Energy Use in Residential Buildings: Characterisation for Identifying Flexible Loads by Means of a Questionnaire Survey
Abstract
1. Introduction
2. Materials and Methods
- (1)
- Storable load: the power consumption and the end-use service are decoupled by storage devices such as batteries (electrochemical) or thermal inertia.
- (2)
- Shiftable load: power consumption can be moved over the time period unaffecting the end-use service. Shiftable load often involves non-interruptible processes such as the laundry cycle and thus involves some planning.
- (3)
- Curtailable load: power consumption cannot be shifted unaffecting the end-use service, but that service can be interrupted instantly.
- (4)
- Non-curtailable load (Base load): the end-use service needs instant power and cannot be interrupted or shifted over the time period.
- (5)
- Self-generation: on-site power generation at consumer residence, reducing the net electric load. Dispatchable self-generation can be used as back-up power system.
3. Results and Discussion
3.1. Dwellings Description and General Anlysis on Consumptions Typology
3.2. Consumption Breakdown by Services
3.3. Potential of Flexibility for the End-Esers
3.4. Evolutionary Scenarios Hailing from Small Maintenance Interventions
4. Conclusions
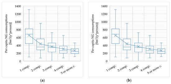
- the average value of per capita NG consumption is equal to 368 Sm3/(y*person);
- the average value of per capita electricity consumption is equal to 772 kWh/(y*person);
- the larger the family members, the lower the per capita NG and electricity consumptions are;
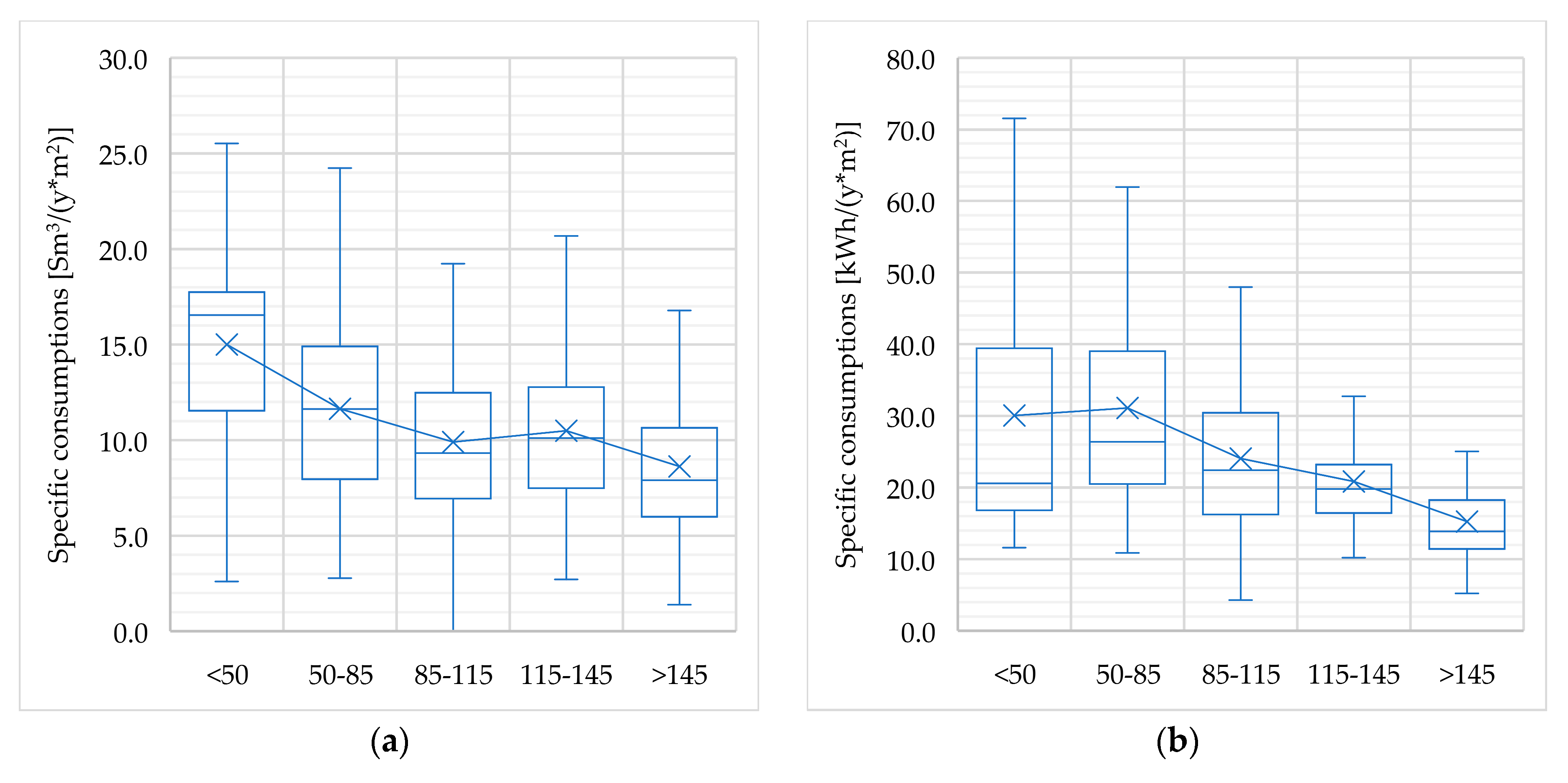
- the average value of NG consumption by floor surface is equal to 10.6 Sm3/(y*m2);
- the average value of electricity consumption by floor surface is equal to 23.9 kWh/(y*m2);
- the specific NG and electricity consumptions by floor surface tend to decline not linearly as the apartment size is larger;
- heating, DHW and cooking services represent the highest fraction in dwellings primary energy consumption which is equal to 70%, approximately;
- the average electrification degree of the statistic sample is limited to 36.5%;
