Optimal Scheduling of Distributed Energy Resources in Residential Building under the Demand Response Commitment Contract
Abstract
1. Introduction
- Assessment of DR potential considering PV generation,
- Load model of LTG and HVAC for DR participation,
- ESS SOC management including prevention of simultaneous charging/discharging,
- EV SOE management with EV owner’s behavior uncertainty.
2. DER Operation System in the Residential Building
2.1. Residential Building Energy System Overview
2.2. Uncertainty Modeling of EV
Status of EVs
2.3. Structural Framework of the Scheduling Method
3. Optimization Model
3.1. Objective Function
3.2. Constraints
3.2.1. PV Generation
3.2.2. SOC Management of ESS
3.2.3. The SOE Management of EV
3.2.4. DR Participation
3.2.5. Load Balance
4. Numerical Studies
4.1. Case Studies
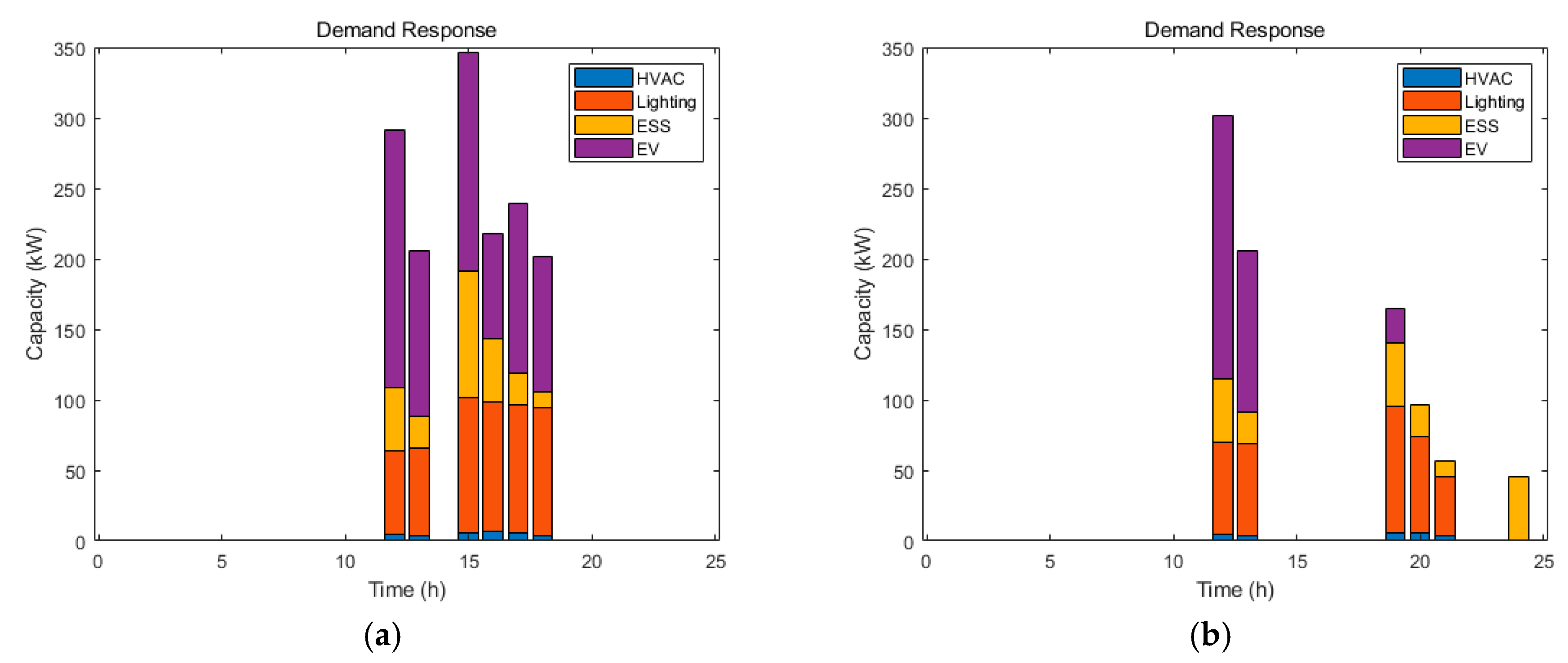
4.2. Simulation Results
4.3. Discussions
5. Conclusions
Author Contributions
Funding
Conflicts of Interest
Nomenclature
| Sets | |
| Peak time zones | |
| Off-peak time zones | |
| Indices | |
| Index for time interval | |
| Index for EVs | |
| Parameters | |
| Maximum limit of power from PV to building | |
| Minimum/Maximum limit of SOC | |
| Maximum limit of power from building to EV | |
| Minimum/Maximum limit of SOE | |
| Minimum/Maximum limit of initial SOE | |
| Minimum/Maximum limit of desired SOE | |
| Maximum limit of power from grid to building | |
| Power load consumption by building | |
| Contract-registered power capacity for general usage of building | |
| Maximum limit of building’s HVAC load participation in DR | |
| Maximum limit of building’s lighting load participation in DR | |
| Contract-registered DR participation capacity | |
| Truncated Gaussian probability density function (PDF) | |
| Mean/Standard deviation of PDF for initial/desired SOE uncertainty | |
| Mean/Standard deviation of PDF for arrival time uncertainty | |
| Mean/Standard deviation of PDF for departure time uncertainty | |
| Minimum/Maximum limit of arrival time | |
| Minimum/Maximum limit of departure time | |
| Basic rate of the electricity charge for general use | |
| Usage fee of the electricity charge for general use | |
| Basic rate of the electricity charge for EV charging | |
| Usage fee of the electricity charge for EV charging | |
| System marginal price (SMP) | |
| Renewable energy certificated incentive (REC) | |
| Charging fee for EV | |
| Basic grants per unit capacity of DR participation | |
| Discount ratio of electricity charge for PV promotion in contract | |
| Incentive ratio for ESS operation in contract | |
| Discount ratio of electricity charge for ESS promotion in contract | |
| Penalty ratio for DR participation in contract | |
