Hybrid PV-Wind, Micro-Grid Development Using Quasi-Z-Source Inverter Modeling and Control—Experimental Investigation
Abstract
:1. Introduction
2. Hybrid PV-Wind Micro Grid Structure
2.1. PVG Mathematical Model
2.2. Wind Turbine Modeling
2.3. Electric Equivalent Circuit of the Battery Model
3. Power Electronic Converters used to Control the Proposed Micro Grid System. Description and Mathematical Modelling
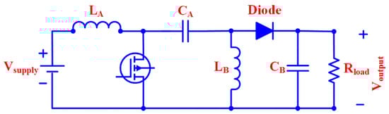
3.1. SEPIC Converter Model
3.2. Modified Power Ratio Variable Step Based P&O MPPT
3.3. Quasi Z-Source Inverter Mathematical Modeling
4. Experimental Setup Description and Results
4.1. Description of the Experimental Setup
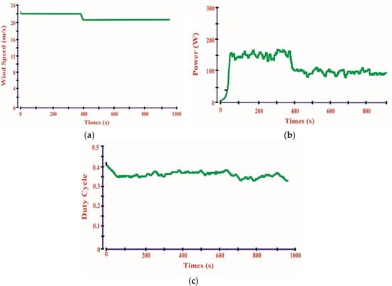
4.2. Experimental Results and Scenarious Development
5. Conclusions
- (i)
- The MPRVS based P&O MPPT performance with SEPIC converter has been validated effectively, which delivers MPP achievement with low power oscillation for the PV system.
- (ii)
- The performance of the Quasi Z-source inverter has been evaluated experimentally as having better buck/boost characteristics with fast dc-link voltage regulation under different operating conditions.
- (iii)
- The proposed QZsi topology for a hybrid PV-Wind Turbine application in a micro grid enhanced reliability, good output power quality and efficiency improvements.
- (iv)
- Experimental results under dynamic conditions, such as step-changed in wind speed or solar irradiation, reveal that optimal power has been tracked through the PV-Wind renewable sources and proved the validity of the proposed solution.
- (v)
- The two-diode model-based PV Generator provides high power extraction when compared to the single diode model.
Author Contributions
Funding
Conflicts of Interest
Nomenclature
| RSE | Resistance in series |
| RParallel | Resistance in parallel |
| TSTC | Temperature at STC (Standard Test Condition) |
| GSTC | Solar irradiance at STC |
| KS | Coefficient of short circuit current |
| Photo current at STC | |
| Ambient temperature | |
| G | Solar irradiation |
| IShort_STC | Short circuit current at STC |
| Vopen_STC | Open circuit current at STC |
| VThermal | Diode thermal voltage |
| KVL | Voltage temperature coefficient |
| ρa,d | Air density ρa,d |
| ωG | Speed of generator |
| ωGM | Peak allowed generator speed |
| ηgear | Gear ratio |
| EB | Battery fixed voltage |
| VPO | Polarized voltage |
| QBat | Capacity of battery |
| IBattery | Battery current |
| Aexp | Amplitude of exponential zone |
| Bexp | Inverse time constant exponential zone |
| Current ripple | |
| ∆V0 | Ripple voltage |
| Switched frequency | |
| Sensed voltage and current | |
| ∆D | Step perturbation of duty ratio |
| dT | Fixed step size |
| K | Variable power ratio |
| PI | Proportional Integral |
References
- Tiwari, S.K.; Singh, B.; Goel, P.K. Design and Control of Micro-Grid fed by Renewable Energy Generating Sources. IEEE Trans. Ind. Appl. 2018, 54, 2041–2050. [Google Scholar] [CrossRef]
- Mi, Y.; Zhang, H.; Tian, Y.; Yang, Y.; Li, J.; Li, J.; Wang, L. Control and Operation of Hybrid Solar/Wind Isolated DC Micro grid. In Proceedings of the IEEE Conference and Expo Transportation Electrification Asia-Pacific (ITEC Asia-Pacific), Beijing, China, 31 August–3 September 2014; pp. 1–5. [Google Scholar]
- Shastry, A.; Suresh, K.V.; Vinayaka, K.U. Hybrid Wind-Solar Systems using Cuk-Sepic Fused Converter with Quasi-Z-Source Inverter. In Proceedings of the IEEE Power, Communication and Information Technology Conference (PCITC), Bhubaneswar, India, 15–17 October 2015; pp. 856–861. [Google Scholar]
- Kassem, A.M.; Zaid, S.A. Optimal Control of a Hybrid Renewable Wind/Fuel Cell Energy in Micro Grid Application. In Proceedings of the Nineteenth International Middle East Power Systems Conference (MEPCON), Shibin El Kom, Egypt, 19–21 December 2017; pp. 84–90. [Google Scholar]
- Tiwari, S.K.; Singh, B.; Goel, P.K. Design and Control of Micro-Grid fed by Renewable Energy Generating Sources. In Proceedings of the IEEE 6th International Conference on Power Systems (ICPS), New Delhi, India, 4–6 March 2016; pp. 1–6. [Google Scholar]
- Ahmed, J.; Salam, Z. An Enhanced Adaptive P&O MPPT for Fast and Efficient Tracking under Varying Environmental Conditions. IEEE Trans. Sustain. Energy 2018, 9, 1487–1496. [Google Scholar]