- the flexible loads average value is equal to 1000 kWh/y, whereas only 12.1% of households shows flexible loads higher than 2000 kWh/y;
- minor maintenance interventions lead to lower energy consumptions lessening the potential of flexibility to values beneath 800 kWh/y;
Author Contributions
Funding
Acknowledgments
Conflicts of Interest
References
- McDonagh, S.; Wall, D.M.; Deane, P.; Murphy, J.D. The effect of electricity markets, and renewable electricity penetration, on the levelised cost of energy of an advanced electro-fuel system incorporating carbon capture and utilisation. Renew. Energy 2019, 131, 364–371. [Google Scholar] [CrossRef]
- Meza, C.G.; Zuluaga Rodríguez, C.; D’Aquino, C.A.; Amado, N.B.; Rodrigues, A.; Sauer, I.L. Toward a 100% renewable island: A case study of Ometepe’s energy mix. Renew. Energy 2019, 132, 628–648. [Google Scholar] [CrossRef]
- Paraschiv, F.; Erni, D.; Pietsch, R. The impact of renewable energies on EEX day-ahead electricity prices. Energy Policy 2014, 73, 196–210. [Google Scholar] [CrossRef]
- Clò, S.; Cataldi, A.; Zoppoli, P. The merit-order effect in the Italian power market: The impact of solar and wind generation on national wholesale electricity prices. Energy Policy 2015, 77, 79–88. [Google Scholar] [CrossRef]
- Zappa, W.; Junginger, M.; van den Broek, M. Is a 100% renewable European power system feasible by 2050? Appl. Energy 2019, 233–234, 1027–1050. [Google Scholar] [CrossRef]
- de Santoli, L.; Mancini, F.; Astiaso Garcia, D. A GIS-based model to assess electric energy consumptions and usable renewable energy potential in Lazio region at municipality scale. Sustain. Cities Soc. 2019, 46, 101413. [Google Scholar] [CrossRef]
- Noussan, M.; Nastasi, B. Data analysis of heating systems for buildings—A tool for energy planning, policies and systems simulation. Energies 2018, 11, 233. [Google Scholar] [CrossRef]
- IEA. IRENA Perspectives for the Energy Transition: Investment Needs for A Low-Carbon Energy System. Available online: https://www.irena.org/publications/2017/Mar/Perspectives-for-the-energy-transition-Investment-needs-for-a-low-carbon-energy-system (accessed on 4 April 2019).
