Next Article in Journal
Effect of Particle Sizes on the Physical and Mechanical Properties of Briquettes
Previous Article in Journal
Energiewende @ Risk: On the Continuation of Renewable Power Generation at the End of Public Policy Support
 
 
Font Type:
Arial Georgia Verdana
Font Size:
Aa Aa Aa
Line Spacing:
Column Width:
Background:
Article

Active and Reactive Power Joint Balancing for Analyzing Short-Term Voltage Instability Caused by Induction Motor

1
State Grid Hunan Electric Power Company Limited Research Institute, Changsha 410007, China
2
State Key Laboratory of Advanced Electromagnetic Engineering Technology, Huazhong University of Science and Technology, Wuhan 430074, China
*
Author to whom correspondence should be addressed.
Energies 2019, 12(19), 3617; https://doi.org/10.3390/en12193617
Submission received: 12 July 2019 / Revised: 1 September 2019 / Accepted: 17 September 2019 / Published: 23 September 2019

Abstract

Short-term voltage instability has a sensational effect once it occurs with massive loss of load, possibly area instability, and voltage collapse. This paper analyzes the short-term voltage instability caused by induction motor from the viewpoint of active and reactive power joint balancing. The analysis method is based on (1) the reactive power balancing between system supply and induction motor demand, and (2) the active power balancing between air-gap power and mechanical power, which is expressed by the region of rotor acceleration and deceleration in the Q-V plane. With the region of rotor acceleration and deceleration in the Q-V plane and the reactive power balancing, the movement direction of the operating point can be visually observed in the Q-V plane, thereby achieving a clear comprehension of physical properties behind the short-term voltage instability phenomenon. Furthermore, the instability mechanisms of two kinds of grid-connected induction motor operation conditions after a large disturbance are discussed to explain the basic theory of the analysis method and to provide examples of its application. Time-domain simulations are presented for a single-load infinite-bus system to validate the analyses.

Graphical Abstract

1. Introduction

Short–term voltage instability is caused by fast-acting load components that tend to restore power consumption in the order of several seconds after a voltage drop induced by a contingency [1]. Induction motor (IM) is one of typical such components [2,3]. To drive a constant mechanical power, the active power of an induction motor restores after a voltage drop. If the disturbance is such that the electrical power cannot overcome the mechanical load, the motor stalls, and thus gives rise to a further voltage drop and even a voltage collapse.
For the problem of short-term voltage instability, researchers have studied its essence from different levels and have drawn some important conclusions. In [4], the authors explain the large-disturbance voltage instability using the Q-V curves, which present the network characteristics of the system to the load bus and generic dynamic load characteristics during the transient period. The basic theory in [4] is such that reactive power balancing between the network and load is the essence that drives the states. In [5], a conceptual understanding of the issues involved in the voltage stability for fast response loads has been provided through the use of “transient” system P-V curves. The author considers voltage instability can be attributed to the fact that the most stringent load is automatically adjusted to maintain a constant active power characteristic. Thus, active power balancing driving states are employed. Furthermore, using the “transient” system P-V curves, [6] investigates the actions of control mechanisms that are intended to maintain constant voltage at the load supply point, such as load tap changer (LTC), distribution voltage regulators, thereby rendering any load constant power. Motivated by [7], in which the authors propose an analytical method using the transient P-V curves of the targeted load bus, an improved analytical method for short-term voltage stability applying to disperse power generation is proposed [8,9,10]. In these literatures, active power balance affected by voltage determines the motion state of the rotor speed, and thus determines the stability boundary. There are also some references that provide active control methods to control such short-term voltage instability [11,12,13,14,15]. In [11], an improved real-time, short-term voltage stability monitoring method is introduced, and a phase rectification method to eliminate the negative influence of oscillation is proposed. With the large integration of photovoltaic (PV) power generation systems into power systems, reactive power control using the inverters of PV systems is used to improve the short-term voltage stability in power systems [12,13]. In [14,15], researchers respectively apply an emergency-demand response based under speed load shedding scheme and a demand-response-based distributed preventive control to improve short-term voltage stability.
Based on different research perspectives, the conclusions of short-term voltage instability are quite different. In terms of the nature, the above researches are nothing more than studying voltage instability separately from the perspective of active power balancing or reactive power balancing. Actually, the balance of active power and the balance of reactive power are both necessary conditions for stable system operation. Moreover, the active power and the reactive power have mutual coupling effects in the actual system. Thus, whether the voltage is stable or not depends on the system’s active and reactive power balancing. However, to the best knowledge of the authors, very few studies have investigated the short-term voltage instability from the viewpoint of integrated active and reactive power balancing. Consequently, it is of vital importance to study the short-term voltage instability, encompassing active and reactive power balancing to universally explain the physical property behind this phenomenon.
Important insights into the mechanism of short-term voltage instability can be obtained through the use of a simplified model, incorporating only the elements that are dominant in controlling these mechanisms. Therefore, this paper analyzes the short-term voltage stability in a single-IM infinite-bus system. Active power balancing and reactive power balancing are respectively discussed based on this system. Besides, in order to facilitate application, a determination method based on active and reactive power joint balancing is presented to determine the short-term voltage stability. The rest of this paper is structured as follows. Section 2 introduces the reactive power balancing, active power balancing, and a method used for determining the movement direction of operating point. In Section 3, the constant slip curve in the Q-V plane is introduced for transient duration analysis. Section 4 and Section 5 elaborate the physical mechanisms of IM stalling and abnormally low voltage, and discuss the critical clearing voltage in the Q-V plane; relevant simulation studies are carried out to validate the correctness of the analyses. Section 6 summarizes the conclusions.

