Effect of Particle Sizes on the Physical and Mechanical Properties of Briquettes
Abstract
:1. Introduction
2. Experimental Work
2.1. The Grouping Basis of Briquette Specimens with Different Particle Sizes
2.2. Briquette Specimen Preparation
2.3. Experimental Instrument and Measurement
3. Results
3.1. Effect of Particle Size on Briquette Density
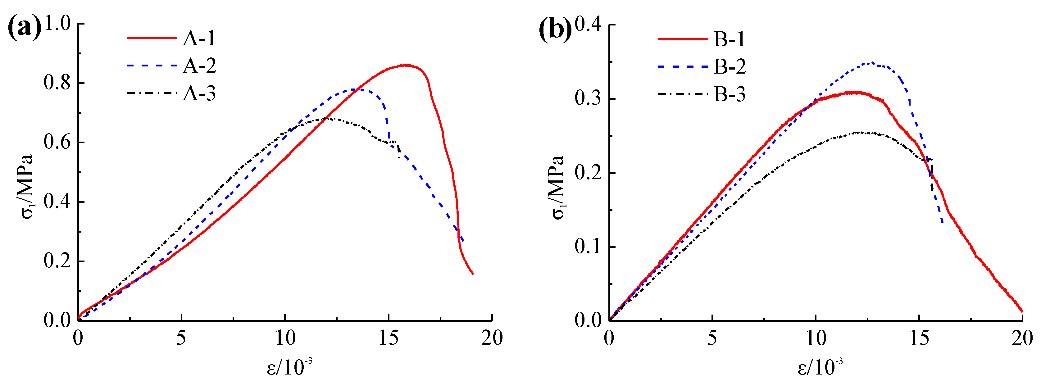
3.2. Effect of Particle Sizes on the Uniaxial Compression Test Results
3.2.1. Deformation Characteristics
3.2.2. Failure Morphology
3.3. Effect of Particle Size on the Triaxial Compression Test Results
3.3.1. Deformation Characteristics
3.3.2. Strength Characteristics
4. Discussion
5. Conclusions
Author Contributions
Acknowledgments
Conflicts of Interest
References
- Cheng, Y.P.; Wang, L.; Zhang, X.L. Environmental impact of coal mine methane emissions and responding strategies in China. Int. J. Greenh. Gas Con. 2011, 5, 157–166. [Google Scholar] [CrossRef]
- Wang, L.; Cheng, Y.P.; Wang, L.; Guo, P.K.; Li, W. Safety line method for the prediction of deep coal-seam gas pressure and its application in coal mines. Saf. Sci. 2011, 50, 523–529. [Google Scholar] [CrossRef]
- Hodot, B.B. Outburst of Coal and Coalbed Gas (Chinese Translation); China Industry Press: Beijing, China, 1966. [Google Scholar]
- Shepherd, J.; Rixon, L.K.; Griffiths, L. Outbursts and geological structures in coal mines: A review. Int. J. Rock Mech. Min. Sci. Geomech. Abstr. 1981, 18, 267–283. [Google Scholar] [CrossRef]
- Singh, J.G. A mechanism of outbursts of coal and gas. Min. Sci. Technol. 1984, 1, 269–273. [Google Scholar] [CrossRef]
- Beamish, B.B.; Crosdale, P.J. Instantaneous outbursts in underground coal mines: An overview and association with coal type. Int. J. Coal Geol. 1998, 35, 27–55. [Google Scholar] [CrossRef]
- Beamish, B.B. Continuous gas monitoring for the assessment of outburst-proneness at a mining face. Int. J. Min. Geol. Eng. 1990, 8, 131–147. [Google Scholar] [CrossRef]
- Wierzbicki, M.; Skoczylas, N. The outburst risk as a function of the methane capacity and firmness of a coal seam. Arch. Min. Sci. 2014, 59, 1023–1031. [Google Scholar] [CrossRef]
- Jian, K.; Lei, D.J.; Fu, X.H.; Zhang, Y.G.; Li, H.L. Effect of an electrostatic field on gas adsorption and diffusion in tectonic coal. Int. J. Min. Sci. Technol. 2015, 25, 607–613. [Google Scholar] [CrossRef]
- Sachsenhofer, R.F.; Privalov, V.A.; Panova, E.A. Basin evolution and coal geology of the Donets Basin (Ukraine, Russia): An overview. Int. J. Coal Geol. 2012, 89, 26–40. [Google Scholar] [CrossRef]
- Yuan, L. Key technology for modern mining in Huainan coal area. J. China Coal Soc. 2007, 32, 8–12. [Google Scholar]
- Cao, Y.X.; Davis, A.; Liu, R.X.; Liu, X.W.; Zhang, Y.G. The influence of tectonic deformation on some geochemical properties of coals a possible indicator of outburst potential. Int. J. Coal Geol. 2003, 53, 69–79. [Google Scholar] [CrossRef]
