Energy-Neutral Operation Based on Simultaneous Wireless Information and Power Transfer for Wireless Powered Sensor Networks
Abstract
1. Introduction
- We design a frame structure to operate SWIPT in the hierarchical WPSN structure. The frame is divided into WET, SWIPT, and WIT slots, and each sensor node uses either a PS or TS method in the allocated SWIPT slot.
- We numerically express the achievable rate of sensing data collected in each cluster subject to the guarantee of ENO of the sensor nodes and obtain the total energy dissipated in the cluster depending on the use of SWIPT.
- We develop an algorithm that finds the optimal SWIPT ratio in terms of PS and TS to maximize the achievable rate of sensing data in the cluster.
- Finally, we design a clustering and CH selection algorithm based on the K-means clustering algorithm to maximize the achievable rate in the entire network.
2. Related Works
2.1. WPCN
2.2. SWIPT in WSN
2.3. ENO Based on WPT
3. System Description
4. Proposed Energy Neutral Operation
4.1. Frame Structure
4.2. Energy Neutral Operation
4.3. Optimal SWIPT Ratio
| Algorithm 1: SWIPT algorithm |
| Ensure:i is CH and |
4.4. Clustering and CH Selection
| Algorithm 2: Clustering and CH selection |
| Ensure: is the set of nodes in cluster is the CH in the cluster k, is a sensor node in the cluster k,
|
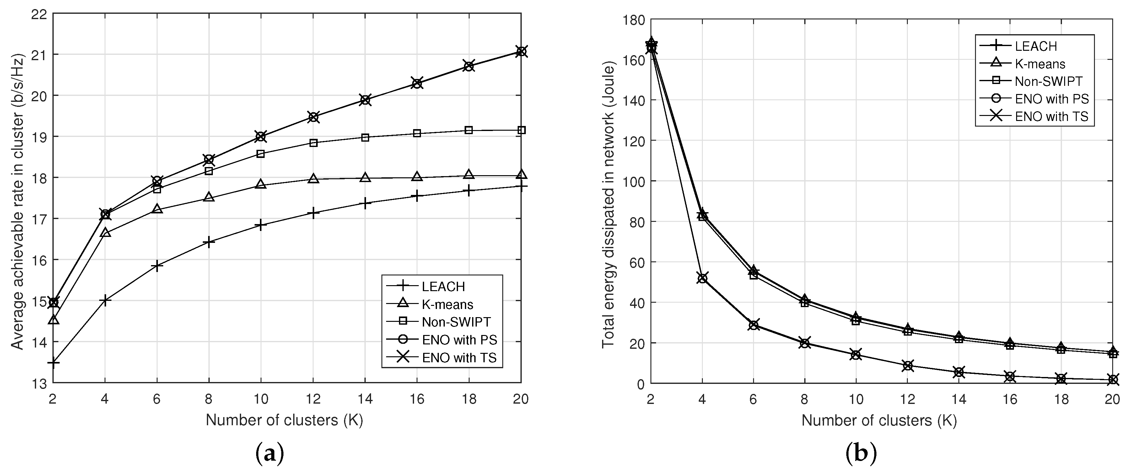
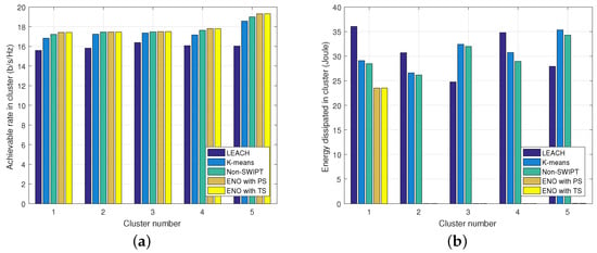
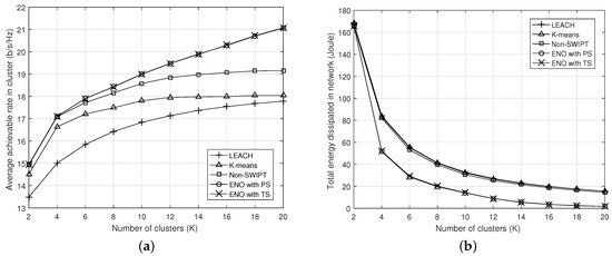
5. Results and Discussion
- LEACH: The CH is chosen randomly based on the stochastic threshold algorithm of the LEACH protocol [41]. The other sensor nodes are connected to the nearest CH and do not use SWIPT.