| Unit time interval in an hour | |
| Charging/Discharging speed of ESS | |
| Charging/Discharging speed of EV battery | |
| Charging/Discharging efficiency of ESS | |
| Charging/Discharging efficiency of EV battery | |
| Allowable HVAC load capacity rate for DR participation | |
| Allowable lighting load capacity rate for DR participation | |
| Variables | |
| Power from PV to building | |
| PV-generated power for self-consumption | |
| Surplus PV-generated power for selling | |
| Power from ESS to building | |
| Power from grid to ESS | |
| State of charge (SOC) of ESS | |
| Power from building to EV | |
| Power from EV to building | |
| State of energy (SOE) of EV | |
| SOE at arrival/departure time of EV | |
| Initial SOE | |
| Desired SOE | |
| Power from grid to building | |
| Total load participation in DR | |
| Building’s HVAC load participation in DR | |
| Building’s lighting load participation in DR | |
| Random variable generated based on PDF | |
| Arrival time of EV | |
| Departure time of EV | |
| Loss from electricity charges of building | |
| Total revenue from PV generation | |
| Revenue from PV generation for self-consumption | |
| Revenue from surplus PV generation | |
| Total revenue from ESS operation | |
| Basic revenue from ESS operation | |
| Settlement revenue from ESS operation | |
| Total revenue from EV battery operation | |
| Total revenue from DR participation | |
| Basic revenue from DR participation contract capacity | |
| Settlement revenue from actual DR participation capacity | |
| Time interval in minutes that power is transferred from grid to building | |
| Time interval in minutes that power is transferred from ESS to building | |
| Time interval in minutes that power is transferred from building to EV | |
| Time interval in minutes that power is transferred from EV to building | |
| Binary decision variable for presence of EV in charging station | |
| Binary decision variable for DR issuance | |
Appendix A. Case Data of DERs

| 100 | 0.5 |
| 3.6 | 0.5 | 30 | 0.92 | 10 | 100 |
| 173.8 | 0.8 | 0.95 | 1 | 30 |
| 1000 | 100 | 1.5 | 0.66 | 0.76 |

Appendix B. Example of ESS Operation

References
- Lawrence Berkeley National Lab. Coordination of Energy Efficiency and Demand Response. Available online: https://www.osti.gov/biblio/981732 (accessed on 10 January 2019).
- Mohagheghi, S.; Stoupis, J.; Wang, Z.; Li, Z.; Kazemzadeh, H. Demand response architecture: Integration into the distribution management system. 2010 First IEEE Int. Conf. Smart Grid Commun. 2010, 501–506. [Google Scholar] [CrossRef]
- OECD/IEA. Energy Technology Perspectives 2017: Catalysing Energy Technology Transformations. Available online: https://www.iea.org/etp2017 (accessed on 10 January 2019).