- Simoes, S.G.; Dias, L.; Gouveia, J.P.; Seixas, J.; De Miglio, R.; Chiodi, A.; Gargiulo, M.; Long, G.; Giannakidis, G. INSMART—Insights on integrated modelling of EU cities energy system transition. Energy Strategy Rev. 2018, 20, 150–155. [Google Scholar] [CrossRef]
- Strbac, G. Demand side management: Benefits and challenges. Energy Policy 2008, 36, 4419–4426. [Google Scholar] [CrossRef]
- Palensky, P.; Dietrich, D. Demand Side Management: Demand Response, Intelligent Energy Systems, and Smart Loads. IEEE Trans. Ind. Inform. 2011, 7, 381–388. [Google Scholar] [CrossRef]
- Mohsenian-Rad, A.-H.; Wong, V.W.S.; Jatskevich, J.; Schober, R.; Leon-Garcia, A. Autonomous Demand-Side Management Based on Game-Theoretic Energy Consumption Scheduling for the Future Smart Grid. IEEE Trans. Smart Grid 2010, 1, 320–331. [Google Scholar] [CrossRef]
- Earle, T.C. Trust, confidence, and the 2008 global financial crisis. Risk Anal. 2009, 29, 785–792. [Google Scholar] [CrossRef]
- Eurostat Database—Eurostat. Available online: https://ec.europa.eu/eurostat/data/database (accessed on 4 April 2019).
- Foteinaki, K.; Li, R.; Heller, A.; Rode, C. Heating system energy flexibility of low-energy residential buildings. Energy Build. 2018, 180, 95–108. [Google Scholar] [CrossRef]
- Balint, A.; Kazmi, H. Determinants of energy flexibility in residential hot water systems. Energy Build. 2019, 188–189, 286–296. [Google Scholar] [CrossRef]
- Issi, F.; Kaplan, O. The determination of load profiles and power consumptions of home appliances. Energies 2018, 11, 607. [Google Scholar] [CrossRef]
- Chen, Y.; Xu, P.; Gu, J.; Schmidt, F.; Li, W. Measures to improve energy demand flexibility in buildings for demand response (DR): A review. Energy Build. 2018, 177, 125–139. [Google Scholar] [CrossRef]
- Castellani, B.; Morini, E.; Nastasi, B.; Nicolini, A.; Rossi, F.; Castellani, B.; Morini, E.; Nastasi, B.; Nicolini, A.; Rossi, F. Small-Scale Compressed Air Energy Storage Application for Renewable Energy Integration in a Listed Building. Energies 2018, 11, 1921. [Google Scholar] [CrossRef]
- Shakouri, G.H.; Kazemi, A. Multi-objective cost-load optimization for demand side management of a residential area in smart grids. Sustain. Cities Soc. 2017, 32, 171–180. [Google Scholar] [CrossRef]
- Tsemekidi Tzeiranaki, S.; Bertoldi, P.; Diluiso, F.; Castellazzi, L.; Economidou, M.; Labanca, N.; Ribeiro Serrenho, T.; Zangheri, P. Analysis of the EU Residential Energy Consumption: Trends and Determinants. Energies 2019, 12, 1065. [Google Scholar] [CrossRef]
- Gaglia, A.G.; Dialynas, E.N.; Argiriou, A.A.; Kostopoulou, E.; Tsiamitros, D.; Stimoniaris, D.; Laskos, K.M. Energy performance of European residential buildings: Energy use, technical and environmental characteristics of the Greek residential sector—Energy conservation and CO₂ reduction. Energy Build. 2019, 183, 86–104. [Google Scholar] [CrossRef]
- Vogiatzi, C.; Gemenetzi, G.; Massou, L.; Poulopoulos, S.; Papaefthimiou, S.; Zervas, E. Energy use and saving in residential sector and occupant behavior: A case study in Athens. Energy Build. 2018, 181, 1–9. [Google Scholar] [CrossRef]