2. Active and Reactive Power Joint Balancing

This section firstly introduces the reactive power balancing based on a single-IM infinite-bus system. From the viewpoint of active power balancing between mechanical power and air-gap power, this section also shows the acceleration and deceleration region of rotor in the Q-V plane. Finally, the integrated active power and reactive power balancing-based determination method is presented for deciding the movement direction of the operating point.

2.1. Reactive Power Balancing

Consider an infinite bus supplying power to an induction motor load through a long transmission line, shown in Figure 1. The IM steady-state equivalent circuit is shown in Figure 1a. Given an infinite bus and transmission line reactance, the power Pe + jQe supplied by the network in Figure 1 is
P e = U g U t x g sin ( θ u t )
Q e = U g U t cos ( θ u t ) U t 2 x g
Since xm is usually considerably larger than xs, the IM steady-state equivalent circuit shown in Figure 1a can be simplified to the system shown in Figure 1b. Thus the power Pe* + jQe* demanded by the IM can be described by
P e = U t 2 ( x s + x r ) 2 + ( R r s s l i p ) 2 R r s s l i p
Q e = U t 2 ( x s + x r ) 2 + ( R r s s l i p ) 2 ( x s + x r ) + U t 2 x m
Eliminating θut from Equations (1) and (2) gives
Q e = ( U g U t x g ) 2 P e 2 U t 2 x g
Similarly, eliminating sslip from Equations (3) and (4) obtains
Q e = U t 2 ± U t 4 4 ( P e ) 2 ( x s + x r ) 2 2 ( x s + x r ) + U t 2 x m
In Equation (6), the minus sign corresponds to the low slip (high-speed) operating point, while the plus sign corresponds to the high slip (low-speed) operating point.
It can be seen from Equations (5) and (6) that the characteristics of the reactive power with respect to the terminal voltage magnitude Ut on the supply side are completely different from the demand side when transmitting a given active power. Note that Qe represents the reactive power features of the network supply, while Qe* represents the reactive power features of the IM demand. Although Equations (5) and (6) present different reactive power features, the terminal voltage magnitude Ut will be fixed when there is a reactive power balance between the IM demand and network supply.
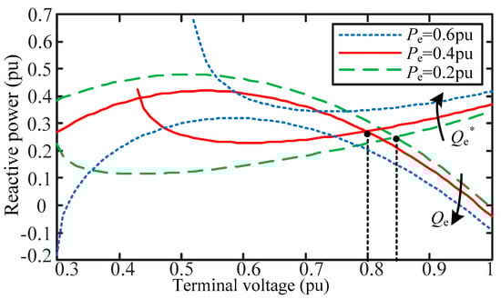
Figure 2 plots Qe and Qe* with respect to terminal voltage magnitude. The system parameters are shown in the Appendix A. As can be seen from the figure, the intersection points of the two kinds of reactive power curves are the operation points, and the right points are the stable operating points. That is, in the neighborhood of the stable operating point, the terminal voltage magnitude decreases when Qe* > Qe and increases when Qe* < Qe. In other words, when the IM-required reactive power is larger than the supplied reactive power, the unbalanced reactive power drives a decrease in terminal voltage magnitude. Conversely, if the IM-required reactive power is smaller than the supplied reactive power, the unbalanced reactive power will increase the terminal voltage magnitude. Therefore, we can determine the dynamic behavior of the terminal voltage magnitude subjected to the unbalanced reactive power.

2.2. Active Power Balancing—the Acceleration and Deceleration Region of Rotor in the Q-V Plane

The rotor motion in IM reflects the balance between mechanical power and air-gap power
P e P m ( ω r ) = 2 H d ω r d t
where Pe* represents the air-gap power that is the numeric equivalent of the IM-demanded active power [16], and Pm* is the mechanical power.
From Equation (7), rotor motion is the result of unbalanced active power. Driven by the unbalanced active power, rotor accelerates when Pm < Pe* and decelerates when Pm > Pe*.
Here, we firstly assume the mechanical power Pm = 0.4 pu. Figure 3 shows this active power balance. Note that constant stator rotating frequency is considered in this paper. Thus, the slip varies according to the rotor speed. In sslip1, as an example, there exists a unique terminal voltage Ut2 at which the remainder of the power is zero. If the grid-connected IM is subjected to a disturbance in the grid side, rotor speed remains constant due to the rotor inertia, while terminal voltage will be abruptly changed. From Figure 3, it is obvious that under the constant point sslip1, the remainder of the power is positive when the operating voltage is larger than Ut2, while the remainder of power is negative when the operating voltage is smaller than Ut2. Thus, driven by the unbalanced power, rotor will accelerate or decelerate.
For the range where sslip varies from 0 to 1, we can calculate the terminal voltage which balances the mechanical power and air-gap power by Equations (3) and (7). The corresponding IM-required reactive power can also be calculated by Equation (6). With the data of IM-required reactive power and terminal voltage, the regions of rotor acceleration and deceleration where Pm is the constant power can be painted in the Q-V plane, shown in Figure 4.
The acceleration and deceleration regions of rotor in Figure 4 can be understood in the following way. Given an operating voltage greater than Ut2, for example Ut3 in Figure 3, it is clear that there are two intersections between air-gap power and mechanical power. When the slip lies between these two intersections, the remainder of power is positive and the rotor motion speeds up. Corresponding to Figure 4, there are also two intersections when the operating voltage is Ut3, and the reactive power between the two intersections corresponds to the positive remainder of power. Therefore, the acceleration and deceleration regions of rotor in the Q-V plane can be judged.
From Figure 4, the red line splits the Q-V plane into the acceleration region of rotor and the deceleration region of rotor. If the operating point is located in the deceleration (acceleration) region of rotor, the remainder of active power is negative (positive) and drives the rotor to decelerate (accelerate). The operating point is stable only when it is located on the red line.
Similarly, the acceleration and deceleration regions of rotor in the Q-V plane where Pm is modeled as a quadratic mechanical power characteristic can also be obtained, which is shown in Figure 5. Equation (8) is the detailed expression of Pm, where P0 = 0.4.
P m = P 0 ( ω r ) 2
With the acceleration and deceleration regions of rotor in the Q-V plane, it is clearly to judge the stability of the operating point and its direction of movement.
Comparing Figure 4 with Figure 5, different forms of mechanical power lead to the different acceleration and deceleration regions of rotor in the Q-V plane. The different regions of rotor acceleration and deceleration reflect the difference in motor operating characteristics, caused by different mechanical power. Besides, it should be noted that the acceleration and deceleration regions of rotor in the Q-V plane reflect the characteristics of the motor itself and are independent of the external grid environment.
With the acceleration and deceleration regions of rotor in Q-V plane, the operating voltage, which is determined by reactive power balance, also needs to be tested in the meantime to check whether its active power is balanced or not. Overall, the balance of active power and reactive power should be co-considered in large-disturbance voltage stability analysis.