- K-means: The clusters are created using the K-means clustering algorithm, and the CH is chosen as the node closest to the centroid of each cluster. SWIPT is not used.
- ENO with TS: This scheme is the same as ENO with PS, except that TS-based SWIPT is applied.
6. Conclusions
Author Contributions
Funding
Acknowledgments
Conflicts of Interest
References
- Kansal, A.; Hsu, J.; Zahedi, S.; Srivastava, M.B. Power management in energy harvesting sensor networks. ACM Trans. Embeded Comput. Syst. 2007, 6, 32. [Google Scholar] [CrossRef]
- Akan, O.B.; Cetinkaya, O.; Koca, C.; Ozger, M. Internet of hybrid energy harvesting things. IEEE Internet Things J. 2017, 5, 736–746. [Google Scholar] [CrossRef]
- Vigorito, C.M.; Ganesan, D.; Barto, A.G. Adaptive control of duty cycling in energy-harvesting wireless sensor networks. In Proceedings of the 2007 4th Annual IEEE Communications Society Conference on Sensor, Mesh and Ad Hoc Communications and Networks, San Diego, CA, USA, 18–21 June 2007; pp. 21–30. [Google Scholar]
- Moser, C.; Thiele, L.; Brunelli, D.; Benini, L. Adaptive power management in energy harvesting systems. In Proceedings of the 2007 Design, Automation & Test in Europe Conference & Exhibition, Nice, France, 16–20 April 2007. [Google Scholar]
- Alippi, C.; Anastasi, G.; Di Francesco, M.; Roveri, M. Energy management in wireless sensor networks with energy-hungry sensors. IEEE Instrum. Meas. Mag. 2009, 12, 16–23. [Google Scholar] [CrossRef]
- Eu, Z.A.; Tan, H.P.; Seah, W.K. Opportunistic routing in wireless sensor networks powered by ambient energy harvesting. Comput. Netw. 2010, 54, 2943–2966. [Google Scholar] [CrossRef]
- Nguyen, M.T.; Nguyen, T.H. Wireless Power Transfer: A survey of techniques, and applications on communication networks. ICSES Trans. Comput. Netw. Commun. 2018, 4, 1–5. [Google Scholar]
- Yang, G.; Yuan, D.; Liang, Y.C.; Zhang, R.; Leung, V.C. Optimal resource allocation in full-duplex ambient backscatter communication networks for wireless-powered IoT. IEEE Internet Things J. 2018, 6, 2612–2625. [Google Scholar] [CrossRef]
- Bi, S.; Ho, C.K.; Zhang, R. Wireless powered communication: Opportunities and challenges. IEEE Commun. Mag. 2015, 53, 117–125. [Google Scholar] [CrossRef]
- Sun, Q.; Dai, H.N.; Wang, Q.; Li, X.; Wang, H. When friendly jamming meets wireless energy transfer. In Proceedings of the 2018 IEEE International Conference on Internet of Things (iThings) and IEEE Green Computing and Communications (GreenCom) and IEEE Cyber, Physical and Social Computing (CPSCom) and IEEE Smart Data (SmartData), Halifax, NS, Canada, 30 July–3 August 2018; pp. 320–325. [Google Scholar]
- Bi, S.; Zeng, Y.; Zhang, R. Wireless powered communication networks: An overview. IEEE Wirel. Commun. 2016, 23, 10–18. [Google Scholar] [CrossRef]
- Lu, X.; Wang, P.; Niyato, D.; Kim, D.I.; Han, Z. Wireless charging technologies: Fundamentals, standards, and network applications. IEEE Commun. Surv. Tutor. 2015, 18, 1413–1452. [Google Scholar] [CrossRef]
