Abstract
The goal of this paper is to analyze the phenomenon of gas emission during a methane and coal outburst based on the unipore Crank diffusion model for spherical grains and plane sheets. Two occurrences in the Upper Silesian Coal Basin were analyzed: an outburst in a Zofiówka coal mine in 2005 and an outburst in a Budryk coal mine in 2012. Those two outbursts differed considerably. The first one was connected with an unidentified tectonic disturbance in the form of a triple, interlocking fault, and the other one is an example of an outburst in an area free from tectonic disturbances. The model analysis required laboratory tests in order to determine the sorption properties of coals from post-outburst masses. Sorption isotherms and the values of the effective diffusion coefficient were specified. The post-outburst masses were subjected to sieve analysis and the grain composition curves were plotted. The researchers also used the measurement data provided by proper mine services, such as the methane content, the volume of post-outburst masses, and the time courses of CH4 concentration changes in excavations. They were recorded by methane measurement systems in the mines.
1. Introduction
The rock and gas outburst hazard is among the most serious factors posing a risk for excavation works. This phenomenon has been studied for nearly two hundred years both in laboratory and in situ conditions. Regardless of the theories concerning the conditions necessary for an initiation of an outburst and its course, researchers agree that the key role here is played by gas accumulated in the pore structure of the rock under high pressure [1]. This gas is the source of energy responsible for the initiation and the course of the phenomenon [2].
Rock and gas outbursts most often take place in the vicinity of tectonic disturbances, close to faults [3], where coal of changed structure has weaker mechanical properties and the ability to emit gas quicker. However, outbursts also occur in areas free from tectonic disturbances, where coal does not show any singular structural or sorption properties.
1.1. The Nature of Gas and Rock Outburst
The gases most often found in coal seams are methane and carbon dioxide. Gas occurs in coal in a sorbed and a free form but the equilibrium of these components is determined by a sorption isotherm. Taking into account considerable sorption capacities of coal and its low porosity at the same time, the ratio of the sorbed gas to the free gas is high. In spite of its small share in the total amount of gas contained in rock, it is the free gas that plays a key role in the initiation of an outburst [4], as it is the source of energy necessary to crush the rock material and partly to give the crushed rock the kinetic energy [5], which initiates the transportation of the post-outburst mass. As a result of the outburst, the coal is finely crushed and the gas pressure surrounding the newly formed grains decreases dynamically from the value corresponding with the original pore gas pressure to the pressure of the mine atmosphere. The step change in pressure starts the processes of gas transport from the coal grains. The kinetics of the gas diffusion from the coal grains is proportional to the second power of the equivalent radius of the grains; hence, fine comminution of rock is conducive to gas emission. Gas is dynamically liberated as a result of the combined processes of desorption and transportation in the system of grain pores created by crushing. It constitutes an additional portion of energy necessary for the work during further transport of post-outburst masses along the excavation [6]. The transport in the second phase of the outburst is in the form of fluidized flow of gas and particles of a solid [7,8,9] of high concentration.
1.2. Gas Stress
The measurements of the pore pressure of methane carried out by the authors using the direct method lead to the conclusion that in the conditions of the Upper Silesia Coal Basin, the pore pressure values are in the range of 0.2 MPa–0.6 MPa but in a small number of excavations they can exceed 1 MPa. At the face of the excavation, the authors made an eight-meter-long test hole. Next, they placed a measuring probe in the hole at various depths, determining the gas pressure distribution as a function of the distance from the excavation face. It was observed that the gas pressure started to increase 1 m from the excavation face and reached the highest values at the depth of 3 m from the excavation face. Further down, it slightly decreased and then its value remained constant (Figure 1). Such considerable pressure gradients contained in the rock pore space generate gas stresses [10], which stretch the rock [11,12,13,14]. This phenomenon is connected with the development of crack networks due to exploitation stress, which affect the permeability of the excavation to methane [15].
Figure 1.
The pressure of gas in the coal pores as a function of the distance from the excavation face—degassed zone, gas stresses zone, and coal permeability—the excavation free form geological disturbances (a) and the excavation with geological disturbances (b).
The permeability of unfractured coal is very low [16] and its degassing is very time-consuming [17]. During excavation works in a drift, a few-kilometer-long section of unmined coal cracks due to mechanical tensions. At the face of the fractured zone, the processes of gas transport in the direction of the excavation are initiated, which results in the decrease of the pore pressure. In spite of its lower mechanical strength, the fractured zone at the face of the excavation is a buffer against rock and gas outbursts [18]. The highest gas stresses occur in the unfractured coal zone subjected to the strongest mechanical tensions [19]. That zone is most often found not deeper than 5 m from the excavation face. The porosity there is lower, the gas pressure in the pores is higher, and the permeability is considerably lower. In that area, the pressure gradient facing the excavation can exceed 1 MPa/m. Considering the typical cross-sectional surfaces of excavations, amounting to 20 m2, the resultant forces directed toward the excavation can reach 20 MN.
1.3. The Geological Disturbances Zone and the Rock and Gas Outburst
The majority of outbursts occur in areas of geological disturbances [20]. The coals found in those places are characterized by lower strength parameters and higher diffusion coefficient. Those coals have higher permeability than undisturbed coals [21]. They accumulate considerable amounts of gas and, thus, they are its additional source [22].
Review of the literature on the subject reveals that almost all the described outbursts took place in regions of geological disturbances [17,23,24,25]. The outburst hazard is particularly high when the thickness of the tectonically deformed layer exceeds 0.8 m [26]. Some of the researchers, such as [17], claim that the outburst hazard occurs only in areas of geological disturbances.
The authors of this paper are of an opinion that an outburst is possible in a homogenous coal seam (without geological disturbances). If a degassed fractured coal mass, which is a buffer between a free space of an excavation and an area of the highest gas stresses, is removed so fast that no fractured zone is created under the influence of mechanical tensions, and the tensile stresses are higher than the tensile strength of the coal in the seam, an outburst will be initiated.