2.3. Determination Method Based on Active and Reactive Power Joint Balancing

Based on the Section 2.1 and 2.2, a determination method, which takes the balancing of active and reactive power into consideration separately, is presented in the following
  • Driven by unbalanced reactive power, terminal voltage Ut decreases when Qe* > Qe and increases when Qe* < Qe.
  • Driven by unbalanced active power, rotor accelerates when Pe* > Pm and decelerates when Pe* < Pm.
With the determination method, the movement direction of the operating point in the Q-V plane can be visually determined, and then it is possible to conduct an in-depth investigation into the instability mechanisms.
Two types of grid-connected IM load operating conditions after a disturbance, namely, abnormally low voltage and stalling, will be discussed in the following content. In a practical power system, there is typically low-voltage load-shedding protection installed on IM loads to disconnect the motor if the voltage falls below a given threshold. However, in order to analyze the mechanism behind this instability phenomenon, such low-voltage load-shedding protection will not be considered in this work. Similarly, protection that can avoid IM stalling is also not included in the following analysis.

3. Constant Slip Curve in the Q-V Plane in Transient

When the grid-connected IM is subjected to a disturbance in the grid side, rotor speed remains constant instantaneously due to the rotor inertia. At this moment, the operating point will move along the constant slip (constant rotor speed) curve. Therefore, before the mechanism analysis of stalling and abnormally low voltage, this section will introduce the constant slip (constant rotor speed) curve in the Q-V plane for transient duration analysis.
Given an active power, the reactive power characteristic of IM with respect to terminal voltage can be plotted by Equation (6). Figure 6a shows this characteristic. The sslip_m is obtained by the restriction in Equation (6) that Pe* and Ut should satisfy the following relationship
U t 4 4 ( P e ) 2 ( x s + x r ) 2 0
The solution to Equation (3), under the Constraint (9) = 0, yields
s s l i p _ m = R r ( x r + x s )
Given a slip, the reactive power characteristics of IM with respect to terminal voltage can also be plotted according to Equation (4). This characteristic is shown in Figure 6b.
By integrating the above two figures together, there is Figure 7. It reflects the change of slip on the Q-V characteristic curve. The black curve of sslip = sslip_m in Figure 7 is the boundary line to these Q-V curves. Considering an active power of Pe* = 0.4 pu, with the decrease of terminal voltage, the slip changes from 0 to sslip_m along with the lower part of the Q-V curve. The direction of slip change is indicated by the arrow on the lower part of the curve in Figure 7. Correspondingly, along the upper part of the Q-V curve, the terminal voltage increases and the slip changes from sslip_m to 1. The direction of slip change is also indicated by the arrow on the upper part of the curve in Figure 7.