- Liu, Y.; Ding, Z.; Elkashlan, M.; Poor, H.V. Cooperative non-orthogonal multiple access with simultaneous wireless information and power transfer. IEEE J. Sel. Commun. 2016, 34, 938–953. [Google Scholar] [CrossRef]
- Liu, L.; Zhang, R.; Chua, K.C. Wireless information and power transfer: A dynamic power splitting approach. IEEE Trans. Commun. 2013, 61, 3990–4001. [Google Scholar] [CrossRef]
- Sudevalayam, S.; Kulkarni, P. Energy harvesting sensor nodes: Survey and implications. IEEE Commun. Surv. Tutor. 2010, 13, 443–461. [Google Scholar] [CrossRef]
- Yick, J.; Mukherjee, B.; Ghosal, D. Wireless sensor network survey. Comput. Netw. 2008, 52, 2292–2330. [Google Scholar] [CrossRef]
- Wang, Q.; Dai, H.N.; Zheng, Z.; Imran, M.; Vasilakos, A. On connectivity of wireless sensor networks with directional antennas. Sensors 2017, 17, 134. [Google Scholar] [CrossRef] [PubMed]
- Singh, S.K.; Singh, M.P.; Singh, D.K. A survey of energy-efficient hierarchical cluster-based routing in wireless sensor networks. Int. J. Adv. Netw. Appl. 2010, 2, 570–580. [Google Scholar]
- Krishnamachari, B.; Estrin, D.; Wicker, S. Modelling data-centric routing in wireless sensor networks. In IEEE Infocom; IEEE: New York, NY, USA, 2002; Volume 2, pp. 39–44. [Google Scholar]
- Choi, H.H. Construction of energy-efficient data aggregation tree in wireless sensor networks. J. Korea Inf. Commun. Soc. 2016, 41, 1057–1059. [Google Scholar] [CrossRef][Green Version]
- Ju, H.; Zhang, R. Throughput maximization in wireless powered communication networks. IEEE Trans. Wireless Commun. 2013, 13, 418–428. [Google Scholar] [CrossRef]
- Liu, L.; Zhang, R.; Chua, K.C. Multi-antenna wireless powered communication with energy beamforming. IEEE Trans. Commun. 2014, 62, 4349–4361. [Google Scholar] [CrossRef]
- Chen, H.; Li, Y.; Rebelatto, J.L.; Uchoa-Filho, B.F.; Vucetic, B. Harvest-then-cooperate: Wireless-powered cooperative communications. IEEE Trans. Signal Process. 2015, 63, 1700–1711. [Google Scholar] [CrossRef]
- Kang, X.; Ho, C.K.; Sun, S. Full-duplex wireless-powered communication network with energy causality. IEEE Trans. Wirel. Commun. 2015, 14, 5539–5551. [Google Scholar] [CrossRef]
- Yuan, L.; Bi, S.; Zhang, S.; Lin, X.; Wang, H. Multi-antenna enabled cluster-based cooperation in wireless powered communication networks. IEEE Access 2017, 5, 13941–13950. [Google Scholar] [CrossRef]
- Zhang, C.; Zhang, P.; Zhang, W. Cluster cooperation in wireless-powered sensor networks: Modeling and Performance Analysis. Sensors 2017, 17, 2215. [Google Scholar] [CrossRef] [PubMed]
- Yang, Y.; Han, Z.; Ma, G.; Gong, Y.; Qian, L. An energy-efficient hierarchical protocol for wireless powered sensor networks. In Proceedings of the 2018 IEEE 23rd International Conference on Digital Signal Processing (DSP), Shanghai, China, 19–21 November 2018. [Google Scholar]
- Lei, M.; Zhang, X.; Ding, H.; Yu, B. Fairness-aware resource allocation in multi-Hop wireless powered communication networks with user cooperation. Sensors 2018, 18, 1890. [Google Scholar] [CrossRef] [PubMed]