2. Examples of Outbursts in a Seam with Tectonic Disturbances and in a Homogenous Seam
In 1996, mining in a Thorez coal mine—the last of the mines in the Lower Silesia Coal Basin—was completed. Due to very difficult operating conditions, complex tectonic structure, as well as gas and rock outburst hazard, extraction of a high quality coking coal was abandoned. In terms of an outburst risk, the Upper Silesia Coal Basin—which is still being exploited—was safer. In 2002, the first of the three contemporary outbursts occurred in a Pniówek coal mine. The next took place in 2005 in a Zofiówka coal mine, followed by a Budryk coal mine in 2012. The last two will be the subject of further analysis, which is possible thanks to the amount of data gathered during the investigation into the causes and the course of the outbursts.
2.1. An Outburst in the Area of Tectonic Disturbances
In December 22, 2005, in the Zofiówka coal mine, in transport gallery D-6, seam 409/4, level 900 m, an outburst of rock and methane occurred during excavation works. As a result, about 320 m3 of post-outburst mass was moved to the excavation area, and it filled the face of the excavation at the length of about 35 m. The post-outburst mass comprised mainly the lowest grain fractions classified as culm with single blocks and crumbs. The highest methane content in seam 409/4 recorded before the accident was only 5.56 m3CH4/Mg.
After the post-outburst mass was removed from gallery D-6, two hinge faults were found there and the coal near the face of the excavation had the cataclastic structure [27,28,29] (Figure 2a,b). These types of coal occurred in the area of the right wall of the fault, above the fault gap. On the basis of macroscopic examination and the analysis of the structural properties of the coal taken from a number of spots in the vicinity of the outburst, the layer of the structurally changed coal was assessed to be at least 50 cm thick.
Figure 2.
A piece of coal from the post-outburst mass from the Zofiówka coal mine with a cataclastic band in the middle (a); SEM image of cataclastic coal from the Zofiówka coal mine—magnification 12,000× (b).
During the first 24 h of the rock and gas outburst, over 15000 m3 of gas flew to the excavation but over 8000 m3 in the first hour. The analysis of the records of the methane detectors shows that the highest intensity of methane emission was between the 90th and the 150th s of the outburst, i.e., 12 m3CH4/s.
According to the findings of the commission of inquiry into the circumstances of the accident, the outburst was caused by the face of the excavation approaching a tectonic disturbance. The coal in its vicinity was characterized by different structure, high methane content, a small degree of compactness, and a large degree of fissuring.
2.2. An Outburst in the Area Without Tectonic Disturbances
On May 11, 2012, in a Budryk coal mine, the second of the analyzed outbursts occurred. The methane and rock outburst took place at the face of the drilled incline in seam 358/1 at the depth of 1050 m. The thickness of seam 358/1 was from 1.5 m to 2.1 m. The highest recorded value methane content in the excavation was 12.33 m3CH4/Mg. As a result of the outburst 340 m3 of methane and 35 m3 of crushed coal were thrown to the face of the excavation. The coal formed a 3.5-meter long and 2.75-meter high pile. The maximum methane content recorded by the sensors at the face of the excavation was 36.7%. The highest methane emission intensity took place during the first 120 s from outburst initiation.
The scale of that outburst is incomparably small compared to the one in the Zofiówka coal mine, but that is not the most important difference. No fault was found in the vicinity of the outburst. It occurred in a homogenous seam.
3. The Physics of Gas Emission from Coal
The mechanism of coal sorbate emission comprises a number of stages, such as the proper desorption process, diffusion in coal pores, and transport of gas in the system of fissures and the biggest pores [17,30]. In the description of the model of the kinetic desorption process, the diffusion stage is considered as the dominating factor. In deliberations on the combined processes of desorption and transport of gas sorbate, we assume that, in the system of coal pores, there coexists a mobile gas sorbate and a bound sorbate. Transport takes place with the participation of the mobile sorbate and the amount of the bound sorbate determines the momentary rate of sorption. We assume that during the process, the local sorption equilibrium is maintained. The emission process starts at time t0 as a result of a step change of external conditions but those conditions remain constant. The accumulation process is accompanied by time changes of in the distribution of the total concentration of the sorbate within the grains. If we assume that we can use the linear sorption isotherm, the course of the accumulation can be described using the second Fick’s law:
where diffusion coefficient is replaced by effective diffusion coefficient . The value of this coefficient results from the value of the diffusion coefficient and the angle of inclination of Henry’s isotherm.
3.1. The Solution of the Diffusion Equation for the Flat-Parallel Layer
If coefficient value is constant as a result of the process triggered by the step change of the conditions in the vicinity of the sorbent, concentration of the accumulated substance changes from to [29] and mass of the sorbate put into a selected fragment of the sorbent changes from to the limit value . For the 2l thick plane sheet (Figure 3) the solution of the diffusion equation describes changes of the sorbate concentration in the layer:
where and are the distance from the plane of symmetry and the edge of the layer, respectively.
Figure 3.
Methane emission from a plane sheet and a sphere.
Mass of the sorbate emitted from a selected fragment of the plane sheet is:
3.2. Solution of The Diffusion Equation for a Sphere
In the case of a sphere with radius (Figure 3), Equation (1) takes the following form:
where is the distance from the center of the sphere, and is the distribution of the sorbate concertation within it. The solution of Equation (4) takes form (5):
where constants and are the values of mean concentrations of the sorbate in the grain before and after the process. Mass of the substance accumulated in a spherical grain tends to reach the limit value according to the following formula:
Formula (6) is often used to evaluate the efficiency of the effective diffusion coefficient based on the registration of the process of sorbate accumulation by spherical sorbent grains. The effective diffusion coefficient determined on its basis is, in the case of coal, an important parameter in the assessment of methane, as well as rock and gas, outburst hazard. A knowledge of this parameter is also necessary in deliberations on degassing of coal seams and aspects connected with sequestration and underground storage of carbon dioxide.
