Dynamic Stall of a Vertical-Axis Wind Turbine and Its Control Using Plasma Actuation
Abstract
1. Introduction
2. Computational Model and Numerical Method
2.1. H-Type VAWT Model
2.2. Plasma Actuator Model
2.3. Numerical Method and Boundary Conditions
2.4. CFD Validation
2.5. H-Type VAWT Aerodynamic Parameters
2.6. Parameter Settings
3. Results and Discussion
3.1. Computational Results Verification
3.2. Influence of Tip Speed Ratio
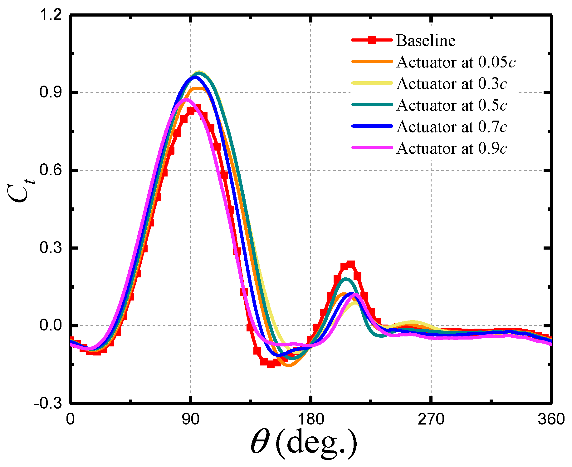
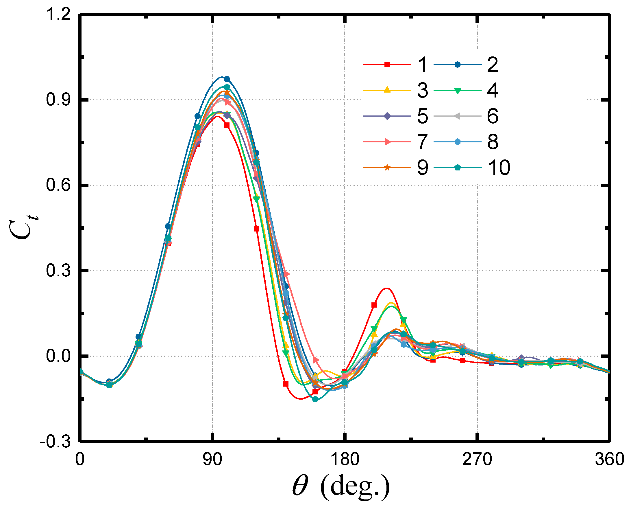
3.3. Influence of Plasma Actuation Flow Control Strategy on VAWT
4. Conclusions
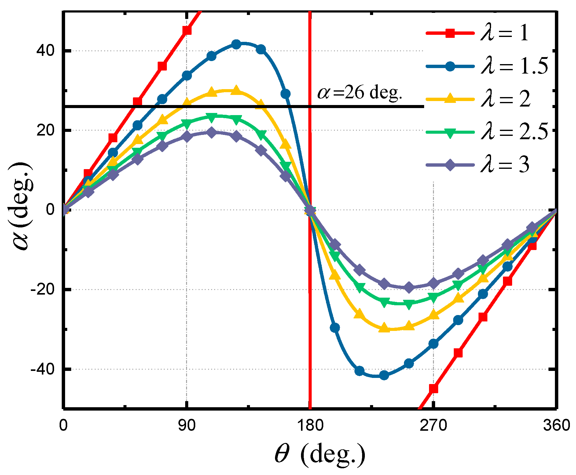
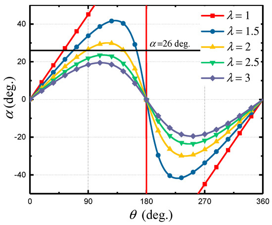
- As the dynamic stall of the vertical-axis wind turbine occurs, the boundary layer separation moves from the trailing edge to the leading edge. The boundary layer will reattach to the blade surface with the leading edge vortex and the secondary vortex shedding. With the increase of the tip speed ratio, the delay effect of the dynamic stall is more obvious.
- The tip speed ratio affects the maximum and minimum values of the tangential force for a blade. When the tip speed is low, the maximum tangential force is at the azimuth of the α = 26°, and the minimum value is at the following 60° ± 5° azimuth. When the tip speed is high, the maximum tangential force is at the azimuth where the maximum angle of attack is, and the minimum is at the following 80° ± 5° azimuth.
- The pulsed plasma actuation can effectively enhance the power of the vertical-axis wind turbine, and the actuation at 60° to 120° azimuth is optimal.