4. IM Stalling after a Large Disturbance

The process in which the rotor speed of an IM decelerates to a complete stop is referred to as stalling. Since the quadratic mechanical power always intersects the electrical power at a stable operating point, we can assume a constant mechanical power of 0.4 pu in this case. Similar to the work described in [16,17], the mechanisms causing IM stalling for the system shown in Figure 1 have been summarized as ST1 and ST2. However, here we will illustrate these mechanisms from a reactive power balancing standpoint, in terms of the balancing between air-gap power and mechanical power.
Similar to ST1 and ST2, IM stalling can be summarized as: (1) no operating points of intersection between the reactive power demand and supply, and no balance between the mechanical power and air-gap power; and (2) a lack of attraction for the operating points towards stable postfault reactive power equilibrium.
The large disturbance in this paper is set to the infinite voltage falling from 1.0 pu to 0.8 pu. The fault recovery is indicated as the infinite voltage recovering from 0.8 pu to 1.0 pu.
(1) No operating points of intersection between the reactive power demand and supply, and no balance between the mechanical power and air-gap power
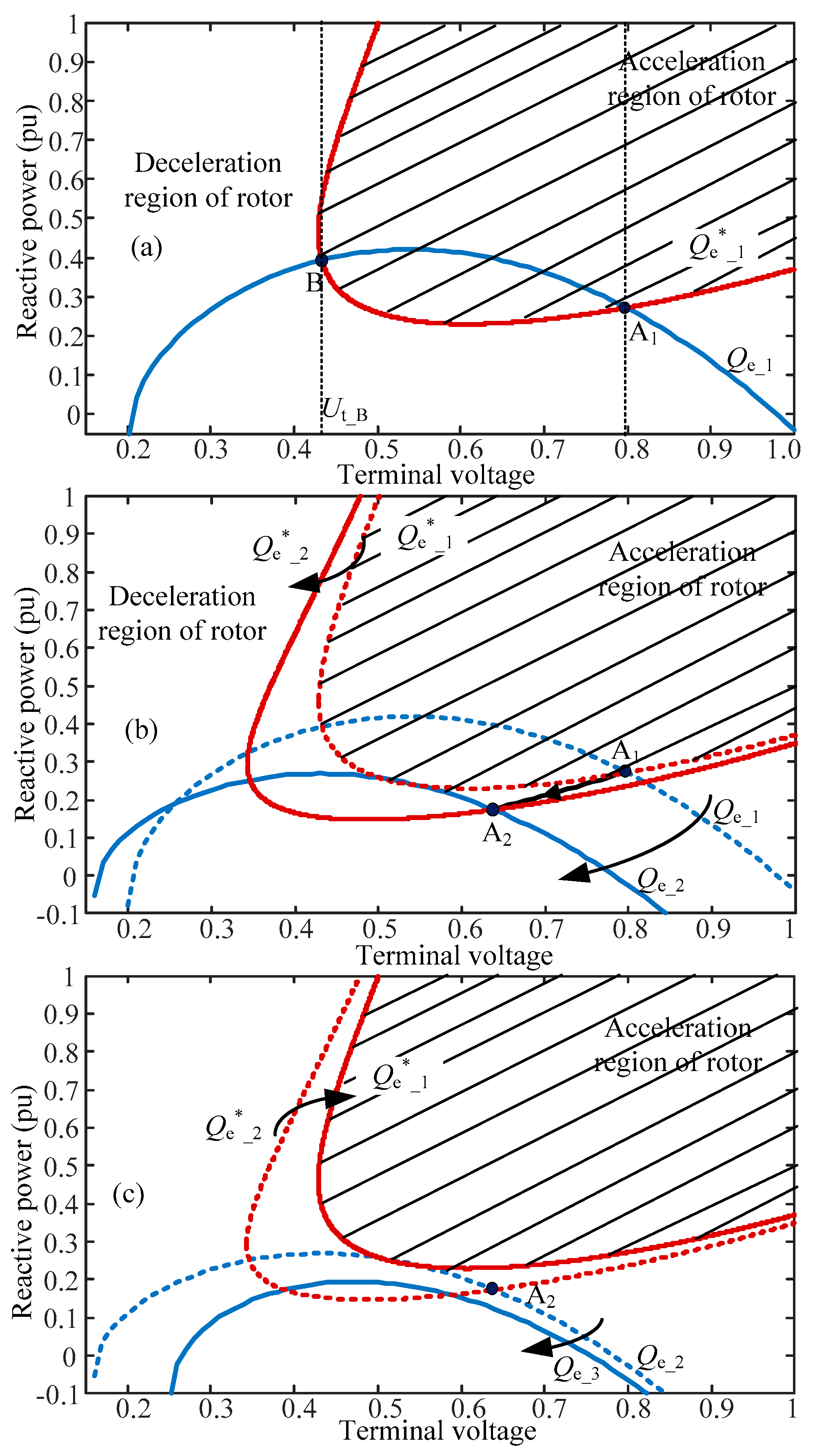
Figure 8 provides the Q-V curves of IM-required and network supply in the normal and disturbance status. The Q-V curves in the normal status represent the Q-V curves before and after disturbance. In Figure 8a, the infinite voltage is 1.0 pu, and there are two intersections (A1 and B) between IM-demanded reactive power Qe*_1 and network-supplied reactive power Qe_1. Obviously, point A1 is a stable operating point, while point B is an unstable operating point.
When the infinite voltage magnitude is greatly disturbed by −0.2 pu, the rotor speed cannot be abrupt due to the rotor inertia. At this moment, the characteristics of the IM are characterized by constant impedance, so the active power, reactive power, and terminal voltage are instantly affected by the disturbed voltage distribution. These are reflected as from Figure 8b that under the distribution of disturbed infinite voltage, the Q-V characteristic of the IM is changed from Qe*_1 to Qe*_2, and the Q-V characteristic of the network is converted from Qe_1 to Qe_2. The stable intersection of these new curves is point A2. In general, the total dynamic process of the moment is that the operating point changes from point A1 to A2 along the curve of constant rotor speed. As shown in Figure 8b, point A2 is located in the region of rotor deceleration, that is, at this voltage, the air-gap power is less than the mechanical power. Driven by the unbalanced active power, the operating point does not stay at point A2 and moves in the direction of decreasing rotor speed.