4. Sorption Analyses of Coals from the Outburst Zones
The analyses were carried out using a IGA-001 (Hiden Isochema, UK). It is a gravimetric sorption analyzer, which registers a change of sorbent mass resulting from accumulation or sorbate emission. The device works on a sorbent sample weight of 0.5 g and, as declared by the manufacturer, its weigh accuracy is on the level of 0.05 μg. It makes it possible to apply pressures from a vacuum to 20 MPa. The biggest advantage of the device is the fact that it allows for measurements in isobaric conditions, which is not guaranteed by volumetric devices.
4.1. Measurement Methodology
The coal material came from the post-outburst masses secured after the outbursts in the Zofiówka coal mine in 2005 and the Budryk coal mine in 2012. The material was sieved to the grain size of 0.20 mm–0.25 mm and dried. The density of the coal skeleton was identified as a parameter necessary to compensate for buoyancy force during gravimetrical measurements. The density of the skeleton was determined using a AccuPyc II 1340 (Micromeritics, USA).
The sorption isotherms were plotted in 313 K. The measurement included a change of coal mass under the influence of methane sorption for the following pressures: 0.1 MPa, 0.4 MPa (only the Zofiówka coal mine), 0.8 MPa, and 1.6 MPa. The preparation phase consisted of 24-h degassing of a sample in a high vacuum, obtained with the use of a turbomolecular pump (10−7 Pa) at 353 K.
Langmuir sorption isotherms [27,30] were plotted based on the sorption points by minimizing the sum of the squares of deviations (7):
where is a sorption equilibrium point, is a total volume of the monolayer, is a inverse of half pressure, and is a pressure.
The quantitative evaluation of the methane emission from coal is based on the effective diffusion coefficient . The core experiments were preceded by a preparatory phase consisting in degassing the coal samples in a high vacuum in 353 K for 24 h. Next, methane pressure of 0.1 MPa was applied in a quasi-step manner at the maximum rate allowed by the device, i.e., 333 mbar/min. The main phase involving the registration of changes of sorbent mass resulting from sorbing of the sorbat that lasted another 24 h. In order to determine the effective diffusion coefficient, Equation (6) was approximated for 10 elements of a series, by minimizing the sum of the squares of deviations.
4.2. Results—Sorption Points and Sorption Isotherms
Direct results of the measurements are presented in graphs showing changes of a sample mass during the process of sorption (Figure 4a and Figure 5a). Asymptotic values of sorption capacities for particular pressures were used to determine the sorption isotherms (Figure 4b and Figure 5b).
Figure 4.
(a) Direct results of the sorption measurements—coal from the Zofiówka coal mine. (b) A sorption isotherm of the coal from the Zofiówka coal mine.
Figure 5.
(a) Direct results of the sorption measurements—coal from the Budryk coal mine. (b) A sorption isotherm of the coal from the Budryk coal mine.
The analysis of the isotherms revealed that there is a strong similarity between the two coals in terms of their sorption properties. What is more, the isotherms are not dissimilar from typical isotherms determined for coals from the Upper Silesia Coal Basin—Table 1.
Table 1.
The results of the sorption measurements for coals from the post-outburst masses and average values for Zofiówka and Budryk coal mines.
4.3. Results—Effective Diffusion Coefficient
The analyzed coal samples show significant differences in terms of the aspects describing the rate of methane emission from coal. It is clearly visible on the graph showing the time recording of methane emission from coal (Figure 6) that the sample from the post-outburst mass from the Zofiówka coal mine emits methane considerably faster than the sample from the post-outburst mass from the Budryk coal mine.
Figure 6.
Kinetics of methane accumulation in coal from the Zofiówka and Budryk coal mines.
The value of the effective diffusion coefficient for the Budryk sample is almost 20 times as low as the analogous value for the Zofiówka sample. It means that in the case of the coal from the Budryk coal mine, the emission of the same percentage of methane will last 20 times as long as in the case of the coal from Zofiówka (Table 1).
Also, the value of the effective diffusion coefficient is considerably higher for the coal from the Zofiówka outburst zone than the average parameter for coals from that mine.
5. Modeling of Methane Emission during an Outburst
On the basis of theoretical deliberations, a computer software was developed that implements modified solutions of methane diffusion for a plane sheet (3) and a sphere (6) provided by Crank.
The introduced solutions involved generalization of the model for the grain fracture series based on the grain composition curve. The final form of the formula for plane sheets is presented below (8).
where:
- - desorbable methane content in coal, m3CH4/Mg;
- - methane content, m3CH4/Mg;
- - methane sorption capacity of coal at 1 bar, m3CH4/Mg;
- - percentage share of particular grain fractions;
- - effective diffusion coefficient, cm2/s;
- - thickness of plane sheets corresponding with consecutive grain fractions, cm;
- - time, s.
The generalized form of the solution of Crank diffusion equations that take into account emission from the set of grain fractions looks as follows (9):
where:
—equivalent radii corresponding with consecutive grain fractions , cm.
5.1. Accepted Assumptions and Initial Conditions
One second was adopted as the basic time step. The parameters related to the coal–gas system and the excavation in the area of the accident are presented in Table 2.
Table 2.
Parameters of the coal–gas system for coals from the post-outburst masses and other parameters of the analyzed outbursts.
Simulations were carried out for four hypothetical outburst durations: 5 s, 20 s, 60 s, and 240 s. It is very difficult to determine this parameter as there was no measurement equipment in the vicinity of the accidents that would provide an unquestionably reliable result.
On the basis of the assumed outburst durations, the mass of the coal crushed during the outburst and the coal density, coal destruction rates were determined expressed as a mass of coal undergoing destruction in each s of the outburst duration. The assumed rate is constant.
The methane emission is calculated as a weighted sum from all analyzed grain fractions but the weights correspond with the percentage shares of particular fractions. It is extremely important because the emission rate depends on the squared radius of the sphere (or the height of the plane sheet).