- Li, H.Y. Major and minor structural features of a bedding shear zone along a coal seam and related gas outburst, Pingdingshan coalfield, Northern China. Int. J. Coal Geol. 2001, 47, 101–113. [Google Scholar] [CrossRef]
- Li, H.Y.; Ogawa, Y.; Shimada, S. Mechanism of methane flow through sheared coals and its role on methane recovery. Fuel 2003, 82, 1271–1279. [Google Scholar] [CrossRef]
- Gamson, P.D.; Beamish, B.B.; Johnson, D.P. Coal microstructure and micropermeability and their effects on natural gas recovery. Fuel 1993, 72, 87–99. [Google Scholar] [CrossRef]
- Sobczyk, J. The influence of sorption processes on gas stresses leading to the coal and gas outburst in the laboratory conditions. Fuel 2011, 90, 1018–1023. [Google Scholar] [CrossRef]
- Sobczyk, J. A comparison of the influence of adsorbed gases on gas stresses leading to coal and gas outburst. Fuel 2014, 115, 288–294. [Google Scholar] [CrossRef]
- Wang, C.J.; Yang, S.Q.; Yang, D.D.; Li, X.W.; Jiang, C.L. Experimental analysis of the intensity and evolution of coal and gas outbursts. Fuel 2018, 226, 252–262. [Google Scholar] [CrossRef]
- Nie, B.S.; Ma, Y.K.; Meng, J.Q.; Hu, S.T. Middle scale simulation system of coal and gas outburst. Chin. J. Rock Mech. Eng. 2018, 37, 1218–1225. [Google Scholar]
- Ding, Y.L.; Yue, Z.Q. An experimental investigation of the roles of water content and gas decompression rate for outburst in coal briquettes. Fuel 2018, 234, 1221–1228. [Google Scholar] [CrossRef]
- Cao, S.G.; Li, Y.; Guo, P.; Bai, Y.J.; Liu, Y.B. Comparative research on permeability characteristics in complete stress-strain process of briquettes and coal samples. Chin. J. Rock Mech. Eng. 2010, 29, 899–906. [Google Scholar]
- Yin, G.Z.; Wang, D.K.; Zhang, D.M.; Wang, W.Z. Test analysis of deformation characteristics and compressive strengths of two types of coal specimens containing gas. Chin. J. Rock Mech. Eng. 2009, 28, 410–417. [Google Scholar]
- Skoczylas, N.; Dutka, B.; Sobczyk, J. Mechanical and gaseous properties of coal briquettes in terms of outburst risk. Fuel 2014, 134, 45–52. [Google Scholar] [CrossRef]
- Yin, G.Z.; Jiang, C.B.; Li, X.Q.; Wang, W.Z.; Cai, B. An experimental study of gas permeabilities of outburst and nonoutburst coals under complete stress-strain process. Rock Soil Mech. 2011, 32, 1613–1619. [Google Scholar]
- Xu, J.; Liu, D.; Peng, S.J.; Wu, X.; Lu, Q. Experimental research on influence of particle diameter on coal and gas outburst. Chin. J. Rock Mech. Eng. 2010, 29, 1231–1237. [Google Scholar]
- Xu, J.; Ye, G.B.; Li, B.B.; Cao, J.; Zhang, M. Experimental study of mechanical and permeability characteristics of moulded coals with different binder ratios. Rock Soil Mech. 2015, 36, 104–110. [Google Scholar]
- Wang, K.; Wang, L.; Du, F.; Zhang, X.; Lou, Z.; Xin, C.P.; Cui, X.Y. Influence of coal powder particle sizes on dynamic characteristics of coal and gas outburst. J. China Coal Soc. 2019, 44, 1369–1377. [Google Scholar]