- Stamatescu, G.; Stamatescu, I.; Arghira, N.; Calofir, V.; Fagarasan, I. Building cyber-physical energy systems. Available online: https://arxiv.org/abs/1605.06903 (accessed on 10 January 2019).
- Zhao, P.; Henze, G.P.; Brandemuehl, M.J.; Cushing, V.J.; Plamp, S. Dynamic frequency regulation resources of residential buildings through combined building system resources using a supervisory control methodology. Energy Build. 2015, 86, 137–150. [Google Scholar] [CrossRef]
- Zhao, P.; Henze, G.P.; Plamp, S.; Cushing, V.J. Evaluation of residential building HVAC systems as frequency regulation providers. Energy Build. 2013, 67, 225–235. [Google Scholar] [CrossRef]
- Wang, S.; Xu, X. Parameter estimation of internal thermal mass of building dynamic models using genetic algorithm. Energy Convers. Manag. 2006, 47, 1927–1941. [Google Scholar] [CrossRef]
- U.S. Department of Energy. Building-to-grid technical opportunities: Introduction and vision. Available online: https://www.energy.gov/eere/buildings/downloads/buildings-grid-technical-opportunities-introduction-and-vision (accessed on 10 January 2019).
- Lawrence Berkeley National Lab. Introduction to Residential Building Control Strategies and Techniques for Demand Response. Available online: https://www.osti.gov/search/title:Introduction%20to%20residential%20building%20control%20strategies%20and%20techniques%20for%20demand%20response (accessed on 10 January 2019).
- Connolly, D.; Lund, H.; Mathiesen, B.V.; Leahy, M. A review of computer tools for analysing the integration of renewable energy into various energy systems. Appl. Energy 2010, 87, 1059–1082. [Google Scholar] [CrossRef]
- Morais, H.; Kádár, P.; Faria, P.; Vale, Z.A.; Khodr, H. Optimal scheduling of a renewable micro-grid in an isolated load area using mixed-integer linear programming. Renew. Energy 2010, 35, 151–156. [Google Scholar] [CrossRef]
- Vale, Z.; Morais, H.; Khodr, H.; Canizes, B.; Soares, J. Technical and economic resources management in smart grids using heuristic optimization methods. IEEE PES Gen. Meet. 2010, 1–7. [Google Scholar] [CrossRef]
- Varkani, A.K.; Daraeepour, A.; Monsef, H. A new self-scheduling strategy for integrated operation of wind and pumped-storage power plants in power markets. Appl. Energy 2011, 88, 5002–5012. [Google Scholar] [CrossRef]
- Ren, H.; Zhou, W.; Nakagami, K.; Gao, W.; Wu, Q. Multi-objective optimization for the operation of distributed energy systems considering economic and environmental aspects. Appl. Energy 2010, 87, 3642–3651. [Google Scholar] [CrossRef]
- Beaudin, M.; Zareipour, H.; Schellenberglabe, A.; Rosehart, W. Energy storage for mitigating the variability of renewable electricity sources: An updated review. Energy Sustain. Dev. 2010, 14, 302–314. [Google Scholar] [CrossRef]
- Boicea, V.A. Energy storage technologies: The past and the present. Proc. IEEE 2014, 102, 1777–1794. [Google Scholar] [CrossRef]
- Pearre, N.S.; Swan, L.G. Technoeconomic feasibility of grid storage: mapping electrical services and energy storage technologies. Appl. Energy 2015, 137, 501–510. [Google Scholar] [CrossRef]
- Toledo, O.M.; Oliveira Filho, D.; Diniz, A.S.A.C. Distributed photovoltaic generation and energy storage systems: A review. Renew. Sustain. Energy Rev. 2010, 14, 506–511. [Google Scholar] [CrossRef]
- Yang, Z.; Li, K.; Foley, A. Computational scheduling methods for integrating plug-in electric vehicles with power systems: A review. Renew. Sustain. Energy Rev. 2015, 51, 396–416. [Google Scholar] [CrossRef]
- Sousa, T.; Morais, H.; Soares, J.; Vale, Z. Day-ahead resource scheduling in smart grids considering vehicle-to-grid and network constraints. Appl. Energy 2012, 96, 183–193. [Google Scholar] [CrossRef]