A significant parameter influencing the quality of generated results is the number of terms of the series, which is an analytical solution of the diffusion equation. The number of terms in the series has a particularly big influence on the description of the initial period of methane emission from coal. The studies carried out indicate that taking into account 1000 terms makes it possible to disregard uncertainties that this parameter generates (Figure 7).
Figure 7.
The influence of the number of terms in the series (9) on the quality of the reproduction of the first s of an outburst.
The starting moment of the model studies corresponds with the second, during which the first piece of coal breaks away from the body of unmined coal. A time course of methane emission from the first piece of coal is calculated for all the grain fractions. Next, starting from the 2nd s of the model studies, an analogous course of methane emission is calculated for another piece of the crushed coal mass. For this part of the coal material, the 1st s of methane emission corresponds with the 2nd s of the model studies. The courses are added and the procedure is repeated up to the last piece of the crushed coal but the 1st s of the emission from the last, nth piece of coal corresponds with the nth s of the model studied. After that period of time, only those time courses of methane emission are added up that started during the outburst.
5.2. The Results of the Spherical Model
The analysis of the basic results of the model studies reveals an obvious difference between the emission of methane during the Budryk outburst and the Zofiówka outburst. It results from the fact that the value of the effective diffusion coefficient for the coal from the first mine is over 17 times as low as the same value for the other mine. The structurally changed coal from the Zofiówka coal mine will emit the same percentage of the original methane content considerably faster. The presence of structurally changed coal is due to the fact that the outburst was related to the presence of geological disturbances.
The other differences also result from the grain size distribution of the post-outburst masses. The weaker, structurally changed coal from the Zofiówka coal mine was crushed during the outburst to smaller grains than the coal from the Budryk coal mine. The rate of methane emission from coal depends on its grain size in the squared power or the height of the plane sheets, so the influence of comminution is substantial. Figure 8 and Figure 9 show the grain size distributions of the post-outburst masses. Figure 10 and Figure 11 present cumulative methane emissions for particular grain fractions in the initial phase of the outburst.
Figure 8.
The grain size distribution of the post-outburst masses—Zofiówka coal mine.
Figure 9.
The grain size distribution of the post-outburst masses—Budryk coal mine.
Figure 10.
Methane emission during the first 6 min of the outburst from particular grain fractions—Zofiówka coal mine.
Figure 11.
Methane emission during the first 6 min of the outburst from particular grain fractions—Budryk coal mine.
It should be emphasized that only a very short fragment of methane emission from post-outburst masses is analyzed. In the first s, the emission will be particularly determined by the relationships between the size of the fractions analyzed and the percentage shares of those fractions. It is well visible in the case of coal of higher diffusion coefficient from the Zofiówka coal mine. For about 30 s, the highest emission came from the smallest fraction analyzed, whose percentage share was small. However, from the 30th s, the highest emission came from the third grain fraction, in which percentage share is three times as high as the lowest one.
To be able to compare the emissions from particular grain sizes for both analyzed coals, the authors combined the grain fractions to broaden the fraction ranges. Comparing the emission from those grain fractions we can observe a significant influence of the higher share of the lower grain fractions in the case of the coal from the Budryk outburst (Figure 12). In this case, until the sixth minute of the outburst, almost all methane is emitted from the 0.5 mm grain fraction. In the case of the coal from the Budryk outburst, the percentage share of the 0.5–2 mm grain class was over 50% (Figure 13). As a result, from as early as the 10th s of the outburst the emission from this fraction was higher than the emission from the 0.125–0.5 mm fraction, whose percentage share was smaller than 16%.
Figure 12.
Methane emission in the first 6 s of the outburst from narrowed grain fractions—Zofiówka coal mine.
Figure 13.
Methane emission in the first 6 s of the outburst from narrowed grain fractions—Budryk coal mine.
Another significant difference concerns the amount of post-outburst masses whose, in the case of Zofiówka outburst, was eight times as much as in the case of Budryk outburst. The amplitude of the summary methane emission from coal is equal to the product of the mass of the output and the difference between the total and the desorbable content of methane.
The basic results of the simulation are presented in the graphs below. Figure 14 shows the methane emission reproducing the conditions of Zofiówka outburst. Depending on the assumed duration of the experiment, the time period in which the course is rising changes. In this phase destruction of the coal material takes place. It is discretized in s, which translates into the increase of the emission from the already crushed material. The highest instantaneous value of the emission corresponds with the last s of the process of coal crushing during the outburst. The completion of the outburst phase during which the destruction of the material takes place is started by a fragment of the decreasing course of methane emissions from coal. At this stage the total emission is a compound of a number of emissions which started at the moments of crushing of particular fragments of the unmined body of coal.
Figure 14.
A model methane emission based on a sphere during the Zofiówka outburst.