- Yang, X.P. Physical Mineral Processing; Metallurgical Industry Press: Beijing, China, 2014. [Google Scholar]
- Zhang, C.H.; Zhang, N.; Pan, D.J.; Qian, D.Y.; An, Y.P.; Yuan, Y.X.; Xiang, Z.; Wang, Y. Experimental Study on Sensitivity of Porosity to Pressure and Particle Size in Loose Coal Media. Energies 2018, 11, 2274. [Google Scholar] [CrossRef]
- You, M.Q. Effect of confining pressure on the Young’s modulus of rock specimen. Chin. J. Rock Mech. Eng. 2003, 22, 53–60. [Google Scholar]
- Su, C.D.; Guo, W.B.; Li, X.S. Experimental research on mechanical prosperities of coarse sandstone after high temperatures. Chin. J. Rock Mech. Eng. 2008, 27, 162–170. [Google Scholar]
- Liu, X.S.; Tan, Y.L.; Ning, J.G.; Lu, Y.W.; Gu, Q.H. Mechanical properties and damage constitutive model of coal in coal-rock combined body. Int. J. Rock Mech. Min. 2018, 110, 140–150. [Google Scholar] [CrossRef]
- Nasseri, M.H.B.; Rao, K.S.; Ramamurthy, T. Anisotropic strength and deformational behavior of Himalayan schists. Int. J. Rock Mech. Min. 2003, 40, 3–23. [Google Scholar] [CrossRef]
- Evans, I.; Pomeroy, C. The Strength of Cubes of Coal in Uniaxial Compression, Mechanical Properties of Non-Mettalic Brittle Materials; Butterworths Scientific Publications: London, UK, 1958. [Google Scholar]
- Potyondy, D.O.; Cundall, P.A. A bonded-particle model for rock. Int. J. Rock Mech. Min. 2004, 41, 1329–1364. [Google Scholar] [CrossRef]


















| Particle Size (mm) | >50 | 25–50 | 13–25 | 6–13 | 3–6 | 0.5–3 | <0.5 |
|---|---|---|---|---|---|---|---|
| Weight (kg) | 194.41 | 343.62 | 746.93 | 847.12 | 1706.52 | 2983.01 | 3178.92 |
| Proportion (%) | 1.94 | 3.42 | 7.44 | 8.44 | 17.01 | 29.3 | 31.68 |
| No. | Group A | Group B | Group C | Group D |
|---|---|---|---|---|
| 1 | 1322.20 | 1251.60 | 1177.35 | 1108.88 |
| 2 | 1326.04 | 1224.75 | 1172.90 | 1159.19 |
| 3 | 1261.27 | 1263.44 | 1175.54 | 1157.19 |
| 4 | 1261.36 | 1226.50 | 1181.57 | 1167.38 |
| 5 | 1210.10 | 1240.75 | 1180.20 | 1184.26 |
| 6 | 1274.34 | 1234.53 | 1174.73 | 1155.40 |
| 7 | 1218.36 | 1241.75 | 1174.04 | 1156.76 |
| 8 | 1239.78 | 1261.75 | 1175.43 | 1157.85 |
| 9 | 1217.14 | 1235.10 | 1221.93 | 1160.11 |
| 10 | 1355.11 | 1194.79 | 1173.48 | 1162.26 |
| 11 | 1304.74 | 1226.84 | 1182.29 | 1169.74 |
| 12 | 1246.63 | 1237.41 | 1186.04 | 1165.89 |
| 13 | 1337.97 | 1233.35 | 1185.76 | 1172.64 |
| 1275.00 | 1236.35 | 1181.64 | 1159.81 |
| Group | No. | RC/MPa | ET/MPa | E50/MPa |
|---|---|---|---|---|
| A | A-1 | 0.86 | 63 | 52 |
| A-2 | 0.78 | 70 | 57 | |
| A-3 | 0.69 | 66 | 62 | |
| Mean | 0.77 | 66.33 | 57.00 | |
| Coefficient of variation | 0.11 | 0.05 | 0.09 | |
| B | B-1 | 0.31 | 32 | 32 |
| B-2 | 0.35 | 30 | 30 | |
| B-3 | 0.26 | 26 | 26 | |
| Mean | 0.31 | 29.33 | 29.33 | |
| Coefficient of variation | 0.15 | 0.10 | 0.10 | |
| C | C-1 | 1.05 | 56 | 47 |
| C-2 | 1.01 | 54 | 43 | |