- Arteconi, A.; Patteeuw, D.; Bruninx, K.; Delarue, E.; D’haeseleer, W.; Helsen, L. Active demand response with electric heating systems: Impact of market penetration. Appl. Energy 2016, 177, 636–648. [Google Scholar] [CrossRef]
- Alimohammadisagvand, B.; Jokisalo, J.; Siren, K. Comparison of four rule-based demand response control algorithms in an electrically and heat pump-heated residential building. Appl. Energy 2018, 209, 167–179. [Google Scholar] [CrossRef]
- Patteeuw, D.; Bruninx, K.; Arteconi, A.; Delarue, E.; D’haeseleer, W.; Helsen, L. Integrated modeling of active demand response with electric heating systems coupled to thermal energy storage systems. Appl. Energy 2018, 151, 306–319. [Google Scholar] [CrossRef]
- Pipattanasomporn, M.; Kuzlu, M.; Rahman, S. An algorithm for intelligent home energy management and demand response analysis. IEEE Trans. Smart Grid 2012, 3, 2166–2173. [Google Scholar] [CrossRef]
- Chen, Z.; Wu, L.; Fu, Y. Real-time price-based demand response management for residential appliances via stochastic optimization and robust optimization. IEEE Trans. Smart Grid 2012, 3, 1822–1831. [Google Scholar] [CrossRef]
- Korkas, C.D.; Baldi, S.; Michailidis, I.; Kosmatopoulos, E.B. Occupancy-based demand response and thermal comfort optimization in microgrids with renewable energy sources and energy storage. Appl. Energy 2016, 163, 93–104. [Google Scholar] [CrossRef]
- Gao, D.C.; Sun, Y.; Lu, Y. A robust demand response control of residential buildings for smart grid under load prediction uncertainty. Energy 2015, 93, 275–283. [Google Scholar] [CrossRef]
- Paterakis, N.G.; Erdinç, O.; Catalão, J.P. An overview of Demand Response: Key-elements and international experience. Renew. Sustain. Energy Rev. 2017, 69, 871–891. [Google Scholar] [CrossRef]
- Torriti, J.; Hassan, M.G.; Leach, M. Demand response experience in Europe: Policies, programmes and implementation. Energy 2010, 35, 1575–1583. [Google Scholar] [CrossRef]
- Walawalkar, R.; Fernands, S.; Thakur, N.; Chevva, K.R. Evolution and current status of demand response (DR) in electricity markets: Insights from PJM and NYISO. Energy 2010, 35, 1553–1560. [Google Scholar] [CrossRef]
- Bradley, P.; Leach, M.; Torriti, J. A review of the costs and benefits of demand response for electricity in the UK. Energy Policy 2013, 52, 312–327. [Google Scholar] [CrossRef]
- Federal Energy Regulatory Commission. 2010 Assessment of Demand Response and Advanced Metering – Staff Report. Available online: https://www.ferc.gov/legal/staff-reports/2010-dr-report.pdf (accessed on 10 January 2019).
- Aalami, H.; Moghaddam, M.P.; Yousefi, G. Modeling and prioritizing demand response programs in power markets. Electr. Power Syst. Res. 2010, 80, 426–435. [Google Scholar] [CrossRef]
- Aalami, H.; Moghaddam, M.P.; Yousefi, G. Evaluation of nonlinear models for time-based rates demand response programs. Int. J. Electr. Power Energy Syst. 2015, 65, 282–290. [Google Scholar] [CrossRef]
- Moghaddam, M.P.; Abdollahi, A.; Rashidinejad, M. Flexible demand response programs modeling in competitive electricity markets. Appl. Energy 2011, 88, 3257–3269. [Google Scholar] [CrossRef]
- Nosratabadi, S.M.; Hooshmand, R.-A.; Gholipour, E. Stochastic profit-based scheduling of industrial virtual power plant using the best demand response strategy. Appl. Energy 2016, 164, 590–606. [Google Scholar] [CrossRef]
- North Carolina Solar Center. DSIRE Solar Policy Guide: A Resource for State Policymakers. Available online: http://ncsolarcen-prod.s3.amazonaws.com/wp-content/uploads/2015/09/Solar-Policy-Guide.pdf (accessed on 10 January 2019).