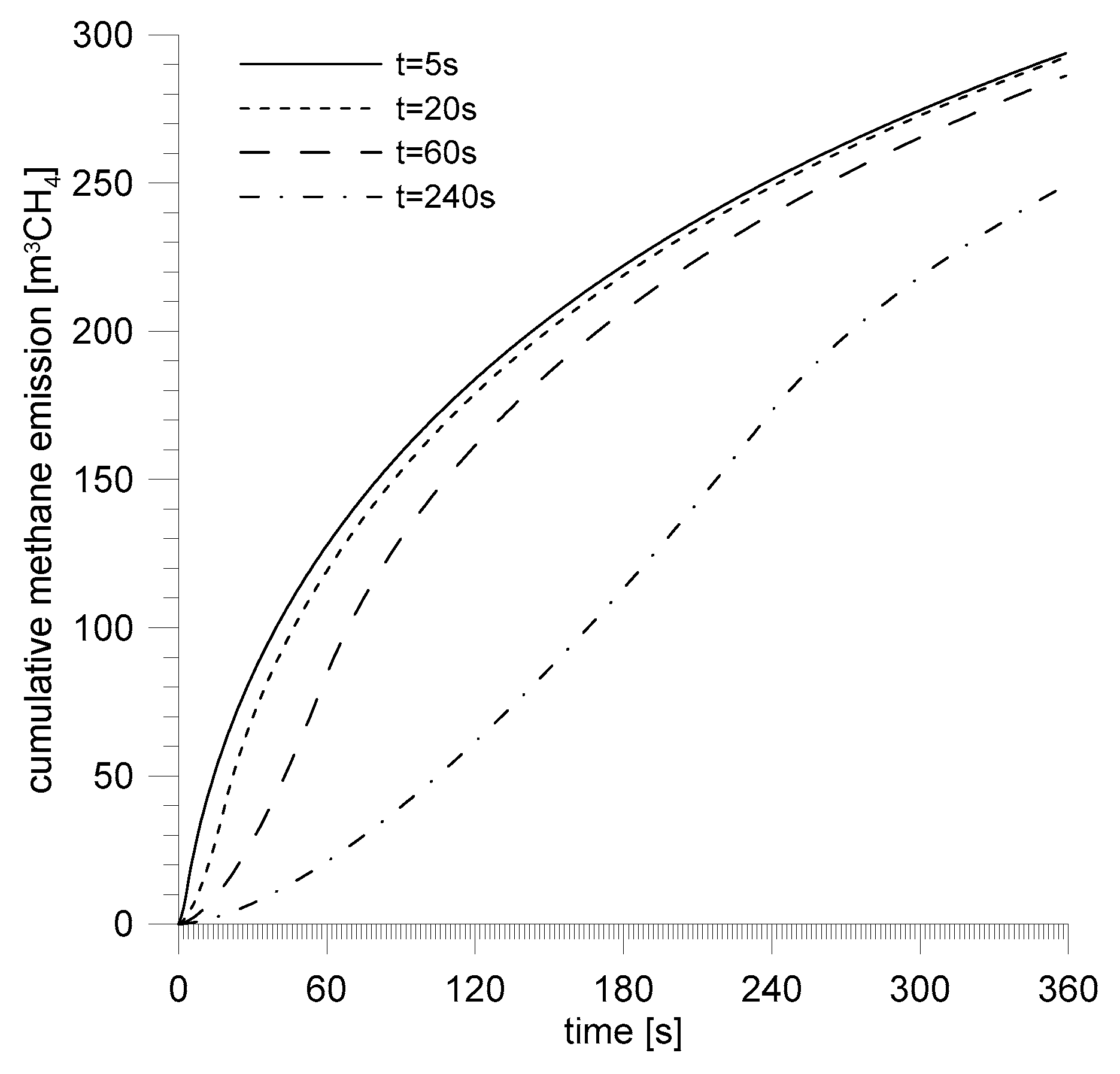
Figure 15 shows cumulative emissions for particular assumed time periods of outbursts. On particular curves we can see inflection points which correspond with the value of the maxima of methane emission curves and so the moments of time for which the phase of the outburst connected with crushing of the body of coal finishes.
Figure 15.
Model cumulative methane emissions determined based on a sphere during the Zofiówka outburst.
An analogous simulation course takes place for the attempt to reproduce the accident from Budryk (Figure 16 and Figure 17). Due to the smaller scale of the outburst—which translates into the amount of crushed coal material being eight times as small and the value of the effective diffusion coefficient being seventeen times as small (lack of changed coal)—the amount of methane is smaller and its emission rate is lower.
Figure 16.
A model methane emission based on a sphere during the Budryk outburst.
Figure 17.
Model cumulative methane emissions determined based on a sphere during the Budryk outburst.
5.3. The Results of the Model for the Plane Sheet
Many researchers suggest that in the first phase of the destruction of the body of coal, coal rapidly flakes off the face. During the transport of post-outburst masses the flakes intensively collide with one another und undergo further destruction. As a result, a majority of post-outburst masses is of a sphere-like shape. The simulations presented below make it possible to assess to what extent the methane emission would differ in the initial phase of an outburst if the shape of the post-outburst material was flakelike instead of sphere-like. In their deliberations, the authors adopted an assumption that particular grain fractures represent plane sheets with a height equal to the average boundary of the classes.
When comparing the results for plane sheets (Figure 18, Figure 19, Figure 20 and Figure 21) with the results for a sphere (Figure 14, Figure 15, Figure 16 and Figure 17), it can be observed that methane emissions during an outburst and within the first few minutes after an outburst, are higher in the model assuming a spherical shape of the grains. Obviously, adopting a height of particular plane sheets that is different than the average of the grain fractions would slightly affect the results achieved but the emissions would still be slower than those for spherical grains. The interpretation of the results follows from the fact that methane emission will proceed in the direction of the highest gradient of sorbate concentration, which in the case of a plane sheet, is limited to the direction perpendicular to the plane of symmetry (Figure 3). In the case of a sphere, the directions of the emission radiate from its center to the surface and a statistical molecule of gas has a shorter path to travel. Generally speaking, solids with the smallest surface to volume ratio allow for a faster gas transport.
Figure 18.
Model methane emission based on the plane sheet model during Zofiówka outburst.
Figure 19.
Model cumulative emissions of methane determined based on the plane sheet model during Zofiówka outburst.
Figure 20.
Model methane emission based on the plane sheet model during Budryk outburst.
Figure 21.
Model cumulative emissions of methane determined based on the plane sheet model during Budryk outburst.
5.4. Actual Methane Emission during an Outburst and the Model Results
Gas and rock outbursts are difficult to foresee; hence, the information of the parameters which accompany them most often comes from the measurement equipment which is routinely installed in excavations. In the case of the two discussed outbursts, the automatic methane recording devices, integrated with the methane measuring networks in the mines, worked properly. Their readings are presented in Figure 22 for Zofiówka outburst and in Figure 23 for Budryk outburst.
