Experimental Investigation of Ash Deposit Behavior during Co-Combustion of Bituminous Coal with Wood Pellets and Empty Fruit Bunches
Abstract
1. Introduction
2. Materials and Methods
2.1. Sample Preparation
2.2. TMA Experiments
2.3. DTF Experiments
3. Results and Discussion
3.1. Ashes from the Laboratory Experiments and Actual Combustion
3.2. Ash Melting Characteristics from TMA Experiments
3.3. Ash Deposition Characteristics from DTF Experiments
4. Conclusions
- The laboratory and combustion ashes were analyzed using XRF and the slagging indices were derived using the chemical compositions. The ash compositions as per the results of XRF showed that the basic oxides were enriched as the blending ratio increased. Thus, the results of the XRF analysis showed that the deposition tendency continuously increases with an increasing biomass blending ratio, but the traditional indices for ash slagging propensity were insufficient for explaining the results because of their predictive limitations.
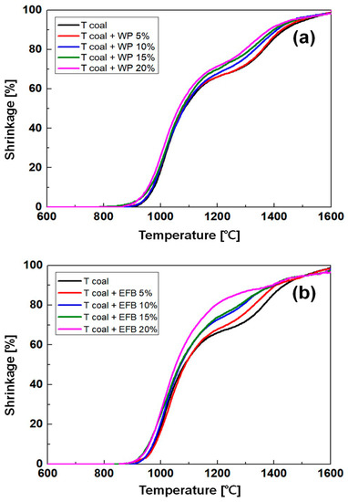
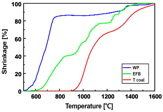
- Ash melting characteristics were examined for the laboratory ash using a TMA. The % shrinkage traces of the raw fuel showed the individual melting characteristics of each fuel, and their % shrinkage traces for blends at T25% appeared to follow the melting characteristics of T coal. Conversely, the melting point clearly decreased after T50% as the blending ratio of the biomass increased. This indicates that the shrinkage accelerates when the melting of the biomass is almost complete and the biomass turns into a liquid phase. The TMA results revealed a decrease in melting temperature with increasing WP and EFB blending, and the slagging/fouling tendency was expected to increase gradually.
- The ash deposition characteristics revealed using the DTF showed a lower deposition tendency than that of single-coal combustion up to a blending ratio of 10% for WP and 15% for EFB. However, with further blending, a reversal was observed wherein the deposition tendency gradually increased. These results indicated the occurrence of additive and non-additive phenomena caused by the lower ash contents and higher agglomeration effects during the co-combustion of coal with the biomass.
- These results indicate that an optimum blending ratio exists for the co-combustion of biomass with coal, and considering the ash contents as well as the agglomeration caused by the biomass ash indicated that a blending ratio of 10% for WP and 15% for EFB are the optimal conditions. The slagging tendency of EFB was worse than that of WP because of the ash contents of EFB.
- WP have been researched extensively in Korea, but plant application of EFB can now be attempted. This study was performed in order to provide fundamental analysis and experiments using laboratory-scale apparatus, but further studies such as pilot and plant tests should be performed before applying EFB-derived fuels in power plants.