- Chang, C.; Zhu, N.; Yang, K.; Yang, F. Data and analytics for heating energy consumption of residential buildings: The case of a severe cold climate region of China. Energy Build. 2018, 172, 104–115. [Google Scholar] [CrossRef]
- Sepehr, M.; Eghtedaei, R.; Toolabimoghadam, A.; Noorollahi, Y.; Mohammadi, M. Modeling the electrical energy consumption profile for residential buildings in Iran. Sustain. Cities Soc. 2018, 41, 481–489. [Google Scholar] [CrossRef]
- Laicane, I.; Blumberga, D.; Blumberga, A.; Rosa, M. Evaluation of Household Electricity Savings. Analysis of Household Electricity Demand Profile and User Activities. Energy Procedia 2015, 72, 285–292. [Google Scholar] [CrossRef]
- Shiraki, H.; Nakamura, S.; Ashina, S.; Honjo, K. Estimating the hourly electricity profile of Japanese households—Coupling of engineering and statistical methods. Energy 2016, 114, 478–491. [Google Scholar] [CrossRef]
- Chuan, L.; Ukil, A. Modeling and Validation of Electrical Load Profiling in Residential Buildings in Singapore. IEEE Trans. Power Syst. 2015, 30, 2800–2809. [Google Scholar] [CrossRef]
- Hafeez, G.; Javaid, N.; Iqbal, S.; Khan, F.A. Optimal residential load scheduling under utility and rooftop photovoltaic units. Energies 2018, 11, 611. [Google Scholar] [CrossRef]
- Shirazi, E.; Zakariazadeh, A.; Jadid, S. Optimal joint scheduling of electrical and thermal appliances in a smart home environment. Energy Convers. Manag. 2015, 106, 181–193. [Google Scholar] [CrossRef]
- Ahmad, A.; Khan, A.; Javaid, N.; Hussain, H.M.; Abdul, W.; Almogren, A.; Alamri, A.; Azim Niaz, I.; Ahmad, A.; Khan, A.; et al. An Optimized Home Energy Management System with Integrated Renewable Energy and Storage Resources. Energies 2017, 10, 549. [Google Scholar] [CrossRef]
- Balvedi, B.F.; Ghisi, E.; Lamberts, R. A review of occupant behaviour in residential buildings. Energy Build. 2018, 174, 495–505. [Google Scholar] [CrossRef]
- D’Oca, S.; Hong, T.; Langevin, J. The human dimensions of energy use in buildings: A review. Renew. Sustain. Energy Rev. 2018, 81, 731–742. [Google Scholar] [CrossRef]
- Calì, D.; Andersen, R.K.; Müller, D.; Olesen, B.W. Analysis of occupants’ behavior related to the use of windows in German households. Build. Environ. 2016, 103, 54–69. [Google Scholar] [CrossRef]
- Andersen, R.K.; Fabi, V.; Corgnati, S.P. Predicted and actual indoor environmental quality: Verification of occupants’ behaviour models in residential buildings. Energy Build. 2016, 127, 105–115. [Google Scholar] [CrossRef]
- Zhao, D.; McCoy, A.P.; Du, J.; Agee, P.; Lu, Y. Interaction effects of building technology and resident behavior on energy consumption in residential buildings. Energy Build. 2017, 134, 223–233. [Google Scholar] [CrossRef]
- Chen, S.; Yang, W.; Yoshino, H.; Levine, M.D.; Newhouse, K.; Hinge, A. Definition of occupant behavior in residential buildings and its application to behavior analysis in case studies. Energy Build. 2015, 104, 1–13. [Google Scholar] [CrossRef]
- ISTAT Italian National Institute of Statistics Edifici Residenziali. Available online: http://dati-censimentopopolazione.istat.it/Index.aspx?DataSetCode=DICA_EDIFICIRES (accessed on 4 April 2019).