Under the infinite voltage of 0.8 pu, the system still needs to provide mechanical power with 0.4 pu of active power. Therefore, as shown in Figure 8c, the Q-V characteristic of the network changes from Qe_2 to Qe_3, and the Q-V characteristic required by the motor is recovered upward from Qe*_2 to Qe*_1. Since there is no intersection between the curves Qe_3 and Qe*_1, the terminal voltage magnitude Ut will continuously drop, and then the motor eventually stalls.
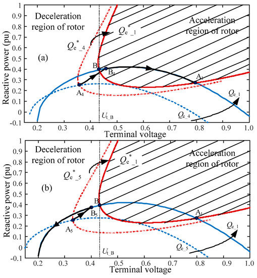
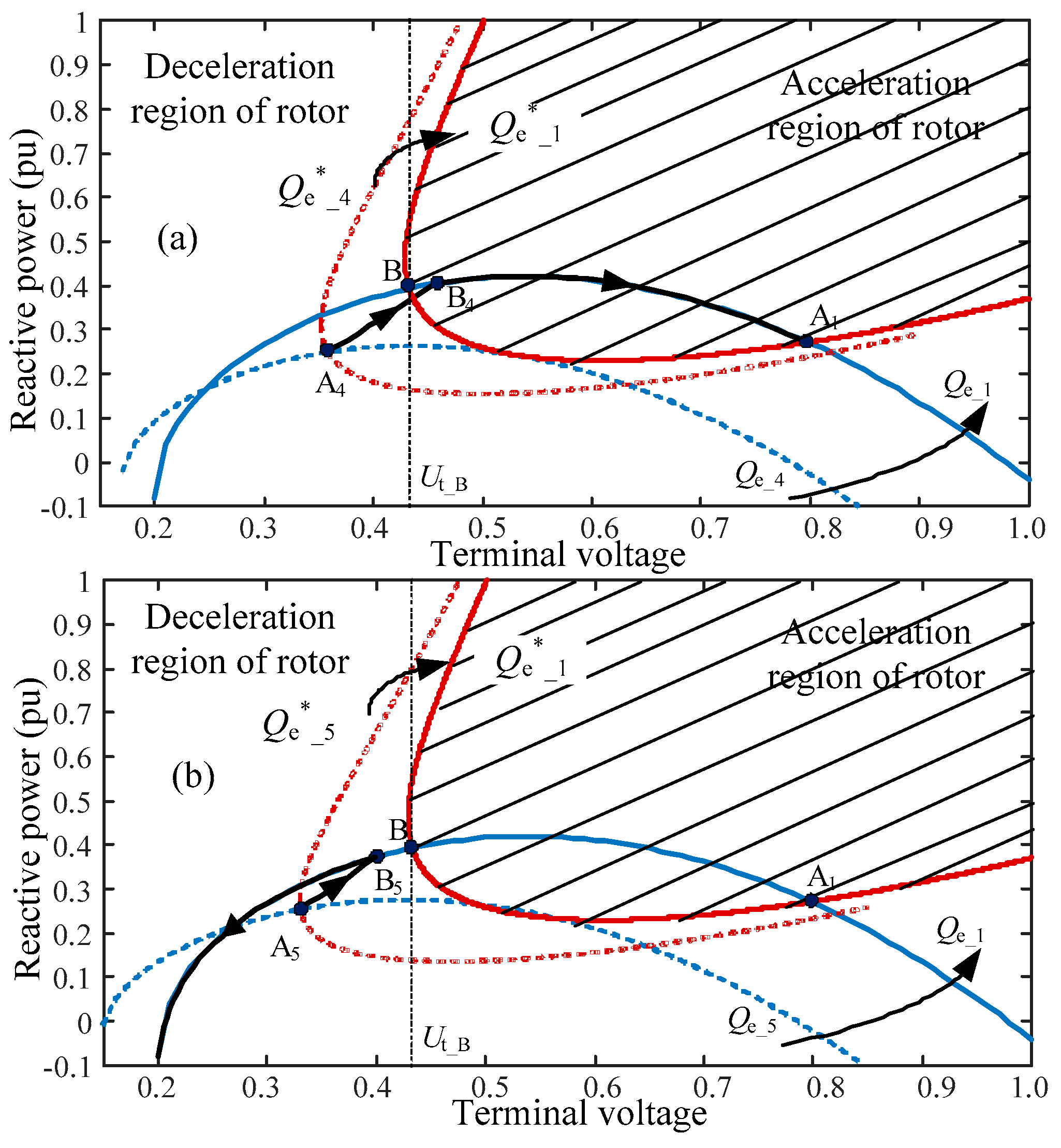
(2) A lack of attraction for the operating point towards stable postfault reactive power equilibrium
Taking the terminal voltage Ut_B as the boundary, as shown in Figure 9a, if the fault is cleared at the point A4, the rotor speed cannot be abruptly changed due to the rotor inertia. At the moment of fault removal, the Q-V characteristic curve of the motor jumps from Qe*_4 to Qe*_1, and the Q-V characteristic curve of the network jumps from Qe_4 to Qe_1. Simultaneously, the operating point changes from point A4 to B4 along the constant rotor speed curve. Since the reactive power required by the motor at point B4 is smaller than the reactive power supplied by the network, the terminal voltage rises. Moreover, the point B4 is located in the region of rotor acceleration, that is, at this voltage, the air-gap power is greater than the mechanical power, and the rotor accelerates. As both the rotor speed and terminal voltage increase, the operating point will eventually return to the predisturbance steady-state operating point A1.
If the fault is cleared at point A5, as shown in Figure 9b, similar to the analysis shown in above, the operating point will jump from point A5 to B5 along the curve of constant rotor speed. Since the reactive power required by the motor corresponding to point B5 is greater than the reactive power supplied by the network, the terminal voltage decreases. Besides, the point B5 is located in the region of rotor deceleration, that is, at this voltage, the air-gap power is less than the mechanical power, and the rotor decelerates. Both the rotor speed and terminal voltage continues to decrease, eventually causing the motor to stall.
Time-domain simulation results are shown in Figure 10. A −0.2 pu step down disturbance is imposed at 2 s at the infinite voltage magnitude. Firstly, the system operates at the terminal voltage corresponding to point A1. After the disturbance, the rotor speed and terminal voltage magnitude drop. Without clearing the fault, the fault remains on and the IM stalls. If the fault is cleared slightly larger than Ut_B, the rotor speed and the terminal voltage magnitude restore to the initial value. If, on the other hand, the fault is cleared below Ut_B, the rotor speed decelerates to stall. The simulation results have highly accordance with the analytical results above.

