fuel consumption for commercial buildings with machine learning algorithms. Energy Build. 2017, 152, 341–358. [Google Scholar] [CrossRef]
- Moon, J.; Jun, S.; Park, J.; Choi, Y.H.; Hwang, E. An Electric Load Forecasting Scheme for University Campus Buildings Using Artificial Neural Network and Support Vector Regression. KIPS Trans. Comput. Commun. Syst. 2016, 5, 293–302. [Google Scholar] [CrossRef]
- Seong, N.C.; Kim, J.H.; Choi, W.; Yoon, S.C.; Nassif, N. Development of Optimization Algorithms for Building Energy Model Using Artificial Neural Networks. J. Korean Soc. Living Environ. Syst. 2017, 24, 29–36. [Google Scholar] [CrossRef]
- Naganathan, H.; Chong, W.O.; Chen, X. Building energy modeling (BEM) using clustering algorithms and semi-supervised machine learning approaches. Autom. Constr. 2016, 72, 187–194. [Google Scholar] [CrossRef]
- Ko, J.H.; Kong, D.S.; Huh, J.H. Baseline building energy modeling of cluster inverse model by using daily energy consumption in office buildings. Energy Build. 2017, 140, 317–323. [Google Scholar] [CrossRef]
- Yang, J.; Ning, C.; Deb, C.; Zhang, F.; Cheong, D.; Lee, S.E.; Sekhar, C.; Tham, K.W. k-Shape clustering algorithm for building energy usage patterns analysis and forecasting model accuracy improvement. Energy Build. 2017, 146, 27–37. [Google Scholar] [CrossRef]
- Moon, H.J.; Jung, S.K.; Ruy, S.H. Building Cooling and Heating Energy Consumption Pattern Analysis Based on Building Energy Management System Data Using Machine Learning Techniques; The Society of Air-Conditioning and Refrigerating Engineers of Korea: Seoul, Korea, 2015. [Google Scholar]
- Hwang, H.M.; Lee, S.H.; Park, J.B.; Park, Y.G.; Son, S.Y. Load Forecasting using Hierarchical Clustering Method for Building. Trans. Korean Inst. Electr. Eng. 2015, 64, 41–47. [Google Scholar] [CrossRef][Green Version]
- Shmueli, G.; Petel, N.R.; Bruce, P.C. Data Mining for Business Intelligence; Wiley: New York, NY, USA, 2010; pp. 91–97. [Google Scholar]
- Cho, S.Y.; Leigh, S.B. A Study of the Possibility of Building Energy Saving through the Building Data: A Case Study of Macro to Micro Building Energy Analysis. Korean J. Air Cond. Refrig. Eng. 2017, 29, 580–591. [Google Scholar]
- Flach, P. Machine Learning: The Art and Science of Algorithms That Make Sense of Data, 1st ed.; Intelligent Systems Laboratory, University of Bristol: Bristol, UK, 2012; pp. 295–328. [Google Scholar]
- R-3.6.1 for Window. Available online: https://cran.r-project.org/bin/windows/base/ (accessed on 16 August 2019).