Author Contributions
Funding
Conflicts of Interest
References
- Kantrowitz, A.R. A survey of physical phenomena occurring in flight at extreme speeds. In Proceedings of the Conference on High-Speed Aeronautics, New York, NY, USA, 20–22 January 1955; Volume 1955, pp. 335–339. [Google Scholar]
- Roth, J.R.; Sherman, D.M.; Wilkinson, S.P. Boundary Layer Flow Control with a One Atmosphere Uniform Glow Discharge Surface Plasma; American Institute of Aeronautics and Astronautics: Reston, VA, USA, 1998. [Google Scholar]
- Post, M.L.; Corke, T. Separation control using plasma actuators: Dynamic stall vortex control on oscillating airfoil. AIAA J. 2006, 44, 3125–3135. [Google Scholar] [CrossRef]
- Liu, Y.; Kolbakir, C.; Hu, H.; Meng, X.; Hu, H. An experimental study on the thermal effects of duty-cycled plasma actuation pertinent to aircraft icing mitigation. Int. J. Heat Mass Transf. 2019, 136, 864–876. [Google Scholar] [CrossRef]
- McCroskey, W. The Phenomenon of Dynamic Stall; NASA TM-81264; National Aeronuatics and Space Administration Moffett Field Ca Ames Research Center: Mountain View, CA, USA, 1981.
- Araya, D.B.; Dabiri, J.O. Vertical axis wind turbine in a falling soap film. Phys. Fluids 2015, 27, 091108. [Google Scholar] [CrossRef]
- Liu, Q.; Miao, W.; Li, C. Effects of trailing-edge movable flap on aerodynamic performance and noise characteristics of VAWT. Energy 2019, 192, 58–79. [Google Scholar]
- Liu, Q.; Hao, W.; Li, C.; Miao, W.; Ding, Q. Numerical Simulation on the Forced Oscillation of Rigid Riser with Helical Strakes in Different Section Shapes. Ocean Eng. 2019, 191, 106439. [Google Scholar] [CrossRef]
- Zhu, H.; Hao, W.; Li, C. Numerical investigation on the effects of different wind directions, solidity, airfoils and building configurations on the aerodynamic performance of building augmented vertical axis wind turbines. Int. J. Green Energy 2019, 16, 1216–1230. [Google Scholar]
- Miao, W.; Li, C.; Wang, Y.; Xiang, B.; Liu, Q.; Deng, Y. Study of Adaptive Blades in Extreme Environment using Fluid-Structure Interaction Method. J. Fluids Struct. 2019, 91, 102734. [Google Scholar] [CrossRef]
- Zhu, C.; Wang, T. Comparative Study of Dynamic Stall under Pitch Oscillation and Oscillating Freestream on Wind Turbine Airfoil and Blade. Appl. Sci. 2018, 8, 1242. [Google Scholar] [CrossRef]
- Yanzhao, Y.; Guo, Z.; Zhang, Y.; Jinyama, H.; Li, Q. Numerical Investigation of the Tip Vortex of a Straight-Bladed Vertical Axis Wind Turbine with Double-Blades. Energies 2017, 10, 1721. [Google Scholar]
- Qian, C.; Liu, X.; Ji, H.S.; Kim, K.C.; Yang, B. Aerodynamic Analysis of a Helical Vertical Axis Wind Turbine. Energies 2017, 10, 575. [Google Scholar]
- Sato, S.; Yokoyama, H.; Iida, A. Control of Flow around an Oscillating Plate for Lift Enhancement by Plasma Actuators. Appl. Sci. 2019, 9, 776. [Google Scholar] [CrossRef]
- Phan, M.K.; Shin, J. Numerical investigation of aerodynamic flow actuation produced by surface plasma actuator on 2D oscillating airfoil. Chin. J. Aeronaut. 2016, 29, 882–892. [Google Scholar] [CrossRef]
- Greenblatt, D.; Lautman, R. Inboard/outboard plasma actuation on a vertical-axis wind turbine. Renew. Energy 2015, 83, 1147–1156. [Google Scholar] [CrossRef]
- Benharav, A.; Greenblatt, D. Plasma-based feed-forward dynamic stall control on a vertical axis wind turbine. Wind Energy 2016, 19, 3–16. [Google Scholar] [CrossRef]
- Fujisawa, N.; Shibuya, S. Observations of dynamic stall on Darrieus wind turbine blades. J. Wind Eng. Ind. Aerodyn. 2001, 89, 201–214. [Google Scholar] [CrossRef]