Author Contributions
Acknowledgments
Conflicts of Interest
References
- Huang, C.W.; Li, Y.H.; Xiao, K.L.; Lasek, J. Cofiring characteristics of coal blended with torrefied Miscanthus biochar optimized with three Taguchi indexes. Energy 2019, 172, 566–579. [Google Scholar] [CrossRef]
- Fuller, A.; Omidiji, Y.; Viefhaus, T.; Maier, J.; Scheffknecht, G. The impact of an additive on fly ash formation/transformation from wood dust combustion in a lab-scale pulverized fuel reactor. Renew. Energy 2019, 136, 732–745. [Google Scholar] [CrossRef]
- Jeong, Y.-S. Assessment of alternative scenarios for CO2 reduction potential in the residential building sector. Sustainability 2017, 9, 394. [Google Scholar] [CrossRef]
- Park, H.-G.; Kim, C.-H. Do shifts in renewable energy operation policy affect efficiency: Korea’s shift from FIT to RPS and its results. Sustainability 2018, 10, 1723. [Google Scholar] [CrossRef]
- Lasek, J.A.; Kazalski, K. Sulfur self-retention during co-combustion of fossil fuels with biomass. Energy Fuels 2014, 28, 2780–2785. [Google Scholar] [CrossRef]
- Liu, H.; Gibbs, B.M.; Hampartsoumian. The significance of rank on coal reburning for the reduction of NO in drop tube furnace. In Proceedings of the 8th International Symposium on Transport Phenomena in Combustion, San Francisco, CA, USA, 16–20 July 1995; pp. 329–340. [Google Scholar]
- Lazaroiu, G.; Frentiu, T.; Mihaescu, L.; Mihaltan, A.; Ponta, M.; Frentiu, M.; Cordos, E. The synergistic effect in coal/biomass blend briquettes combustion on elements behavior in bottom ash using ICP-OES. J. Optoelectron. Adv. M. 2009, 11, 713–721. [Google Scholar]
- Ali, U.; Akram, M.; Font-Palma, C.; Ingham, D.B.; Pourkashanian, M. Part-load performance of direct-firing and co-firing of coal and biomass in a power generation system integrated with a CO2 capture and compression system. Fuel 2017, 210, 873–884. [Google Scholar] [CrossRef]
- Shao, Y.; Wang, J.; Preto, F.; Zhu, J.; Xu, C. Ash deposition in biomass combustion or co-firing for power/heat generation. Energies 2012, 5, 5171–5189. [Google Scholar] [CrossRef]
- Baxter, L.L. Ash deposition during biomass and coal combustion: A mechanistic approach. Biomass Bioenerg. 1993, 4, 85–102. [Google Scholar] [CrossRef]
- Pronobis, M. The influence of biomass co-combustion on boiler fouling and efficiency. Fuel 2006, 85, 474–480. [Google Scholar] [CrossRef]
- Pronobis, M. Evaluation of the influence of biomass co-combustion on boiler furnace slagging by means of fusibility correlations. Bioresour. Bioenerg. 2005, 28, 375–383. [Google Scholar] [CrossRef]
- Theis, M.; Skrifvars, B.J.; Hupa, M.; Tran, H. Fouling tendency of ash resulting from burning mixtures of biofuels. Part 1: Deposition rates. Fuel 2006, 85, 1125–1130. [Google Scholar] [CrossRef]
- Savolainen, K. Co-firing of biomass in coal-fired utility boilers. Appl. Energy 2003, 74, 369–381. [Google Scholar] [CrossRef]
- Abreu, P.; Casaca, C.; Costa, M. Ash deposition during the co-firing of bituminous coal with pine sawdust and olive stones in a laboratory furnace. Fuel 2010, 89, 4040–4048. [Google Scholar] [CrossRef]