- Terna, S.P.A. Consumi Energia Elettrica per Settore Merceologico. Available online: http://www.terna.it/default/Home/SISTEMA_ELETTRICO/statistiche/consumi_settore_merceologico.aspx (accessed on 4 April 2019).
- ENEA-Italian National Agency for Energy Efficiency. Analysis and Results of Energy Efficiency Policies in Italy Energy Efficiency Annual Report. Available online: www.efficienzaenergetica.enea.it. (accessed on 4 April 2019).
- Zheng, X.; Wei, C.; Qin, P.; Guo, J.; Yu, Y.; Song, F.; Chen, Z. Characteristics of residential energy consumption in China: Findings from a household survey. Energy Policy 2014, 75, 126–135. [Google Scholar] [CrossRef]
- Shipworth, M. Thermostat settings in English houses: No evidence of change between 1984 and 2007. Build. Environ. 2011, 46, 635–642. [Google Scholar] [CrossRef]
- Guerra Santin, O.; Itard, L.; Visscher, H. The effect of occupancy and building characteristics on energy use for space and water heating in Dutch residential stock. Energy Build. 2009, 41, 1223–1232. [Google Scholar] [CrossRef]
- Carpino, C.; Mora, D.; De Simone, M. On the use of questionnaire in residential buildings. A review of collected data, methodologies and objectives. Energy Build. 2019, 186, 297–318. [Google Scholar] [CrossRef]
- Fabbri, K. How to use online surveys to understand human behaviour concerning window opening in terms of building energy performance. Adv. Build. Energy Res. 2016, 10, 213–239. [Google Scholar] [CrossRef]
- Rinaldi, A.; Schweiker, M.; Iannone, F. On uses of energy in buildings: Extracting influencing factors of occupant behaviour by means of a questionnaire survey. Energy Build. 2018, 168, 298–308. [Google Scholar] [CrossRef]
- Ruggieri, G.; Zangheri, P.; Bulgarelli, M.; Pistochini, P.; Ruggieri, G.; Zangheri, P.; Bulgarelli, M.; Pistochini, P. Monitoring a Sample of Main Televisions and Connected Entertainment Systems in Northern Italy. Energies 2019, 12, 1741. [Google Scholar] [CrossRef]
- Divina, F.; Torres, M.G.; Goméz Vela, F.A.; Vázquez Noguera, J.L.V.; Divina, F.; García Torres, M.; Goméz Vela, F.A.; Vázquez Noguera, J.L. A Comparative Study of Time Series Forecasting Methods for Short Term Electric Energy Consumption Prediction in Smart Buildings. Energies 2019, 12, 1934. [Google Scholar] [CrossRef]
- Hu, S.; Yan, D.; Guo, S.; Cui, Y.; Dong, B. A survey on energy consumption and energy usage behavior of households and residential building in urban China. Energy Build. 2017, 148, 366–378. [Google Scholar] [CrossRef]
- Bianco, V.; De Rosa, M.; Scarpa, F.; Tagliafico, L.A. Analysis of energy demand in residential buildings for different climates by means of dynamic simulation. Int. J. Ambient Energy 2016, 37, 108–120. [Google Scholar] [CrossRef]
- Mancini, F.; Cecconi, M.; De Sanctis, F.; Beltotto, A. Energy Retrofit of a Historic Building Using Simplified Dynamic Energy Modeling. Energy Procedia 2016, 101, 1119–1126. [Google Scholar] [CrossRef]
- De Santoli, L.; Mancini, F.; Clemente, C.; Lucci, S. Energy and technological refurbishment of the School of Architecture Valle Giulia, Rome. Energy Procedia 2017, 133, 382–391. [Google Scholar] [CrossRef]
- Mancini, F.; Clemente, C.; Carbonara, E.; Fraioli, S. Energy and environmental retrofitting of the university building of Orthopaedic and Traumatological Clinic within Sapienza Città Universitaria. Energy Procedia 2017, 126, 195–202. [Google Scholar] [CrossRef]
- Suomalainen, K.; Eyers, D.; Ford, R.; Stephenson, J.; Anderson, B.; Jack, M. Detailed comparison of energy-related time-use diaries and monitored residential electricity demand. Energy Build. 2019, 183, 418–427. [Google Scholar] [CrossRef]
- Martinez Soto, A.; Jentsch, M.F. Comparison of prediction models for determining energy demand in the residential sector of a country. Energy Build. 2016, 128, 38–55. [Google Scholar] [CrossRef]
- ISTAT Italian National Institute of Statistics. I consumi energetici delle famiglie. Available online: https://www.istat.it/it/archivio/142173 (accessed on 4 April 2019).