Figure 22.
Methane concentration in the excavation after Zofiówka outburst.
Figure 23.
Methane concentration in the excavation after Budryk outburst.
The concentrations registered increased very rapidly. Obtaining the maximum value took from 10 s to 12 s. Similar information can be found in [31]. The dynamics of a methanometer recording is a certain resultant of the metrological properties of a sensor used, the parameters of ventilation, and the geometry of the excavation, as well as the distance from the place of the outburst. Determining the parameters of the ventilation network is particularly difficult because the infrastructure of the ventilation system in the mine, including ventube fans, usually gets destroyed.
During the methane and rock outburst in Zofiówka coal mine, the mine services estimated that within the first 24 h, over 15,000 m3 of methane flew to the excavation but 8000 m3 in the first h. The maximum amount of methane which might have been liberated from the crushed coal can be calculated from the following formula:
where:
- total possible amount of methane that can be liberated from coal, m3CH4;
- desorbable methane content in coal, m3CH4/Mg;
- methane content, m3CH4/Mg;
- methane sorption capacity of coal at 1 bar, m3CH4/Mg;
- the mass of coal crushed during an outburst, Mg.
Adopting the parameters provided by the mine: = 5.56 m3/Mg, = 280 Mg and those determined by the authors: = 1.79 m3/Mg, we get = 1055.6 m3. It is over 14 times less than the network of methanometers recorded. This value may have been, in part, overcalculated due to the afore mentioned damage to the ventilation infrastructure caused by the outburst but otherwise, it is determined by the gas liberated from the fault. In the vicinity of the fault, services found structurally changed coal with permeability and diffusivity from between ten and dozens of times as high as that of the coal in the surrounding seam.
The Budryk outburst is easier to interpret. The report of the commission appointed to investigate the causes of the accident contains information that as a result of the outburst, 340 m3 of methane were ejected into the zone close to the face of the excavation and the values of key parameters were as follows: = 12.33 m3/Mg, = 35 Mg, while the value measured by the authors was = 1.78 m3/Mg. On the basis of these values we get = 369.3 m3. In this case, the similarity with the calculations from the mine is very close.
The comparative analysis of the model methane emission curves and the records of the mine methane measuring systems (Figure 24 and Figure 25) reveals close qualitative similarities. The curves representing the concentration of methane in the excavation after the outburst are inert in relation to the curves of methane emission from coal. Their potential transformation to the methane emission curves is possible, but the uncertainties resulting from the damage to the mine ventilation system, as well as the geometry of the mine, would be considerable.
Figure 24.
Methane concentration in the excavation after the Zofiówka outburst juxtaposed with the model methane emission.
Figure 25.
Methane concentration in the excavation after the Budryk outburst juxtaposed with the model methane emission.
6. Conclusions
In spite of many centuries of research into the subject, gas and rock outbursts are phenomena which still surprise miners, posing a threat to their lives and causing considerable material losses. The authors analyzed the aspect connected with methane emission from crushed coal during an outburst. The research is a combination of model analyses based on the solution of Fick diffusion equations proposed by Crank, known in the literature as the unipore model for a sphere and a plane sheet, and laboratory, as well as in situ, analyses. All the studies involved two outbursts which occurred in two coal mines located the Upper Silesia Coal Basin in Poland—Zofiówka and Budryk. There is a striking difference between those two accidents. The Zofiówka outburst was connected with an unrecognized tectonic disturbance, which resulted in the death of three miners, transport of 280 Mg of post-outburst masses, and the emission of 15,000 m3 of CH4. In Budryk, the outburst was small and occurred in an area free from tectonic disturbances. It resulted in the movement of 35 Mg of coal masses into the excavation and the emission of about 340 m3 of CH4.
The results of a series of laboratory studies and in situ measurements were used as the parameters for model considerations. The curves of the grain composition of the post-outburst masses were plotted. It is worth noting that the share of smaller grain fractions, particularly in the post-outburst masses from the Zofiówka coal mine, is large. Outbursts connected with tectonic faults are often accompanied by structurally changed coal, which also occurred in this case. Strength properties of such coal are considerably worse.
Sorption analyses revealed similar, relatively low values of sorption capacities at the pressure of 1 bar, i.e., 1.79–1.78 cm3/g. Parameters of Langmuire isotherms from both coals also did not show any singularities and amounted to 15.95 cm3/g and 16.97 cm3/g for Zofiówka and Budryk, respectively.
Another consequence of the presence of structurally changed coal in the area of tectonic disturbances is a very high value of the effective diffusion coefficient. For the analyzed post-outburst masses from Zofiówka, it was 1.73 × 10−8 cm2/s, which is a value about one order of magnitude higher compared to typical mines in this region. The effective diffusion coefficient of the coal from the Budryk coal mine was at the level of 9.97 × 10−9 cm2/s, which is a value six times as low as the same typical value for the mines in that region. However, the authors did not find any microscopic features characteristic for structurally changed coals, such as cataclastic coal.
For their calculations, the authors used the methane content data from the measurements made in the mines, in the closest vicinity of the outbursts. In the case of Zofiówka, the methane content was determined to be at the level of 5.56 m3CH4/Mg, which is a relatively low value. According to Polish regulations concerning the categorization of outburst hazard, the threshold value classifying seams as threatened with outbursts is 8 m3CH4/Mg. In the case of Budryk coal mine, the methane content was identified to be 12.33 m3/Mg. Compared with typical values for other excavation in that mine, it was high.
In their deliberations, the authors also used the measurements performed by the measurement networks in the mines, but they used the readings of the methanometer closest to the outburst that was not buried or damaged.
On the basis of the results of the analyses of the grain composition of the post-outburst masses, methane sorption capacities at atmospheric pressure, methane content, the value of the effective diffusion coefficient, and the mass of the post-outburst masses, the authors carried out model analyses. The considerations were made for a model assuming a spherical and a plane sheet shape of coal grains. The plane sheet shape is compliant with one of the theories assuming that in the coal material destruction phase, coal rapidly flakes off the coal body and, subsequently, the flakes are further crushed during transport along the excavation.