- Sahu, S.G.; Chakraborty, N.; Sarkar, P. Coal-biomass co-combustion: An overview. Renew. Sustain. Energy Rev. 2014, 39, 575–586. [Google Scholar] [CrossRef]
- Chen, X.; Tang, J.; Tian, X.; Wang, L. Influence of biomass addition on Jincheng coal ash fusion temperatures. Fuel 2015, 160, 614–620. [Google Scholar] [CrossRef]
- Rushdi, A.; Sharma, A.; Gupta, R. An experimental study of the effect of coal blending on ash deposition. Fuel 2004, 83, 495–506. [Google Scholar] [CrossRef]
- Febrero, L.; Granada, E.; Regueiro, A.; Miguez, J.L. Influence of combustion parameters on fouling composition after wood pellet burning in a lab-scale low-power boiler. Energies 2015, 8, 9794–9816. [Google Scholar] [CrossRef]
- Kazagic, A.; Smajevic, I. Experimental investigation of ash behavior and emissions during combustion of Bosnian coal and biomass. Energy 2007, 32, 2009–2016. [Google Scholar] [CrossRef]
- Kupka, T.; Mancini, M.; Irmer, M.; Webber, R. Investigation of ash deposit formation during co-firing of coal with sewage sludge, saw-dust and refuse derived fuel. Fuel 2008, 87, 2824–2837. [Google Scholar] [CrossRef]
- Pimenidou, P.; Dupont, V. Characterisation of palm empty fruit bunch (PEFB) and pinewood bio-oils and kinetics of their thermal degradation. Bioresour. Technol. 2012, 109, 198–205. [Google Scholar] [CrossRef] [PubMed]
- Madhiyanon, T.; Sathitruangsak, P.; Sungworagarn, S.; Pipatmanomai, S.; Tia, S. A pilot-scale investigation of ash and deposition formation during oil-palm empty-fruit-bunch (EFB) combustion. Fuel Process. Technol. 2012, 96, 250–264. [Google Scholar]
- Guo, F.; Zhong, Z. Co-combustion of anthracite coal and wood pellets: Thermodynamic analysis, combustion efficiency, pollutant emissions and ash slagging. Environ. Pollut. 2018, 239, 21–29. [Google Scholar] [CrossRef]
- Zeng, T.; Pollex, A.; Weller, N.; Lenz, V.; Nelles, M. Blended biomass pellets as fuel for small scale combustion appliances: Effect of blending on slag formation in the bottom ash and pre-evaluation options. Fuel 2018, 212, 108–116. [Google Scholar] [CrossRef]
- Kim, G.-M.; Lee, D.-G.; Jeon, C.-H. Fundamental characteristics and kinetic analysis of lignocellulosic woody and herbaceous biomass fuels. Energies 2019, 12, 1008. [Google Scholar] [CrossRef]
- Liu, Y.; Gupta, R.; Elliot, L.; Wall, T.; Fujimori, T. Thermomechanical analysis of laboratory ash, combustion ash and deposits from coal combustion. Fuel Process. Technol. 2007, 88, 1099–1107. [Google Scholar] [CrossRef]
- Gupta, S.K.; Wall, T.F.; Creelman, R.A.; Gupta, R.P. Ash fusion temperatures and the transformations of coal ash particles to slag. Fuel Process. Technol. 1998, 56, 33–43. [Google Scholar] [CrossRef]
- Lee, B.-H.; Kim, S.-G.; Song, J.-H.; Chang, Y.-J.; Jeon, C.-H. Influence of coal blending methods on unburned carbon and NO emissions in drop-tube furnace. Energy Fuels 2011, 25, 5055–5062. [Google Scholar] [CrossRef]