5. Abnormally Low Voltage after a Disturbance

5.1. Abnormally Low Voltage Analysis

Operation at a low voltage indicates that, although the voltage of the operating point is considerably below the allowed level, reactive power balancing and active power balancing are still in equilibrium. This can occur due to the quadratic nature of the mechanical power.
Consider the system shown in Figure 1, the air-gap power Pe* obtained from the terminal voltage can be derived from the infinite voltage by
P e * = R r s slip x m 2 U g 2 ( x g ( x s + x r + x m ) + x m ( x s + x r ) ) 2 + ( R r s slip ( x g + x m ) ) 2
Thus, the air-gap power is a function of infinite voltage Ug and slip sslip. The stator rotating frequency is invariable and maintained at 1.0 pu. Hence, the mechanical power Pm shown in Equation (8) can be transformed to the function of slip sslip:
P m = P 0 ( 1 s s l i p ) 2
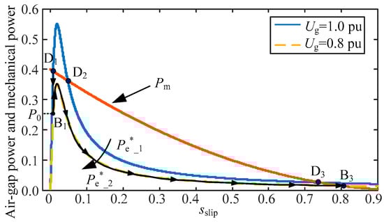
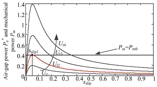
Figure 11 illustrates the air-gap power and mechanical power with respect to slip according to Equations (11) and (12). As shown in the figure, there are three intersection points when the infinite voltage is 1.0 pu, and the normal operating point is point D1.
When the infinite voltage is disturbed down to 0.8 pu, the air-gap power is represented by the yellow dotted line Pe*_2 in Figure 11. Since the rotor has inertia, the rotor speed cannot be abruptly changed, and accordingly, the slip cannot be abruptly changed. Then, along the constant slip, the air-gap power after disturbance corresponds to the power in point B1, and the value is set to P0. At this time, in Figure 11, the mechanical power Pm corresponding to the same slip is larger than P0, and thus the net power ∆P = P0Pm|the moment of disturbance < 0 appears. Driven by the unbalanced active power, the rotor decelerates and the slip increases. It can be seen from Figure 11 that mechanical power is always greater than air-gap power during the process. Thus, the operating point will move from point B1 to B3, and eventually stabilize to point B3 (i.e., operate at a low voltage status).
Figure 12a–c shows the reactive power Qe_1 and Qe*_1 versus terminal voltage magnitude Ut. When the active power corresponding to point D1 in Figure 11 is transmitted, the Q-V curve of the motor required and the Q-V curve supplied by transmission network are shown in Figure 12a. The two characteristic curves intersect at two points A1’ and A1’’, in which the point A1’ is a stable operating point.
When the magnitude of the infinite voltage drops by 0.2 pu, at the moment of disturbance, the rotor speed cannot be abrupt due to rotor inertia. At this time, the characteristic of the motor is characterized by constant impedance. Resulting in that the Q-V characteristic curve of the motor demand in Figure 12b is changed from Qe*_1 to Qe*_2, and the Q-V characteristic of the transmission network is changed from Qe_1 to Qe_2. As can be seen from Figure 12b, the actual operating point jumps from A1’ to B1’ along a constant rotor speed curve. Note that the point B1’ is located in the region of rotor deceleration, that is, the air-gap power corresponding to the point B1’ is less than the corresponding mechanical power. Driven by the unbalanced active power, the operating point does not stay at point B1’ and moves in the direction of decreasing rotor speed.
As shown in Figure 12c, when the operating point B1’ moves to the point B’, the air-gap power at the point B’ is balanced with the mechanical power. Besides, it’s required Q-V characteristic Qe*_3 is balanced with the supplied Q-V characteristic Qe_3. So when the operating point reaches the point B’, the system runs stably.

5.2. Critical Clearing Voltage

According to the foregoing analyses, if the actual operating point is desired to be restored to the stable operating point after the fault is removed, the operating point should lie within the stable domain of the predisturbance stable operating point. Therefore, the critical clearing rotor speed should be the speed corresponding to point D2 in Figure 11, and the terminal voltage corresponding to the point D2 is the critical clearing voltage.
In order to obtain the critical clearing voltage from the Q-V plane, Figure 13a gives the three-dimensional map which includes the Q-V-P characteristics surface of the motor and the Q-V-P characteristics surface of the transmission network.
From Figure 13a, the three-dimensional surface of the Q-V-P characteristics of the transmission network intersects the three-dimensional surface of the Q-V-P characteristics required by the motor. By drawing the above intersection curve on the two-dimensional Q-V plane, we can obtain Figure 13b. As shown in Figure 13b, there are three intersection points, A1’, A2’, and A3’, whose slips correspond to the points D1, D2, and D3 in Figure 11. Therefore, the voltage Ut_A2’ corresponding to the point A2’ is the critical clearing voltage.
Time-domain simulation results are shown in Figure 14. The magnitude of infinite voltage steps down from 1.0 pu to 0.8 pu at 2 s. As shown in Figure 14, the system operates in stable point before the disturbance. After the disturbance, both the terminal voltage and the rotor speed decrease. If the fault is cleared at the time when the operating voltage is slightly larger than Ut_A2’, the terminal voltage magnitude and rotor speed restore to the initial value. If, on the other hand, the fault is cleared below Ut_A2’, the terminal voltage decreases to an abnormally low voltage. Time-domain simulation verifies the theory analyses.