- Cho, K.H.; Oh, J.H.; Kim, S.S.; Lee, B.H.; Yeo, M.S. An Analysis of Energy Consumption Patterns in University Buildings Using Inverse Modeling; Architectural Institute of Korea: Seoul, Korea, 2017. [Google Scholar]
- Tronchin, L.; Manfren, M.; James, P.A.B. Linking design and operation performance analysis through model calibration: Parametric assessment on a Passive House building. Energy 2018, 165, 26–40. [Google Scholar] [CrossRef]
- Attanasio, A.; Piscitelli, M.S.; Chiusano, S.; Capozzoli, A.; Cerquitelli, T. Towards an Automated, Fast and Interpretable Estimation Model of Heating Energy Demand: A Data-Driven Approach Exploiting Building Energy Certificates. Energies 2019, 12, 1273. [Google Scholar] [CrossRef]
- ASHRAE. ASHRAE’s Guideline 14, Measurement of Energy and Demand Savings; ASHRAE: Atlanta, GA, USA, 2002. [Google Scholar]











| Author | Building Use | Target/Energy Source | Evaluations |
|---|---|---|---|
| Yu et al. [16] | Domestic | Gas, Electricity | Data Mining |
| Wilde et al. [20] | Domestic | Gas, Electricity | Monitoring |
| Menezes et al. [21] | Non-Domestic | Ventilation | Post-Occupancy Evaluation (POE) |
| Olivia et al. [22] | Hospital, School | Indoor Comfort | POE, Monitoring |
| Choi et al. [23] | Non-Domestic | Ventilation | POE |
| Hossein et al. [24] | Non-Domestic | Electricity | POE |
| Salehi et al. [25] | Non-Domestic | Ventilation | Dynamic Simulation |
| Niu et al. [26] | Domestic | Ventilation | POE |
| Herrando et al. [27] | Non-Domestic | Ventilation | Dynamic Simulation |
| Min et al. [28] | Non-Domestic | Air Handling Unit | Facility Management Review |
| Authors | Research Topic | Target Building | Algorithm | Evaluation Indices |
|---|---|---|---|---|
| Paudel et al. [38] | Prediction of building energy consumption All data vs. relevant data compared | Low-energy buildings | SVR | RMSE, R2 |
| Yildiz et al. [39] | Building electricity consumption prediction | Commercial buildings, educational facilities | ANN, SVR, Regression tree | MAPE, RMSE, R2 |
| Rahman et al. [40] | Prediction of building’s fuel use Hourly data used over one year | Office buildings, supermarkets, restaurants | MLR, ANN, SVR, GP | RMSE |
| Moon et al. [41] | Prediction of building’s electricity use | University buildings | ANN, SVR | MAPE, RMSE |
| Seong et al. [42] | Energy optimization model for buildings | Office buildings | ANN | MBE, CVRMSE |
| Support Vector Regression (SVR) Artificial Neural Network (ANN) Multi Liner Regression (MLR) | Root Mean Square Error (RMSE) Mean Absolute Percentage Error (MAPE) Coefficient of Variation of the Root Mean Square Error (CVRMSE) | |||
| Authors | Research Topic | Target Building | Algorithm | Evaluation Indices |
|---|---|---|---|---|
| Naganathan et al. [43] | Identifying the loss of energy during transmission and distribution | 105 buildings | K-means | - |
| Ko et al. [44] | Improving the estimation accuracy of building energy consumption | Office buildings | K-means | R2 |
| Yang et al. [45] | Utilized K-shape clustering for analyzing building energy use patterns | Educational facilities | K-Shape SVR | RMS |