- Barroso, J.; Ballester, J.; Ferrer, L.M.; Jimenez, S. Study of coal ash deposition in an entrained flow reactor: Influence of coal type, blend composition and operating conditions. Fuel Process. Technol. 2006, 87, 737–752. [Google Scholar] [CrossRef]
- Blanchard, R. Measurements and modeling of coal ash deposition in an entrained flow reactor. Master’s Thesis, Brigham Young University, Provo, UT, USA, 2008. [Google Scholar]
- Lee, Y.-J.; Choi, J.-W.; Park, J.-H.; Namkung, H.; Song, G.-S.; Park, S.-J.; Lee, D.-W.; Kim, J.-G.; Jeon, C.-H.; Choi, Y.-C. Techno-economical method for the removal of alkali metals from agricultural residue and herbaceous biomass and its effect on slagging and fouling behavior. ACS Sustain. Chem. Eng. 2018, 6, 13056–13065. [Google Scholar] [CrossRef]
- Wall, T.F.; Gupta, S.K.; Gupta, R.P.; Sanders, R.H.; Creelman, R.A.; Bryant, G.W. False deformation temperatures for ash fusibility associated with the conditions for ash preparation. Fuel 1999, 78, 1057–1063. [Google Scholar] [CrossRef]
- Tortosa Masia, A.A.; Buhre, B.J.P.; Gupta, R.P.; Wall, T.F. Use of TMA to predict deposition behavior of biomass fuels. Fuel 2007, 86, 2446–2456. [Google Scholar] [CrossRef]
- Priyanto, D.E.; Ueno, S.; Sato, N.; Kasai, H.; Tanoue, T.; Fukushima, H. Ash transformation by co-firing of coal with high ratios of woody biomass and effect on slagging propensity. Fuel 2016, 174, 172–179. [Google Scholar] [CrossRef]
- Rong, H.; Wang, T.; Zhou, M.; Wang, H.; Hou, H.; Xue, Y. Combustion characteristics and slagging during co-combustion of rice husk and sewage sludge blends. Energies 2017, 10, 438. [Google Scholar] [CrossRef]
- Namkung, H.; Lee, Y.-J.; Park, J.-H.; Song, G.-S.; Choi, J.-W.; Choi, Y.-C.; Park, S.-J.; Kim, J.-G. Blending effect of sewage sludge and woody biomass into coal on combustion and ash agglomeration behavior. Fuel 2018, 225, 266–276. [Google Scholar] [CrossRef]










| Contents | Proximate Analysis (%wt. a, Dry Basis) | Ultimate Analysis (%wt., Dry Ash Free Basis) | Heating Value (LHV b) | ||||||
|---|---|---|---|---|---|---|---|---|---|
| VM c | Ash | FC d | Carbon | Hydrogen | Nitrogen | Oxygen e | Sulfur | MJ/kg | |
| Trafigura (AUS) | 29.72 | 17.11 | 53.17 | 80.00 | 5.56 | 1.27 | 12.41 | 0.76 | 24.92 |
| WP (CAN) | 80.40 | 0.29 | 19.31 | 47.29 | 6.39 | − | 46.30 | 0.02 | 18.65 |
| EFB (MAS) | 76.49 | 2.77 | 20.74 | 47.67 | 5.75 | 0.12 | 46.43 | 0.03 | 18.50 |
| Components | Single Sample | T Coal + WP Blends | T Coal + EFB Blends | ||||||||
|---|---|---|---|---|---|---|---|---|---|---|---|
| T Coal | WP | EFB | 5% | 10% | 15% | 20% | 5% | 10% | 15% | 20% | |
| Laboratory ash | |||||||||||
| SiO2 | 66.27 | 8.75 | 39.30 | 65.72 | 65.43 | 65.13 | 64.92 | 63.39 | 63.11 | 62.79 | 62.44 |
| Al2O3 | 26.69 | 3.54 | 9.22 | 26.31 | 26.25 | 26.07 | 25.94 | 26.09 | 25.81 | 25.62 | 25.43 |
| TiO2 | 1.24 | 0.25 | 0.45 | 1.21 | 1.19 | 1.18 | 1.22 | 1.26 | 1.25 | 1.29 | 1.31 |
| Fe2O3 | 3.10 | 4.68 | 31.82 | 3.10 | 3.22 | 3.34 | 3.41 | 6.44 | 6.72 | 6.93 | 7.16 |