6. Conclusions

This paper studied the short-term voltage stability of grid-connected induction motor (IM) from the viewpoint of both active and reactive power balancing. The IM reactive power characteristics and the rotor acceleration and deceleration regions which were based on active power balancing between air-gap power and mechanical power were obtained on the Q-V plane, providing a common basis for active and reactive power joint balancing analysis. Based on the power balancing analysis, a determination method was presented, which provided a visual judgment on the Q-V plane for the evolution of the voltage magnitude under a large disturbance. The method showed that the movement of the operating point can be described in the following manner: 1) driven by unbalanced reactive power, terminal voltage Ut decreases when Qe* > Qe (Qe* is the IM-required reactive power and Qe is the network-supplied reactive power) and increases when Qe* < Qe; 2) driven by unbalanced active power, the rotor accelerates when Pe* > Pm (Pe* is the air-gap power and Pm is the mechanical power) and decelerates when Pe* < Pm.
Furthermore, two types of unstable operating conditions in grid-connected IM loads, namely abnormally low voltage and stalling, were analyzed using the determination method. The instability mechanisms were well explained by reactive power balancing between the IM demand and the network supply, as well as balancing of air-gap power and mechanical power. Moreover, the critical clearing voltage was discussed on the Q-V plane. Simulation results supported these analyses.

Author Contributions

Conceptualization, D.W. and X.Y.; Methodology, D.W.; Writing-Original Draft Preparation, D.W.; Writing-Review & Editing, D.W., Y.S., Z.H. and T.C.

Funding

This research was funded by [Research and Demonstration of the key technologies for application of group Electrochemical Energy Storage Power Stations in the UHV Hybrid AC/DC receiving-end power grid] grant number [5216A019000W].

Conflicts of Interest

The authors declare no conflict of interest.

Nomenclature

Ug, xgInfinite bus voltage, transmission line reactance
Pe, QeActive and reactive power transmitted from the network
Ut, θutTerminal voltage magnitude and phase
Pe*, Qe*Active power (air-gap power) and reactive power of induction motor demand
xs, xrStator and rotor leakage reactance
xm, RrMagnetizing reactance, rotor resistance
H, sslipInduction motor inertia and slip
ωs, ωr, ωStator frequency, rotor speed, slip frequency

Appendix A

Infinite bus: Ug = 400 V, fbase = 50 Hz.
Transmission line: xg = 0.5 p.u.
Induction machine: Sbase = 4 kVA, Ubase = 400 V, xs = 0.11 p.u., Rr = 0.012 p.u., xr = 0.12 p.u., xm = 3 p.u., H = 1 s.