| C-3 | 1.00 | 54 | 45 | |
| Mean | 1.02 | 54.67 | 45.00 | |
| Coefficient of variation | 0.03 | 0.02 | 0.04 | |
| D | D-1 | 1.57 | 79 | 62 |
| D-2 | 1.57 | 79 | 64 | |
| D-3 | 1.90 | 127 | 96 | |
| Mean | 1.68 | 95.00 | 74.00 | |
| Coefficient of variation | 0.11 | 0.29 | 0.26 |
| Group | No. | σ3/MPa | σ3-1/Mpa | σ1/MPa | ET/GPa | ε0/10−3 | ε1/10−3 |
|---|---|---|---|---|---|---|---|
| A | A-4 | 0.20 | 0.23 | 2.85 | 0.13 | 44.25 | 26.72 |
| A-5 | 0.40 | 0.37 | 3.67 | 0.17 | 31.11 | 9.31 | |
| A-6 | 0.60 | 0.58 | 5.28 | 0.23 | 29.17 | 11.67 | |
| A-7 | 0.80 | 0.78 | 6.01 | 0.24 | 51.20 | 29.85 | |
| A-8 | 1.00 | 1.01 | 7.92 | 0.35 | 32.80 | 12.01 | |
| B | B-4 | 0.20 | 0.17 | 2.04 | 0.10 | 39.39 | 22.54 |
| B-5 | 0.40 | 0.42 | 3.49 | 0.13 | 40.95 | 18.86 | |
| B-6 | 0.60 | 0.61 | 4.95 | 0.19 | 38.83 | 15.98 | |
| B-7 | 1.00 | 0.98 | 6.61 | 0.29 | 51.01 | 35.79 | |
| C | C-4 | 0.20 | 0.22 | 3.36 | 0.10 | 37.99 | 12.09 |
| C-5 | 0.40 | 0.38 | 4.61 | 0.14 | 40.32 | 11.13 | |
| C-6 | 0.60 | 0.58 | 6.23 | 0.18 | 46.97 | 15.65 | |
| C-7 | 0.80 | 0.78 | 7.61 | 0.21 | 47.81 | 14.74 | |
| C-8 | 1.00 | 0.98 | 8.76 | 0.24 | 47.85 | 15.22 | |
| D | D-4 | 0.20 | 0.17 | 4.06 | 0.15 | 31.41 | 9.34 |
| D-5 | 0.40 | 0.38 | 5.68 | 0.16 | 47.60 | 15.46 | |
| D-6 | 0.60 | 0.58 | 6.81 | 0.20 | 41.80 | 12.56 | |
| D-7 | 0.80 | 0.78 | 8.55 | 0.31 | 31.62 | 9.53 | |
| D-8 | 1.00 | 1.01 | 10.14 | 0.25 | 52.62 | 17.11 |
| Group | K | Q | R2 (Correlation Coefficient) |
|---|---|---|---|
| A | 6.35 | 1.38 | 0.972 |
| B | 5.71 | 1.16 | 0.965 |
| C | 7.18 | 1.90 | 0.994 |
| D | 7.23 | 2.83 | 0.996 |
| Group | c/MPa | Variation of c Based on Group A/% | φ/(°) | Variation of φ Based on Group A/% |
|---|---|---|---|---|
| A | 0.13 | N/A | 46.71 | N/A |
| B | 0.12 | −7.79 | 44.58 | −4.56 |
| C | 0.15 | 15.38 | 49.07 | 5.05 |
| D | 0.22 | 69.23 | 49.20 | 5.33 |
© 2019 by the authors. Licensee MDPI, Basel, Switzerland. This article is an open access article distributed under the terms and conditions of the Creative Commons Attribution (CC BY) license (http://creativecommons.org/licenses/by/4.0/).
Share and Cite
Pang, L.; Yang, Y.; Wu, L.; Wang, F.; Meng, H. Effect of Particle Sizes on the Physical and Mechanical Properties of Briquettes. Energies 2019, 12, 3618. https://doi.org/10.3390/en12193618
Pang L, Yang Y, Wu L, Wang F, Meng H. Effect of Particle Sizes on the Physical and Mechanical Properties of Briquettes. Energies. 2019; 12(19):3618. https://doi.org/10.3390/en12193618
Chicago/Turabian StylePang, Longlong, Yuzhong Yang, Liyun Wu, Fei Wang, and Han Meng. 2019. "Effect of Particle Sizes on the Physical and Mechanical Properties of Briquettes" Energies 12, no. 19: 3618. https://doi.org/10.3390/en12193618
APA StylePang, L., Yang, Y., Wu, L., Wang, F., & Meng, H. (2019). Effect of Particle Sizes on the Physical and Mechanical Properties of Briquettes. Energies, 12(19), 3618. https://doi.org/10.3390/en12193618