- Schweiker, M.; Shukuya, M. Comparison of theoretical and statistical models of air-conditioning-unit usage behaviour in a residential setting under Japanese climatic conditions. Build. Environ. 2009, 44, 2137–2149. [Google Scholar] [CrossRef]
- Ren, X.; Yan, D.; Wang, C. Air-conditioning usage conditional probability model for residential buildings. Build. Environ. 2014, 81, 172–182. [Google Scholar] [CrossRef]
- He, X.; Keyaerts, N.; Azevedo, I.; Meeus, L.; Hancher, L.; Glachant, J.M. How to engage consumers in demand response: A contract perspective. Util. Policy 2013, 27, 108–122. [Google Scholar] [CrossRef]
- Kylili, A.; Fokaides, P.A.; Lopez Jimenez, P.A. Key Performance Indicators (KPIs) approach in buildings renovation for the sustainability of the built environment: A review. Renew. Sustain. Energy Rev. 2016, 56, 906–915. [Google Scholar] [CrossRef]
- Lanati, F.; Gelmini, A.R. Impatti del dynamic pricing applicato ai consumatori elettrici residenziali. Available online: http://www.energy-home.it/Documents/2016-May DynamicPricingBook/160508DynamicPricingBook_ExecSummary.pdf (accessed on 4 April 2019).
- Cicero, F.; Di Gaetano, N.; Speziale, L. I comportamenti di consumo elettrico delle famiglie italiane. Energ. Elettr. 2010, 87, 57–63. [Google Scholar]
- Gelmini, A.; Lanati, F.; Polidoro, F.; Vitale, S. Scenari elettro-energetici. Available online: http://www.rse-web.it/temi.page?docIdType=1&typeDesc=Report&docType_1=yes&resultList=yes&RSE_manipulatePath=yes&objId=1&RSE_originalURI=/temi/sottotema/documenti/2&country=ita (accessed on 4 April 2019).














Building location
| Kitchen
|
| Building Construction Year | Refurbishment Actions on Building | |||
|---|---|---|---|---|
| Walls | Roofs | Floors | Windows | |
| before 1919 | 0 (0%) | 0 (0%) | 0 (0%) | 5 (41.7%) |
| 1919–1945 | 2 (4.8%) | 2 (4.8%) | 3 (7.1%) | 29 (69%) |
| 1946–1961 | 6 (10.2%) | 8 (13.6%) | 1 (1.7%) | 46 (78%) |
| 1962–1971 | 8 (12.7%) | 7 (11.1%) | 3 (4.8%) | 29 (46%) |
| 1972–1981 | 13 (14.8%) | 13 (14.8%) | 5 (5.7%) | 44 (50%) |
| 1982–1991 | 5 (8.9%) | 5 (8.9%) | 3 (5.4%) | 22 (39.3%) |
| 1991–2005 | 16 (21.3%) | 14 (18.7%) | 9 (12%) | 13 (17.3%) |
| 2006–2008 | 0 (0%) | 0 (0%) | 0 (0%) | 0 (0%) |
| 2008–2010 | 2 (33.3%) | 1 (16.7%) | 0 (0%) | 2 (33.3%) |
| 2010–2015 | 4 (50%) | 4 (50%) | 3 (37.5%) | 2 (25%) |
| after 2015 | 0 (0%) | 0 (0%) | 0 (0%) | 0 (0%) |
| Total | 56 (13.6%) | 54 (13.1%) | 27 (6.6%) | 192 (46.6%) |
| Service | Number (Share) | Type | Number (Share) |
|---|---|---|---|
| Heating | 412 (100%) | Traditional boiler | 318 (77.2%) |
| Condensing boiler | 89 (21.6%) | ||
| Heat pump | 5 (1.2%) | ||
| Cooling | 284 (68.9%) | ||
| DHW | 412 (100%) | Instantaneous Boiler | 321 (77.9%) |
| Boiler with storage | 30 (7.3%) | ||
| Electric water heather | 53 (12.9%) | ||
| Heat Pump water heater | 8 (1.9%) | ||