References

  1. Kundur, P.; Paserba, J.; Ajjarapu, V.; Andersson, G.; Bose, A.; Canizares, C.; Hatziargyriou, N.; Hill, D.; Stankovic, A.; Taylor, C.; et al. Definition and classification of power system stability IEEE/CIGRE joint task force on stability terms and definitions. IEEE Trans. Power Syst. 2004, 19, 1387–1401. [Google Scholar]
  2. Vournas, C.D.; Potamianakis, E.G. Investigation of short-term voltage stability problems and countermeasures. In Proceedings of the IEEE PES Power Systems Conference and Exposition, New York, NY, USA, 10–13 October 2004; pp. 385–391. [Google Scholar]
  3. Vournas, C.D.; Manos, G.A.; Karystianos, M. Bifurcation Analysis of Induction Motors. In Proceedings of the IEEE PowerTech Conference, Budapest, Hungary, 29 August–2 September 1999. [Google Scholar]
  4. Xu, W.; Mansour, Y. Voltage stability analysis using generic dynamic load models. IEEE Trans. Power Syst. 1994, 9, 479–493. [Google Scholar] [CrossRef]
  5. Pal, M.K. Voltage stability conditions considering load characteristics. IEEE Trans. Power Syst. 1992, 7, 243–249. [Google Scholar] [CrossRef]
  6. Van Cutsem, T. Voltage instability: phenomena, countermeasures, and analysis methods. Proc. IEEE 2000, 88, 208–227. [Google Scholar] [CrossRef]
  7. Sekine, Y.; Ohtsuki, H. Cascaded voltage collapse. IEEE Trans. Power Syst. 1990, 5, 250–256. [Google Scholar] [CrossRef]
  8. Kawabe, K.; Yokoyama, A. Stability boundary on P-V plane for analysis of short-term voltage stability. In Proceedings of the Power Systems Computation Conference, Wroclaw, Poland, 18–22 August 2014; pp. 1–8. [Google Scholar]
  9. Kawabe, K.; Tanaka, K. Analytical method for short-term voltage stability using the stability boundary in the P-V plane. IEEE Trans. Power Syst. 2014, 29, 3041–3047. [Google Scholar] [CrossRef]
  10. Kawabe, K.; Tanaka, K. Impact of Dynamic Behavior of Photovoltaic power generation systems on short-term voltage stability. IEEE Trans. Power Syst. 2015, 30, 3416–3424. [Google Scholar] [CrossRef]
  11. Ge, H.; Guo, Q.; Sun, H.; Wang, B.; Zhang, B.; Liu, J.; Yang, Y.; Qian, F. An Improved Real-Time Short-Term Voltage Stability Monitoring Method Based on Phase Rectification. IEEE Trans. Power Syst. 2017, 33, 1068–1070. [Google Scholar] [CrossRef]
  12. Kawabe, K.; Ota, Y.; Yokoyama, A.; Tanaka, K. Novel Dynamic Voltage Support Capability of Photovoltaic Systems for Improvement of Short-Term Voltage Stability in Power Systems. IEEE Trans. Power Syst. 2016, 32, 1796–1804. [Google Scholar] [CrossRef]
  13. Islam, M.; Mithulananthan, N.; Hossain, M.J. Dynamic Voltage Support by TL-PV Systems to Mitigate Short-Term Voltage Instability in Residential DN. IEEE Trans. Power Syst. 2017, 33, 4360–4370. [Google Scholar] [CrossRef]
  14. Dong, Y.; Xie, X.; Wang, K.; Zhou, B.; Jiang, Q. An Emergency-Demand-Response Based Under Speed Load Shedding Scheme to Improve Short-Term Voltage Stability. IEEE Trans. Power Syst. 2017, 32, 3726–3735. [Google Scholar] [CrossRef]
  15. Dong, Y.; Xie, X.; Shi, W.; Zhou, B.; Jiang, Q. Demand-Response-Based Distributed Preventive Control to Improve Short-Term Voltage Stability. IEEE Trans. Power Syst. 2018, 9, 4785–4795. [Google Scholar] [CrossRef]
  16. Van Cutsem, T.; Vournas, C.D. Voltage Stability of Electric Power Systems; Springer Science & Business Media: Berlin, Germany, 1998. [Google Scholar]
  17. Hossain, M.J.; Pota, H.R.; Ugrinovskii, V. Short and Long-Term Dynamic Voltage Instability. IFAC Proc. Volumes 2008, 41, 9392–9397. [Google Scholar] [CrossRef]
Figure 1. Single-IM (induction motor) infinite-bus system.
Figure 1. Single-IM (induction motor) infinite-bus system.
Energies 12 03617 g001
Figure 2. Q-V characteristics of single-IM infinite-bus system.
Figure 2. Q-V characteristics of single-IM infinite-bus system.
Energies 12 03617 g002
Figure 3. Active power balance between mechanical power Pm (Pm is a constant power) and air-gap power Pe*.
Figure 3. Active power balance between mechanical power Pm (Pm is a constant power) and air-gap power Pe*.
Energies 12 03617 g003
Figure 4. Acceleration and deceleration regions of rotor in the Q-V plane where Pm is the constant power.
Figure 4. Acceleration and deceleration regions of rotor in the Q-V plane where Pm is the constant power.
Energies 12 03617 g004
Figure 5. Acceleration and deceleration regions of rotor in the Q-V plane where Pm is modeled as a quadratic mechanical power.
Figure 5. Acceleration and deceleration regions of rotor in the Q-V plane where Pm is modeled as a quadratic mechanical power.
Energies 12 03617 g005
Figure 6. Reactive power characteristic of IM with respect to terminal voltage, (a) given an active power, (b) given a slip.
Figure 6. Reactive power characteristic of IM with respect to terminal voltage, (a) given an active power, (b) given a slip.
Energies 12 03617 g006
Figure 7. Slip variation on Q-V curves.
Figure 7. Slip variation on Q-V curves.
Energies 12 03617 g007
Figure 8. Stalling as viewed from the Q-V plane, (a) predisturbance; (b) the moment of disturbance; (c) postdisturbance.
Figure 8. Stalling as viewed from the Q-V plane, (a) predisturbance; (b) the moment of disturbance; (c) postdisturbance.
Energies 12 03617 g008
Figure 9. Voltage dynamic as viewed from the Q-V plane, (a) disturbance removal at point A4; (b) disturbance removal at point A5.
Figure 9. Voltage dynamic as viewed from the Q-V plane, (a) disturbance removal at point A4; (b) disturbance removal at point A5.
Energies 12 03617 g009
Figure 10. Time-domain simulation of stalling (a) terminal voltage; (b) rotor speed.
Figure 10. Time-domain simulation of stalling (a) terminal voltage; (b) rotor speed.
Energies 12 03617 g010
Figure 11. Balance of air-gap power and mechanical power.
Figure 11. Balance of air-gap power and mechanical power.
Energies 12 03617 g011
Figure 12. Abnormally low voltage as viewed from the Q-V plane. (a) Predisturbance; (b) the moment of disturbance; (c) postdisturbance.
Figure 12. Abnormally low voltage as viewed from the Q-V plane. (a) Predisturbance; (b) the moment of disturbance; (c) postdisturbance.
Energies 12 03617 g012
Figure 13. Critical clearing voltage as viewed from the Q-V plane. (a) Three-dimensional map; (b) regions separated by surface intersection.
Figure 13. Critical clearing voltage as viewed from the Q-V plane. (a) Three-dimensional map; (b) regions separated by surface intersection.
Energies 12 03617 g013
Figure 14. Time-domain simulation of abnormally low voltage after a disturbance. (a) Terminal voltage; (b) rotor speed.
Figure 14. Time-domain simulation of abnormally low voltage after a disturbance. (a) Terminal voltage; (b) rotor speed.
Energies 12 03617 g014

Share and Cite

MDPI and ACS Style

Wang, D.; Shen, Y.; Hu, Z.; Cui, T.; Yuan, X. Active and Reactive Power Joint Balancing for Analyzing Short-Term Voltage Instability Caused by Induction Motor. Energies 2019, 12, 3617. https://doi.org/10.3390/en12193617

AMA Style

Wang D, Shen Y, Hu Z, Cui T, Yuan X. Active and Reactive Power Joint Balancing for Analyzing Short-Term Voltage Instability Caused by Induction Motor. Energies. 2019; 12(19):3617. https://doi.org/10.3390/en12193617

Chicago/Turabian Style

Wang, Ding, Yangwu Shen, Zhen Hu, Ting Cui, and Xiaoming Yuan. 2019. "Active and Reactive Power Joint Balancing for Analyzing Short-Term Voltage Instability Caused by Induction Motor" Energies 12, no. 19: 3617. https://doi.org/10.3390/en12193617

APA Style

Wang, D., Shen, Y., Hu, Z., Cui, T., & Yuan, X. (2019). Active and Reactive Power Joint Balancing for Analyzing Short-Term Voltage Instability Caused by Induction Motor. Energies, 12(19), 3617. https://doi.org/10.3390/en12193617

Note that from the first issue of 2016, this journal uses article numbers instead of page numbers. See further details here.

Article Metrics

Back to TopTop