The solution in the form of a series expansion provides correct results with a sufficiently large number of summed elements. It was confirmed that for a proper reproduction of the emission within the first few s of the outburst, the uncertainties connected with the number of the terms in a series cannot be smaller than 500.
The authors checked the emission share of particular grain fractions in the total emission of methane. Approximately, the time constant describing the kinetics of methane emission is inversely proportional to the square of the equivalent radius representing a grain fracture and proportional to the effective diffusion coefficient. Moreover, the emission from particular grain fractions depends on the mass share of particular fractions in the whole of the crushed material. Given the analyzed values of the effective diffusion coefficient and the grain composition curves, we can state that grain fractions below 2 mm have a considerable share in the first few min of the outburst.
The higher values of methane emission in particular s for the outburst model in the Zofiówka coal mine as compared to the Budryk coal mine also result from much higher values of the effective diffusion coefficient, which is proved by the analyses of the kinetics of methane accumulation. In order to provide a picture of the significance of the effective diffusion coefficient, we can say that a coal with a twenty times higher diffusion coefficient will emit the same amount of methane (percentage-wise) in a time period twenty times shorter.
The basic assumption for the model analyses was the duration of the outburst, understood as a time period in which the body of coal is crushed. The authors adopted the following variants: 5 s, 20 s, 60 s, and 240 s. It was assumed that it proceeds in a linear manner, i.e., for an outburst that lasts n s, 1/n of the whole of the crushed coal material is destroyed. The authors generated theoretical courses of methane emissions in particular s for the Zofiówka and Budryk outbursts. On the basis of the emission from particular s, graphs were made showing cumulated emission starting from the first s. The authors made quantitative and qualitative comparisons of the emission courses calculated for spherical grains and plane sheet grains.
The results of the model of methane emission from coal were compared with the CH4 concentration changes, which were recorded during the outbursts. Assuming that airing of the excavation was at a much higher level than that of methane emission, the expected shape of the curve describing the concentration should be similar to the curve of methane emission with a small inertia. In the case of the Zofiówka coal mine, the shapes of the momentary methane emission closest to courses of the concentration changes correspond with outburst durations between 60 s and 240 s. In the case of the Budryk coal mine, the closest similarity corresponds with the model emission determined with the assumption that the outburst lasted 60 s. The summary amount of the liberated methane, estimated by the mine services based on the readings from the methanometer installed at the outlet of the excavation where the outburst occurred, was considerably higher than the model amount in the case of Zofiówka and similar in the case of Budryk. The explanation for this is connected with the nature of the analyzed outbursts. The unrecognized tectonic disturbance from the Zofiówka outburst in the form of two interlocking faults was an additional volume of good permeability in which a considerable amount of methane was accumulated. The Budryk outburst had no characteristics of a tectonic disturbance, and its model analysis showed very close similarity with the measurements in situ.
Author Contributions
Conceptualization, S.N.; methodology, A.P.; software, S.N.; validation, S.N. and A.P.; formal analysis, K.K.; investigation, S.N. and A.P.; resources, S.N. and A.P.; data curation, K.K.; writing—original draft preparation, S.N. and A.P.; writing—review and editing, K.K. and L.T.P.B.; visualization, S.N. and L.T.P.B.; supervision, S.N.; project administration, L.T.P.B.; funding acquisition, S.N. and A.P. and K.K. and L.T.P.B.
Funding
This research was funded by The Strata Mechanics Research Institute of the Polish Academy of Sciences.
Acknowledgments
This work has been carried out as part of the statutory research of The Strata Mechanics Research Institute of the Polish Academy of Sciences.
Conflicts of Interest
The authors declare no conflict of interest.
References
- Lamaa, R.D.; Bodziony, J. Management of outburst in underground coal mines. Int. J. Coal Geol. 1998, 35, 83–115. [Google Scholar] [CrossRef]
- Xu, L.; Jiang, C. Initial desorption characterization of methane and carbon dioxide in coal and its influence on coal and gas outburst risk. Fuel 2017, 203, 700–706. [Google Scholar] [CrossRef]
- Lama, R.D.; Bodziony, J. Outbursts of Gas, Coal and Rock in Underground Coal Mines; R.D. Lama & Associates: Wollongong, Australia, 1996; 499p. [Google Scholar]
- Kissell, F.N.; Iannacchione, A. Chapter 9—Gas Outbursts in Coal Seams. Coal Bed Methane 2014, 177–184. [Google Scholar] [CrossRef]
- An, F.; Yuan, Y.; Chen, X.; Li, Z.; Li, L. Expansion Energy of coal gas for the initiation of coal and gas outbursts. Fuel 2019, 235, 551–557. [Google Scholar] [CrossRef]
- Fan, C.; Li, S.; Luo, M.; Du, W.; Yang, Z. Coal and gas outburst dynamic system. Int. J. Min. Sci. Technol. 2017, 27, 49–55. [Google Scholar] [CrossRef]