| Cooking | 412 (100%) | - | - |
| Refrigeration | 412 (100%) | - | - |
| Washing | 408 (99.0%) | Washing machine | 408 (99.0%) |
| Tumble dryer | 65 (15.8%) | ||
| Dishwasher | 247 (60.0%) | ||
| Cleaning and ironing | 397 (96.4%) | - | - |
| Lighting | 412 (100%) | - | - |
| Video audio | 410 (99.5%) | - | - |
| Internet computer | 400 (97.1%) | - | - |
| Care person | 404 (98.1%) | - | - |
| Other equipment | 45 (10.9%) | - | - |
| # | Service | Reference Scenario | New Scenario |
|---|---|---|---|
| #1 | Heating | Traditional boiler | Condensing boiler |
| Condensing boiler | Condensing boiler | ||
| Heat pump | Heat pump–A+++ Class | ||
| #2 | Cooling | Electric air conditioner | Electric air conditioner–A+++ Class |
| #3 | DHW | Instantaneous water heater | Instantaneous condensing boiler |
| Water heater with storage | Condensing boiler with storage | ||
| Electric water heater | Heat Pump water heater | ||
| Heat Pump water heater | Heat Pump water heater | ||
| #4 | Washing | Washing machine | Washing machine–Same size–A+++ Class |
| #5 | Tumble dryer | Tumble dryer–Same size–A+++ Class | |
| #6 | Dishwasher | Dishwasher–Same size–A+++ Class | |
| #7 | Refrigeration | Existing refrigerator | Refrigerator–Same size–A+++ Class |
| #8 | Lighting | Existing Lamps | LED Lamps |
| # | Service | Energy Saving [kWh-p] | Potential of Flexibility Variation [kWh-e] |
|---|---|---|---|
| #1 | Heating | 6979 | −28 |
| #2 | Cooling | 325 | −19 |
| #3 | DHW | 1927 | −130 |
| #4 | Washing machine | 456 | −50 |
| #5 | Tumble dryer | 60 | −14 |
| #6 | Dishwasher | 262 | −32 |
| #7 | Refrigeration | 417 | −1 |
| #8 | Lighting | 302 | 0 |
© 2019 by the authors. Licensee MDPI, Basel, Switzerland. This article is an open access article distributed under the terms and conditions of the Creative Commons Attribution (CC BY) license (http://creativecommons.org/licenses/by/4.0/).
Share and Cite
Mancini, F.; Lo Basso, G.; De Santoli, L. Energy Use in Residential Buildings: Characterisation for Identifying Flexible Loads by Means of a Questionnaire Survey. Energies 2019, 12, 2055. https://doi.org/10.3390/en12112055
Mancini F, Lo Basso G, De Santoli L. Energy Use in Residential Buildings: Characterisation for Identifying Flexible Loads by Means of a Questionnaire Survey. Energies. 2019; 12(11):2055. https://doi.org/10.3390/en12112055
Chicago/Turabian StyleMancini, Francesco, Gianluigi Lo Basso, and Livio De Santoli. 2019. "Energy Use in Residential Buildings: Characterisation for Identifying Flexible Loads by Means of a Questionnaire Survey" Energies 12, no. 11: 2055. https://doi.org/10.3390/en12112055
APA StyleMancini, F., Lo Basso, G., & De Santoli, L. (2019). Energy Use in Residential Buildings: Characterisation for Identifying Flexible Loads by Means of a Questionnaire Survey. Energies, 12(11), 2055. https://doi.org/10.3390/en12112055