| Moon et al. [46] | Analysis of cooling and heating energy consumption patterns in office buildings | Office buildings | K-medoids | - |
| Hwang et al. [47] | Building energy demand predictions using hierarchical clustering | No information on target buildings | Hierarchical Clustering | APE, R2 |
| Order | R-Code and Clusters | Contents |
|---|---|---|
| 1 | ![]() | First cluster is formed based on similar characteristics in the data (density center). It is unable to distinguish which cluster data are significant among n clusters through seven repeated colors. |
| 2 | ![]() | Results of re-executed DBSCAN code for n clusters sorted by the amount of data in the clusters in descending order. |
| 3 | ![]() | Extraction of results only for clusters allocating a large amount of data; re-clustering is performed based on these results for energy consumption (real-time consumption) with a relatively large amount of data. |
| 4 | ![]() | Formation of five clusters with large amounts of data. In particular, the red cluster (4) and the sky-blue cluster (27) are classified as high energy consumption clusters (clusters with assigned high consumption level E). |
| 5 | ![]() | The important variables of Cluster 4 and Cluster 27 are displayed in a box plot. Among the 16 energy variables, in the red cluster, baseload and heating energy were determined to be important variables, while in the sky-blue cluster, cooling energy and humidity were determined to be important variables. |
| DBSCAN | K-Means | |||||||
|---|---|---|---|---|---|---|---|---|
| Criteria | Level of Clustering | Inverse Model * | Outlier | Energy Consumption Grading | Level of Clustering | Inverse Model | Outlier | Energy Consumption Grading |
| Weighted value | 1.00 | 0.75 | 0.50 | 0.25 | 1.00 | 0.75 | 0.50 | 0.25 |
| Seoul | 3.00 | 2.25 | 1.50 | 0.75 | 1.00 | 2.25 | 1.50 | 0.75 |
| Gyeonggi | 3.00 | 2.25 | 1.50 | 0.50 | 2.00 | 2.25 | 1.00 | 0.50 |
| Northern Gyeonggi | 3.00 | 2.25 | 1.00 | 2.00 | 1.00 | 2.25 | 1.50 | 0.75 |
| Incheon | 3.00 | 1.50 | 1.50 | 0.75 | 2.00 | 2.25 | 1.50 | 0.75 |
| Daegu | 3.00 | 2.25 | 1.00 | 0.75 | 1.00 | 1.50 | 1.50 | 0.75 |
| Gyeongnam | 3.00 | 2.25 | 1.50 | 0.50 | 1.00 | 1.50 | 1.50 | 0.50 |
| Pusan | 3.00 | 0.75 | 1.50 | 0.50 | 1.00 | 1.50 | 1.50 | 0.50 |
| Jeonbuk | 3.00 | 1.50 | 1.00 | 0.50 | 1.00 | 1.50 | 1.50 | 0.75 |
| Gwangju | 3.00 | 2.25 | 1.00 | 0.25 | 1.00 | 1.50 | 1.50 | 0.75 |
| Chung cheong | 3.00 | 1.50 | 1.00 | 0.50 | 1.00 | 1.50 | 1.50 | 0.25 |
| Kangwon | 3.00 | 1.50 | 1.00 | 0.25 | 1.00 | 1.50 | 1.00 | 0.50 |
| mean | 3.00 | 1.84 | 1.23 | 0.66 | 1.18 | 1.77 | 1.41 | 0.61 |
| Region | Seoul | Gyeonggi | N-Gy | Incheon | Daegu | G-Nam | Pusan | Jeonbuk | Gw-Ju | Ch-Ch | Ka-W |
|---|---|---|---|---|---|---|---|---|---|---|---|
| month | 0.000 | 0.001 | 0.000 | 0.000 | 0.000 | 0.620 | 0.000 | 0.000 | 0.000 | 0.000 | 0.000 |
| date | 0.803 | 0.616 | 0.728 | 0.219 | 0.024 | 0.531 | 0.450 | 0.484 | 0.288 | 0.177 | 0.739 |
| hour | 0.992 | 0.563 | 0.980 | 0.021 | 0.015 | 0.551 | 0.428 | 0.008 | 0.573 | 0.258 | 0.161 |