- Asiedu, D.K.P.; Shin, S.; Koumadi, K.M.; Lee, K.J. Review of simultaneous wireless information and power transfer in wireless sensor networks. J. lnf. Commun. Converg. Eng. 2019, 17, 105–116. [Google Scholar]
- Hossain, M.A.; Noor, R.M.; Yau, K.L.A.; Ahmedy, I.; Anjum, S.S. Survey on simultaneous wireless information and power transfer with cooperative relay and future challenges. IEEE Access 2019, 7, 19166–19198. [Google Scholar] [CrossRef]
- Perera, T.D.P.; Jayakody, D.N.K.; Sharma, S.K.; Chatzinotas, S.; Li, J. Simultaneous wireless information and power transfer (SWIPT): Recent advances and future challenges. IEEE Commun. Surv. Tutor. 2017, 20, 264–302. [Google Scholar] [CrossRef]
- Guo, S.; Wang, F.; Yang, Y.; Xiao, B. Energy-efficient cooperative tfor simultaneous wireless information and power transfer in clustered wireless sensor networks. IEEE Trans. Commun. 2015, 63, 4405–4417. [Google Scholar] [CrossRef]
- Liu, T.; Wang, X.; Zheng, L. A cooperative SWIPT scheme for wirelessly powered sensor networks. IEEE Trans. Commun. 2017, 65, 2740–2752. [Google Scholar] [CrossRef]
- Tong, B.; Li, Z.; Wang, G.; Zhang, W. How wireless power charging technology affects sensor network deployment and routing. In Proceedings of the 2010 IEEE 30th International Conference on Distributed Computing Systems, Genoa, Italy, 21–25 June 2010; pp. 438–447. [Google Scholar]
- Shi, L.; Han, J.; Han, D.; Ding, X.; Wei, Z. The dynamic routing algorithm for renewable wireless sensor networks with wireless power transfer. Comput. Netw. 2014, 74, 34–52. [Google Scholar] [CrossRef]
- Cetinkaya, O.; Dinc, E.; Koca, C.; Merrett, G.V.; Akan, O.B. Energy-neutral wireless-powered networks. IEEE Wirel. Commun. Lett. 2019. [Google Scholar] [CrossRef]
- Park, J.J.; Moon, J.H.; Lee, K.Y.; Kim, D.I. Adaptive mode switching algorithm for dual mode SWIPT with duty cycle operation. In Proceedings of the 2018 IEEE 19th International Workshop on Signal Processing Advances in Wireless Communications (SPAWC), Kalamata, Greece, 25–28 June 2018. [Google Scholar]
- Setiawan, D.; Aziz, A.A.; Kim, D.I.; Choi, K.W. Experiment, modeling, and analysis of wireless-powered sensor network for energy neutral power management. IEEE Syst. J. 2017, 12, 3381–3392. [Google Scholar] [CrossRef]
- Choi, K.W.; Ginting, L.; Rosyady, P.A.; Aziz, A.A.; Kim, D.I. Wireless-powered sensor networks: How to realize. IEEE Trans. Wirel. Commun. 2016, 16, 221–234. [Google Scholar] [CrossRef]
- Long, T.; Ozger, M.; Cetinkaya, O.; Akan, O.B. Energy neutral internet of drones. IEEE Commun. Mag. 2018, 56, 22–28. [Google Scholar] [CrossRef]
- Singh, S.K.; Kumar, P.; Singh, J.P. A survey on successors of LEACH protocol. IEEE Access 2017, 5, 4298–4328. [Google Scholar] [CrossRef]
- Yang, Z.; Xu, W.; Pan, Y.; Pan, C.; Chen, M. Optimal fairness-aware time and power allocation in wireless powered communication networks. IEEE Trans. Commun. 2018, 66, 3122–3135. [Google Scholar] [CrossRef]