- Wang, X.D.; Ye, Z.; Kang, S.; Hu, H. Investigations on unsteady aerodynamic characteristics of a horizontal-axis wind turbine during dynamic yaw process. Energies 2019, 12, 3124. [Google Scholar] [CrossRef]
- Buchner, A.J.; Soria, J.; Honnery, D.; Smits, A.J. Dynamic stall in vertical axis wind turbines: Scaling and topological considerations. J. Fluid Mech. 2018, 841, 746–766. [Google Scholar] [CrossRef]
- Christian, M.; Christophe, L.; Ion, P. Appropriate Dynamic-Stall Models for Performance Predictions of VAWTs with NLF Blades. Int. J. Rotating Mach. 1998, 4, 129–139. [Google Scholar]
- Zuo, W.; Wang, X.; Kang, S. Numerical simulations on the wake effect of H-type vertical axis wind turbines. Energy 2016, 106, 691–700. [Google Scholar] [CrossRef]
- Buchner, A.J.; Soria, J.; Honnery, D.; Smits, A.J. Dynamic stall in vertical axis wind turbines: Comparing experiments and computations. J. Wind Eng. Ind. Aerodyn. 2015, 146, 163–171. [Google Scholar] [CrossRef]
- Shyy, W.; Jayaraman, B.; Andersson, A. Modeling of glow discharge-induced fluid dynamics. J. Appl. Phys. 2002, 92, 6434–6443. [Google Scholar] [CrossRef]
- Massines, F.; Rabehi, A.; Decomps, P.; Ben Gadri, R.; Ségur, P.; Mayoux, C. Experimental and theoretical study of a glow discharge at atmospheric pressure controlled by dielectric barrier. J. Appl. Phys. 1998, 83, 2950–2957. [Google Scholar] [CrossRef]
- Suzen, Y.B.; Huang, G.; Jacob, J.; Ashpis, D. Numerical simulations of plasma based flow control applications. AIAA Pap. 2005, 4633, 2005. [Google Scholar]
- Abdollahzadeh, M.; Páscoa, J.; Oliveira, P.J.; Abdollahzadehsangroudi, M.; Páscoa, J. Modified split-potential model for modeling the effect of DBD plasma actuators in high altitude flow control. Curr. Appl. Phys. 2014, 14, 1160–1170. [Google Scholar] [CrossRef]
- Abdollahzadeh, M.; Pascoa, J.; Oliveira, P.J.; Abdollahzadehsangroudi, M.; Páscoa, J. Implementation of the classical plasma-fluid model for simulation of dielectric barrier discharge (DBD) actuators in OpenFOAM. Comput. Fluids 2016, 128, 77–90. [Google Scholar] [CrossRef]
- Abdollahzadeh, M.; Pascoa, J.C.; Oliveira, P.J. Comparison of DBD plasma actuators flow control authority in different modes of actuation. Aerosp. Sci. Technol. 2018, 78, 183–196. [Google Scholar] [CrossRef]
- Ma, L.; Wang, X.; Zhu, J.; Kang, S. Effect of DBD plasma actuation characteristics on turbulent separation over a hump model. Plasma Sci. Technol. 2018, 20, 139–149. [Google Scholar] [CrossRef]
- Ebrahimi, A.; Hajipour, M. Flow separation control over an airfoil using dual actuation of DBD plasma actuators. Aerosp. Sci. Technol. 2018, 79, 658–668. [Google Scholar] [CrossRef]
- Howell, R.; Qin, N.; Edwards, J.; Durrani, N. Wind tunnel and numerical study of a small vertical axis wind turbine. Renew. Energy 2010, 35, 412–422. [Google Scholar] [CrossRef]
- Maden, I.; Maduta, R.; Kriegseis, J.; Jakirlić, S.; Schwarz, C.; Grundmann, S.; Tropea, C. Experimental and computational study of the flow induced by a plasma actuator. Int. J. Heat Fluid Flow 2013, 41, 80–89. [Google Scholar] [CrossRef]
- Jayaraman, B.; Thakur, S.; Shyy, W. Modeling of fluid dynamics and heat transfer induced by dielectric barrier plasma actuator. J. Heat Transf.-Trans. ASME 2007, 129, 517–525. [Google Scholar] [CrossRef]
- Jayaraman, B.; Shyy, W. Modeling of dielectric barrier discharge-induced fluid dynamics and heat transfer. Prog. Aerosp. Sci. 2008, 44, 139–191. [Google Scholar] [CrossRef]
- Ostos, I.; Ruiz, I.; Gajic, M.; Gómez, W.; Bonilla, A.; Collazos, C. A modified novel blade configuration proposal for a more efficient VAWT using CFD tools. Energy Convers. Manag. 2019, 180, 733–746. [Google Scholar] [CrossRef]