| temp | 0.000 | 0.098 | 0.000 | 0.000 | 0.000 | 0.000 | 0.000 | 0.000 | 0.000 | 0.000 | 0.000 |
| humi | 0.000 | 0.000 | 0.001 | 0.000 | 0.000 | 0.000 | 0.000 | 0.000 | 0.000 | 0.000 | 0.000 |
| base.e | 0.000 | 0.006 | 0.000 | 0.000 | 0.000 | 0.544 | 0.000 | 0.170 | 0.000 | 0.000 | 0.000 |
| lit.e | 0.000 | 0.000 | 0.280 | 0.000 | 0.000 | 0.000 | 0.000 | 0.000 | 0.000 | 0.000 | 0.000 |
| heat.e | 0.000 | 0.000 | 0.000 | 0.000 | 0.000 | 0.000 | 0.500 | 0.000 | 0.000 | 0.000 | 0.000 |
| inter.e | 0.318 | 0.000 | 0.000 | 0.500 | 0.500 | 0.000 | 0.318 | 0.000 | 0.000 | 0.318 | 0.000 |
| cool.e | 0.500 | 0.000 | 0.016 | 0.500 | 0.500 | 0.000 | 0.000 | 0.000 | 0.500 | 0.500 | 0.000 |
| Mon | 0.056 | 0.359 | 0.492 | 0.673 | 0.487 | 0.012 | 0.801 | 0.069 | 0.219 | 0.011 | 0.162 |
| Tue | 0.563 | 0.310 | 0.967 | 0.825 | 0.212 | 0.015 | 0.801 | 0.768 | 0.395 | 0.145 | 0.892 |
| Wed | 0.473 | 0.071 | 0.532 | 0.129 | 0.005 | 0.045 | 0.326 | 0.195 | 0.781 | 0.209 | 0.508 |
| Thu | 0.551 | 0.278 | 0.005 | 0.454 | 0.005 | 0.023 | 0.903 | 0.036 | 0.477 | 0.818 | 0.226 |
| Sat | 0.500 | 0.500 | 0.318 | 0.500 | 0.500 | 0.500 | 0.500 | 0.500 | 0.500 | 0.500 | 0.500 |
| Sun | 0.500 | 0.318 | 0.157 | 0.500 | 0.500 | 0.500 | 0.500 | 0.500 | 0.500 | 0.500 | 0.500 |
| Evaluation Index | Original 16 Variables | Major Variables | Differences |
|---|---|---|---|
| MSE Training set | 360.946 | 381.8843 | 21.938 |
| MSE Test set | 337.726 | 365.9697 | 28.243 |
| MAPE Training set | 11.65511 | 12.06266 | 0.40 |
| MAPE Test set | 11.65511 | 11.77404 | 0.12 |
| Algorithms | Original 16 Variables | Major Variables | Differences |
|---|---|---|---|
| Regression R2 | 0.835 | 0.826 | 0.009 |
| Regression CvRMSE | 13.84 | 14.60 | 0.8 |
| SVM CvRMSE | 7.69 | 9.03 | 1.34 |
| Random Forest CvRMSE | 6.74 | 7.20 | 0.46 |
© 2019 by the authors. Licensee MDPI, Basel, Switzerland. This article is an open access article distributed under the terms and conditions of the Creative Commons Attribution (CC BY) license (http://creativecommons.org/licenses/by/4.0/).
Share and Cite
Cho, S.; Lee, J.; Baek, J.; Kim, G.-S.; Leigh, S.-B. Investigating Primary Factors Affecting Electricity Consumption in Non-Residential Buildings Using a Data-Driven Approach. Energies 2019, 12, 4046. https://doi.org/10.3390/en12214046
Cho S, Lee J, Baek J, Kim G-S, Leigh S-B. Investigating Primary Factors Affecting Electricity Consumption in Non-Residential Buildings Using a Data-Driven Approach. Energies. 2019; 12(21):4046. https://doi.org/10.3390/en12214046
Chicago/Turabian StyleCho, Sooyoun, Jeehang Lee, Jumi Baek, Gi-Seok Kim, and Seung-Bok Leigh. 2019. "Investigating Primary Factors Affecting Electricity Consumption in Non-Residential Buildings Using a Data-Driven Approach" Energies 12, no. 21: 4046. https://doi.org/10.3390/en12214046
APA StyleCho, S., Lee, J., Baek, J., Kim, G.-S., & Leigh, S.-B. (2019). Investigating Primary Factors Affecting Electricity Consumption in Non-Residential Buildings Using a Data-Driven Approach. Energies, 12(21), 4046. https://doi.org/10.3390/en12214046