| CaO | 0.42 | 43.92 | 4.52 | 1.18 | 1.33 | 1.59 | 1.67 | 0.43 | 0.51 | 0.58 | 0.64 |
| MgO | 0.36 | 8.62 | 3.09 | 0.40 | 0.41 | 0.44 | 0.49 | 0.39 | 0.46 | 0.51 | 0.57 |
| Na2O | 0.08 | 0 | 0 | 0.07 | 0.06 | 0.05 | 0.05 | 0.05 | 0.04 | 0.03 | 0.02 |
| K2O | 1.68 | 22.05 | 5.33 | 1.80 | 1.87 | 1.93 | 1.98 | 1.72 | 1.80 | 1.86 | 1.94 |
| P2O5 | 0.16 | 4.99 | 3.01 | 0.16 | 0.16 | 0.17 | 0.18 | 0.17 | 0.19 | 0.22 | 0.25 |
| SO3 | 0 | 3.20 | 3.26 | 0.05 | 0.08 | 0.10 | 0.14 | 0.06 | 0.11 | 0.17 | 0.24 |
| Combustion ash | |||||||||||
| SiO2 | n.a. a | 66.16 | 66.10 | 66.01 | 65.96 | 65.88 | 65.71 | 65.57 | 65.39 | ||
| Al2O3 | 26.69 | 26.64 | 26.60 | 26.62 | 26.51 | 26.43 | 26.41 | 26.33 | |||
| TiO2 | 1.22 | 1.23 | 1.23 | 1.22 | 1.23 | 1.24 | 1.22 | 1.22 | |||
| Fe2O3 | 3.10 | 3.11 | 3.11 | 3.12 | 3.67 | 3.78 | 3.84 | 4.01 | |||
| CaO | 0.48 | 0.55 | 0.62 | 0.65 | 0.40 | 0.43 | 0.44 | 0.46 | |||
| MgO | 0.37 | 0.37 | 0.38 | 0.38 | 0.35 | 0.36 | 0.39 | 0.41 | |||
| Na2O | 0.07 | 0.06 | 0.06 | 0.05 | 0.07 | 0.06 | 0.05 | 0.03 | |||
| K2O | 1.72 | 1.75 | 1.80 | 1.79 | 1.69 | 1.73 | 1.77 | 1.78 | |||
| P2O5 | 0.18 | 0.18 | 0.19 | 0.19 | 0.17 | 0.21 | 0.24 | 0.26 | |||
| SO3 | 0.01 | 0.01 | 0.01 | 0.02 | 0.03 | 0.05 | 0.07 | 0.11 | |||
| Indices | Formula | Criteria | |||
|---|---|---|---|---|---|
| Low | Medium | High | Severe | ||
| B/A ratio [32] | (Fe2O3 + CaO + MgO + Na2O + K2O)/(SiO2 + Al2O3 + TiO2) | <0.5 | 0.5–0.7 | 0.7–1.0 | >1.0 |
| Si_R [32] | (SiO2 × 100)/(SiO2 + Fe2O3 + CaO + MgO) | >50 | 30–50 | 5.0–30 | <5.0 |
| TA [32] | Na2O + K2O | <2.0 | 2.0–3.0 | 3.0–4.0 | >4.0 |
| Fu [20] | 0.01 × Ap a × B/A ratio × (Na2O + 0.659 × K2O) | <0.3 | 0.3–0.45 | 0.45–0.60 | >0.6 |
© 2019 by the authors. Licensee MDPI, Basel, Switzerland. This article is an open access article distributed under the terms and conditions of the Creative Commons Attribution (CC BY) license (http://creativecommons.org/licenses/by/4.0/).
Share and Cite
Jeong, T.-Y.; Sh, L.; Kim, J.-H.; Lee, B.-H.; Jeon, C.-H. Experimental Investigation of Ash Deposit Behavior during Co-Combustion of Bituminous Coal with Wood Pellets and Empty Fruit Bunches. Energies 2019, 12, 2087. https://doi.org/10.3390/en12112087
Jeong T-Y, Sh L, Kim J-H, Lee B-H, Jeon C-H. Experimental Investigation of Ash Deposit Behavior during Co-Combustion of Bituminous Coal with Wood Pellets and Empty Fruit Bunches. Energies. 2019; 12(11):2087. https://doi.org/10.3390/en12112087
Chicago/Turabian StyleJeong, Tae-Yong, Lkhagvadorj Sh, Jong-Ho Kim, Byoung-Hwa Lee, and Chung-Hwan Jeon. 2019. "Experimental Investigation of Ash Deposit Behavior during Co-Combustion of Bituminous Coal with Wood Pellets and Empty Fruit Bunches" Energies 12, no. 11: 2087. https://doi.org/10.3390/en12112087
APA StyleJeong, T.-Y., Sh, L., Kim, J.-H., Lee, B.-H., & Jeon, C.-H. (2019). Experimental Investigation of Ash Deposit Behavior during Co-Combustion of Bituminous Coal with Wood Pellets and Empty Fruit Bunches. Energies, 12(11), 2087. https://doi.org/10.3390/en12112087