- Sun, D.; Hu, Q.; Miao, F. A Mathematical Model of Coal-gas Flow Conveying In the Process of Coal and Gas Outburst and Its Application. Procedia Eng. 2011, 26, 147–153. [Google Scholar] [CrossRef]
- Zhou, A.; Wang, K.; Feng, T.; Wang, J.; Zhao, W. Effects of fast-desorbed gas on the propagation characteristics of outburst shock waves and gas flows in underground roadways. Process Saf. Environ. Prot. 2018, 119, 295–303. [Google Scholar] [CrossRef]
- Kidybiński, A. The effect of porosity and the strength of coal on the dynamics of coal and methane outburst-the bpm modelling. Arch. Min. Sci. 2011, 56, 415–426. [Google Scholar]
- Wierzbicki, M. An impact of mechanical stress in coal briquettes on sorption of carbon dioxide. Arch. Min. Sci. 2017, 62, 483–494. [Google Scholar] [CrossRef]
- Wang, G.; Huang, W.; Sun, L.; Wu, M. High drilling methane drainage in fracturing zones formed by water injection into boreholes. Arch. Min. Sci. 2016, 61, 137–156. [Google Scholar] [CrossRef]
- Wang, C.; Yang, S.; Yang, D.; Li, X.; Jiang, C. Experimental analysis of the intensity and ecolution of coal and gas outbursts. Fuel 2018, 226, 252–262. [Google Scholar] [CrossRef]
- Skoczylas, N. Laboratory study of the phenomenon of methane and coal outburst. Int. J. Rock Mech. Min. Sci. 2012, 55, 102–107. [Google Scholar] [CrossRef]
- Beamish, B.; Crosdale, P.J. Instantaneous outbursts in underground coal mines: An overview and association with coal type. Int. J. Coal Geol. 1998, 35, 27–55. [Google Scholar] [CrossRef]
- Ramandi, H.; Mostaghimi, P.; Armstrong, R.; Saadatfar, M.; Pinczewski, W. Porosity and permeability characterization of coal: a micro-computed tomography study. Int. J. Coal Geol. 2016, 154–155, 57–68. [Google Scholar] [CrossRef]
- An, F.; Cheng, Y.; Wang, L.; Li, W. A numerical model for outburst including the effect of adsorber gas on coal deformation and mechanical properties. Comput. Geotech. 2013, 54, 222–231. [Google Scholar] [CrossRef]
- Li, H.; Ogawa, Y.; Shimada, S. Mechanism of methane flow through sheared coals and its role on methane recovery. Fuel 2003, 82, 1271–1279. [Google Scholar] [CrossRef]
- Wierzbicki, M.; Skoczylas, N.; Kudasik, M. The use of a unipore diffusion model to describe the kinetics of methane release from coal spoil in the longwall environment. Stud. Geotech. Mech. 2017, 39, 81–89. [Google Scholar] [CrossRef]
- Yang, Y.; Sun, J.; Li, Z.; Li, J.; Zhang, X.; Liu, L.; Yan, D.; Zhou, Y. Influence of soluble organic matter on mechanical properties of coal and occurrence of coal and gas outburst. Powder Technol. 2018, 332, 8–17. [Google Scholar] [CrossRef]
- Doyle, R. Geological Structures in Relation to Outburst Events. In Proceedings of the Aziz, N (ed), Coal 2002: Coal Operators’ Conference, University of Wollongong & the Australasian Institute of Mining and Metallurgy, Wollongong, Australia, 6–8 February 2002; pp. 53–59. [Google Scholar]
- Zhou, Q.; Herrera, J.; Hidalgo, A. Development of a quantitative assessment approach for the coal and gas outbursts in coal mines using rock engineering systems. Int. J. Min. Reclam. Environ. 2019, 33, 21–41. [Google Scholar] [CrossRef]
- Li, W.; Ren, T.; Busch, A.; Hartog, S.D.; Cheng, Y.; Qiao, W.; Li, B. Architecture, stress state and permeability of a fault zone in Jiulishan coal mine, China: Implication for coal and gas outbursts. Int. J. Coal Geol. 2018, 198, 1–13. [Google Scholar] [CrossRef]
- Kudasik, M.; Pajdak, A.; Skoczylas, N. The validation process of the method of balancing gas contained in the pore space of rocks via rock comminution. Arch. Min. Sci. 2018, 63, 989–1005. [Google Scholar] [CrossRef]
- Cao, Y.; Mitchell, G.D.; Davis, A.; Wang, D. Deformation metamorphism of bituminous and anthracite coals from China. Int. J. Coal Geol. 2000, 43, 227–242. [Google Scholar] [CrossRef]
- Kudasik, M.; Skoczylas, N.; Pajdak, A. The Repeatability of Sorption Processes Occurring in the Coal-Methane System during Multiple Measurement Series. Energies 2017, 10, 661. [Google Scholar] [CrossRef]
- Młynarczuk, M.; Wierzbicki, M. Stereological and profilometry methods in detection of structural deformations in coal samples collected from the rock and outburst zone in the “Zofiówka” Colliery. Arch. Min. Sci. 2009, 54, 189–201. [Google Scholar]
- Skoczylas, N. Determining the gas permeability coefficient of a porous medium by means of the bubble-counting flow meter. Meas. Sci. Technol. 2015, 26, 085004. [Google Scholar] [CrossRef]
- Wierzbicki, M.; Pajdak, A.; Baran, P.; Zarębska, K. Isosteric heat of sorption of methane on selected hard coals. Przem. Chem. 2019, 98, 625–629. [Google Scholar] [CrossRef]
- Pajdak, A. Parameters of N2 and CO2 adsorption onto coal at various temperatures. In Proceedings of the 18th International Multidisciplinary Scientific Geoconference SGEM, Albena, Bulgaria, 30 June–9 July 2018; pp. 633–640. [Google Scholar] [CrossRef]
- Skoczylas, N.; Topolnicki, J. The coal-gas system–the effective diffusion coefficient. Int. J. Oil Gas Coal Technol. 2016, 12, 412–424. [Google Scholar] [CrossRef]
- Yang, D.; Chen, Y.; Tang, J.; Li, X.; Jiang, C.; Wang, C.; Zhang, C. Experimental research into the relationship between initial gas release and coal-gas outbursts. J. Nat. Gas Sci. Eng. 2018, 50, 157–165. [Google Scholar] [CrossRef]
© 2019 by the authors. Licensee MDPI, Basel, Switzerland. This article is an open access article distributed under the terms and conditions of the Creative Commons Attribution (CC BY) license (http://creativecommons.org/licenses/by/4.0/).
