- Hagerman, S.; Jaramillo, P.; Morgan, M.G. Is rooftop solar PV at socket parity without subsidies? Energy Poicy 2016, 89, 84–94. [Google Scholar] [CrossRef]
- International Association for Energy Economics. Economic Impacts of Renewable Energy Promotion in Germany. Energy J. 2017, 38, 189–210. [Google Scholar] [CrossRef]
- Korkas, C.D.; Baldi, S.; Yuan, S.; Kosmatopoulos, E.B. An Adaptive Learning-Based Approach for Nearly Optimal Dynamic Charging of Electric Vehicle Fleets. IEEE Trans. Intell. Transp. Syst. 2018, 19, 2066–2075. [Google Scholar] [CrossRef]
- Zhang, K.; Mao, Y.; Leng, S.; He, Y.; Maharjan, S.; Gjessing, S.; Zhang, Y.; Tsang, D. Optimal Charging Schemes for Electric Vehicles in Smart Grid: A Contract Theoretic Approach. IEEE Trans. Intell. Transp. Syst. 2018, 19, 3046–3058. [Google Scholar] [CrossRef]
- Ju, L.; Tan, Z.; Yuan, J.; Tan, Q.; Li, H.; Dong, F. A bi-level stochastic scheduling optimization model for a virtual power plant connected to a wind–photovoltaic–energy storage system considering the uncertainty and demand response. Appl. Energy 2016, 171, 184–199. [Google Scholar] [CrossRef]
- Prasad, A.A.; Taylor, R.A.; Kay, M. Assessment of direct normal irradiance and cloud connections using satellite data over Australia. Appl. Energy 2015, 143, 301–311. [Google Scholar] [CrossRef]
- Amini, M.; Sarwat, A.I. Optimal reliability-based placement of plug-in electric vehicles in smart distribution network. Int. J. Energy Sci. 2014, 4, 43. [Google Scholar] [CrossRef]
- Amini, M.H.; Jamei, M.; Lashway, C.R.; Sarwat, A.I.; Yen, K.K.; Domijan, A.; Kaleem, F. Plug-in electric vehicle owner behavior study using fuzzy systems. Int. J. Power Energy Syst. 2015, 35, 40. [Google Scholar] [CrossRef]
- Shafie-Khah, M.; Siano, P.; Fitiwi, D.Z.; Mahmoudi, N.; Catalao, J.P. An innovative two-level model for electric vehicle parking lots in distribution systems with renewable energy. IEEE Trans. Smart Grid 2018, 9, 1506–1520. [Google Scholar] [CrossRef]
- Lawrence Berkeley National Lab. Wireless Demand Response Controls for HVAC Systems. Available online: https://www.osti.gov/biblio/973101 (accessed on 10 January 2019).
- Rensselaer Polytechnic Inst. Reducing Barriers to Use of High efficiency Lighting Systems. Available online: https://www.osti.gov/biblio/890988 (accessed on 10 January 2019).
- Liu, Y.; Wang, W.; Ghadimi, N. Electricity load forecasting by an improved forecast engine for building level consumers. Energy 2017, 139, 18–30. [Google Scholar] [CrossRef]
- Selakov, A.; Cvijetinović, D.; Milović, L.; Mellon, S.; Bekut, D. Hybrid PSO–SVM method for short-term load forecasting during periods with significant temperature variations in city of Burbank. Appl. Soft Comput. 2014, 16, 80–88. [Google Scholar] [CrossRef]












| 7220 | 2390 | 80 | 700 | 200 |
| Operation Cost without DR (KRW) | Operation Cost with DR (KRW) | Cost Decrease (%) | |
|---|---|---|---|
| Summer | 4,902,500 | 4,529,700 | 7.6 |
| Winter | 5,035,700 | 4,768,100 | 5.3 |
© 2019 by the authors. Licensee MDPI, Basel, Switzerland. This article is an open access article distributed under the terms and conditions of the Creative Commons Attribution (CC BY) license (http://creativecommons.org/licenses/by/4.0/).
Share and Cite
Baek, K.; Ko, W.; Kim, J. Optimal Scheduling of Distributed Energy Resources in Residential Building under the Demand Response Commitment Contract. Energies 2019, 12, 2810. https://doi.org/10.3390/en12142810
Baek K, Ko W, Kim J. Optimal Scheduling of Distributed Energy Resources in Residential Building under the Demand Response Commitment Contract. Energies. 2019; 12(14):2810. https://doi.org/10.3390/en12142810
Chicago/Turabian StyleBaek, Keon, Woong Ko, and Jinho Kim. 2019. "Optimal Scheduling of Distributed Energy Resources in Residential Building under the Demand Response Commitment Contract" Energies 12, no. 14: 2810. https://doi.org/10.3390/en12142810
APA StyleBaek, K., Ko, W., & Kim, J. (2019). Optimal Scheduling of Distributed Energy Resources in Residential Building under the Demand Response Commitment Contract. Energies, 12(14), 2810. https://doi.org/10.3390/en12142810