- Heinzelman, W.R.; Chandrakasan, A.; Balakrishnan, H. Energy-efficient communication protocol for wireless microsensor networks. In Proceedings of the 33rd annual Hawaii international conference on system sciences, Maui, HI, USA, 4–7 January 2000; p. 10. [Google Scholar]
- Choi, H.H.; Lee, J.R. Distributed transmit power control for maximizing end-to-end throughput in wireless multi-hop networks. Wirel. Pers. Commun. 2014, 74, 1033–1044. [Google Scholar] [CrossRef]
- Sasikumar, P.; Khara, S. K-means clustering in wireless sensor networks. In Proceedings of the 2012 Fourth International Conference on Computational Intelligence and Communication Networks, Mathura, India, 3–5 November 2012; pp. 140–144. [Google Scholar]
- Choi, H.H.; Shin, W. Slotted ALOHA for wireless powered communication networks. IEEE Access 2018, 6, 53342–53355. [Google Scholar] [CrossRef]
- Izadi, D.; Abawajy, J.; Ghanavati, S.; Herawan, T. A data fusion method in wireless sensor networks. Sensors 2015, 15, 2964–2979. [Google Scholar] [CrossRef]
- Yang, Z.; Xu, W.; Pan, Y.; Pan, C.; Chen, M. Energy efficient resource allocation in machine-to-machine communications with multiple access and energy harvesting for IoT. IEEE Internet Things J. 2018, 5, 229–245. [Google Scholar] [CrossRef]







| Parameter | Value |
|---|---|
| Number of sensor nodes in WPSN | N = 100∼500 (default = 300) |
| Number of clusters | K = 2∼20 (default = 10) |
| Width of the square network | W = 10∼50 m (default = 30 m) |
| Transmission power of HAP | P = 46 dBm |
| EH efficiency | = 0.8, |
| Ratio of energy used for transmission in sensors | = 0.9, |
| Ratio of energy used for transmission in CH | = 0.7 |
| Noise spectral density | −174 dBm/Hz |
| Noise figure | 9 dB |
| Channel bandwidth | 1 MHz |
| Channel power gains | , |
| Power attenuation at a reference distance of 1 m | dB |
| Path loss exponent | = 2.5 |
| Length of WET slot | = 5 s |
| Length of SWIPT slot | = 0.1 s |
| Length of WIT slot | = 0.1 s |
| Number of simulation trials | 1000 |
© 2019 by the authors. Licensee MDPI, Basel, Switzerland. This article is an open access article distributed under the terms and conditions of the Creative Commons Attribution (CC BY) license (http://creativecommons.org/licenses/by/4.0/).
Share and Cite
Choi, H.-H.; Lee, J.-R. Energy-Neutral Operation Based on Simultaneous Wireless Information and Power Transfer for Wireless Powered Sensor Networks. Energies 2019, 12, 3823. https://doi.org/10.3390/en12203823
Choi H-H, Lee J-R. Energy-Neutral Operation Based on Simultaneous Wireless Information and Power Transfer for Wireless Powered Sensor Networks. Energies. 2019; 12(20):3823. https://doi.org/10.3390/en12203823
Chicago/Turabian StyleChoi, Hyun-Ho, and Jung-Ryun Lee. 2019. "Energy-Neutral Operation Based on Simultaneous Wireless Information and Power Transfer for Wireless Powered Sensor Networks" Energies 12, no. 20: 3823. https://doi.org/10.3390/en12203823
APA StyleChoi, H.-H., & Lee, J.-R. (2019). Energy-Neutral Operation Based on Simultaneous Wireless Information and Power Transfer for Wireless Powered Sensor Networks. Energies, 12(20), 3823. https://doi.org/10.3390/en12203823