- Bai, H.; Chan, C.; Zhu, X.; Li, K. A numerical study on the performance of a Savonius-type vertical-axis wind turbine in a confined long channel. Renew. Energy 2019, 139, 102–109. [Google Scholar] [CrossRef]
- Sagharichi, A.; Zamani, M.; Ghasemi, A. Effect of solidity on the performance of variable-pitch vertical axis wind turbine. Energy 2018, 161, 753–775. [Google Scholar] [CrossRef]
- Wong, K.H.; Chong, W.T.; Poh, S.C.; Shiah, Y.-C.; Sukiman, N.L.; Wang, C.-T. 3D CFD simulation and parametric study of a flat plate deflector for vertical axis wind turbine. Renew. Energy 2018, 129, 32–55. [Google Scholar] [CrossRef]
- Qin, N.; Howell, R.; Durrani, N.; Hamada, K.; Smith, T. Unsteady flow simulation and dynamic stall behaviour of vertical axis wind turbine blades. Wind Eng. 2011, 35, 511–527. [Google Scholar] [CrossRef]
- Danao, L.A.; Qin, N.; Howell, R. A numerical study of blade thickness and camber effects on vertical axis wind turbines. Proc. Inst. Mech. Eng. Part A 2012, 226, 867–881. [Google Scholar] [CrossRef]
- Stalnov, O.; Kribus, A.; Seifert, A. Evaluation of active flow control applied to wind turbine blade section. J. Renew. Sustain. Energy 2010, 2, 063101. [Google Scholar] [CrossRef]
- Corke, T.; Post, M.L.; Orlov, D.M. Single-dielectric barrier discharge plasma enhanced aerodynamics: Concepts, optimization, and applications. J. Propuls. Power 2008, 24, 935–945. [Google Scholar] [CrossRef]























| Parameter Settings | λ | Actuator Position | Dtc | f/Hz | Actuation Interval |
|---|---|---|---|---|---|
| Scheme 1 | 1~3 | - | - | - | - |
| Scheme 2 | 2.15 | 5 different positions | 0.2 | 383 | - |
| Scheme 3 | 2.15 | 0.3c | 0.2 | 383 | 10 different actuation intervals |
| Position of the Plasma Actuator | Cp |
|---|---|
| Baseline | 0.261 |
| 5% c | 0.324 |
| 30% c | 0.358 |
| 50% c | 0.355 |
| 70% c | 0.315 |
| 90% c | 0.262 |
| Strategy | Actuation Azimuth Interval | Strategy | Actuation Azimuth Interval |
|---|---|---|---|
| Case 1 | No control | Case 6 | 70° to 150° |
| Case 2 | Global control | Case 7 | 60° to 150° |
| Case 3 | 90° to 160° | Case 8 | 60° to 130° |
| Case 4 | 90° to 150° | Case 9 | 60° to 120° |
| Case 5 | 80° to 150° | Case 10 | 50° to 110° |
| Strategy | Cp | AFM | Strategy | Cp | AFM |
|---|---|---|---|---|---|
| Case 1 | 0.261 | - | Case 6 | 0.331 | 1.033 |
| Case 2 | 0.358 | 0.304 | Case 7 | 0.343 | 1.048 |
| Case 3 | 0.296 | 0.928 | Case 8 | 0.331 | 1.062 |
| Case 4 | 0.299 | 0.968 | Case 9 | 0.326 | 1.072 |
| Case 5 | 0.310 | 0.982 | Case 10 | 0.322 | 1.056 |
© 2019 by the authors. Licensee MDPI, Basel, Switzerland. This article is an open access article distributed under the terms and conditions of the Creative Commons Attribution (CC BY) license (http://creativecommons.org/licenses/by/4.0/).
Share and Cite
Ma, L.; Wang, X.; Zhu, J.; Kang, S. Dynamic Stall of a Vertical-Axis Wind Turbine and Its Control Using Plasma Actuation. Energies 2019, 12, 3738. https://doi.org/10.3390/en12193738
Ma L, Wang X, Zhu J, Kang S. Dynamic Stall of a Vertical-Axis Wind Turbine and Its Control Using Plasma Actuation. Energies. 2019; 12(19):3738. https://doi.org/10.3390/en12193738
Chicago/Turabian StyleMa, Lu, Xiaodong Wang, Jian Zhu, and Shun Kang. 2019. "Dynamic Stall of a Vertical-Axis Wind Turbine and Its Control Using Plasma Actuation" Energies 12, no. 19: 3738. https://doi.org/10.3390/en12193738
APA StyleMa, L., Wang, X., Zhu, J., & Kang, S. (2019). Dynamic Stall of a Vertical-Axis Wind Turbine and Its Control Using Plasma Actuation. Energies, 12(19), 3738. https://doi.org/10.3390/en12193738