- Vavilapalli, V.; Umashankar, S.; Sanjeevikumar, P.; Ramachandramurthy, V.K. Design and Real-Time Simulation of an AC Voltage Regulator based Battery Charger for Large-Scale PV-Grid Energy Storage Systems. IEEE Access 2017, 5, 25158–25170. [Google Scholar] [CrossRef]
- Hussain, S.; Alammari, R.; Jafarullah, M.; Iqbal, A.; Sanjeevikumar, P. Optimization of Hybrid Renewable Energy System Using Iterative Filter Selection Approach. IET Renew. Power Gen. 2017, 11, 1440–1445. [Google Scholar] [CrossRef]
- Dramohan, K.; Padmanaban, S.; Kalyanasundaram, R.; Bhaskar, M.S.; Mihet-Popa, L. Grid Synchronization of a Seven-Phase Wind Electric Generator Using d-q PLL. Energies 2017, 10, 926. [Google Scholar] [CrossRef]
- Szeidert, I.; Prostean, O.; Filip, I.; Vasar, C.; Mihet-Popa, L. Issues regarding the modeling and simulation of wind energy conversion system’s components. In Proceedings of the International Conference on Automation, Quality & Testing, Robotics (AQTR 2008), Cluj-Napoca, Romania, 22–25 May 2008; pp. 225–228. [Google Scholar]
- Mihet-Popa, L.; Bindner, H. Simulation models developed for voltage control in a distribution network using energy storage systems for PV penetration. In Proceedings of the 39th Annual Conference of the IEEE Industrial Electronics Society, Vienna, Austria, 10–13 November 2013; pp. 7487–7492. [Google Scholar]
- Maheswaran, G.; Hidayathullah, M.; Ismail, B.C.; Mihet-Popa, L.; Sanjeevikumar, P. Energy Management Strategy for Rural Communities’ DC Micro Grid power system structure with Maximum Penetration of Renewable Energy Sources. Appl. Sci. 2018, 11, 585. [Google Scholar] [CrossRef]
- Priyadarshi, N.; Kumar, V.; Yadav, K.; Vardia, M. An Experimental Study on Zeta buck-boost converter for Application in PV system. In Handbook of Distributed Generation; Springer: Cham, Switzerland, 2017; pp. 393–406. [Google Scholar]
- Priyadarshi, N.; Anand, A.; Sharma, A.K.; Azam, F.; Singh, V.K.; Sinha, R.K. An Experimental Implementation and Testing of GA based Maximum Power Point Tracking for PV System under Varying Ambient Conditions Using dSPACE DS 1104 Controller. Int. J. Renew. Energy Res. 2017, 7, 255–265. [Google Scholar]
- Kumar, N.; Hussain, I.; Singh, B.; Panigrahi, B.K. Framework of Maximum Power Extraction from Solar PV Panel using Self Predictive Perturb and Observe Algorithm. IEEE Trans. Sustain. Energy 2017, 9, 895–903. [Google Scholar] [CrossRef]
- Elgendy, M.A.; Zahawi, B.; Atkinson, D.J. Assessment of the Incremental Conductance Maximum Power Point Tracking Algorithm. IEEE Trans. Sustain. Energy 2013, 4, 108–117. [Google Scholar] [CrossRef]
- Zamora, A.C.; Vazquez, G.; Sosa, J.M.; Rodriguez, P.R.M.; Juarez, M.A. Efficiency Based Comparative Analysis of Selected Classical MPPT Methods. In Proceedings of the IEEE International Autumn Meeting on Power, Electronics and Computing, Ixtapa, Mexico, 8–10 November 2017; pp. 1–6. [Google Scholar]
- Abu-Rub, H.; Iqbal, A.; Ahmed, S.K.M.; Peng, F.Z.; Li, Y.; Baoming, G. Quasi-Z-Source Inverter-Based Photovoltaic Generation System with Maximum Power Tracking Control Using ANFIS. IEEE Trans. Sustain. Energy 2013, 4, 11–20. [Google Scholar] [CrossRef]
- Mohamed, A.A.S.; Berzoy, A.; Mohammed, O. Design and Hardware Implementation of FL-MPPT Control of PV Systems Based on GA and Small-Signal Analysis. IEEE Trans. Sustain. Energy 2017, 8, 279–290. [Google Scholar] [CrossRef]
- Wang, L.; Singh, C. Population-Based Intelligent Search in Reliability Evaluation of Generation Systems with Wind Power Penetration. IEEE Trans. Power Syst. 2008, 23, 1336–1345. [Google Scholar] [CrossRef]
- Koad, R.B.A.; Zobaa, A.F.; El-Shahat, A. A Novel MPPT Algorithm Based on Particle Swarm Optimisation for Photovoltaic Systems. IEEE Trans. Sustain. Energy 2017, 8, 468–476. [Google Scholar] [CrossRef]
- Priyadarshi, N.; Sharma, A.K.; Azam, F. A Hybrid Firefly-Asymmetrical Fuzzy Logic Controller based MPPT for PV-Wind-Fuel Grid Integration. Int. J. Renew. Energy Res. 2017, 7, 1546–1560. [Google Scholar]
- Sundareswaran, K.; Sankar, P.; Nayak, P.S.R.; Simon, S.P.; Palani, S. Enhanced Energy Output from a PV System Under Partial Shaded Conditions Through Artificial Bee Colony. IEEE Trans. Sustain. Energy 2015, 6, 18–209. [Google Scholar] [CrossRef]
- Kalaam, R.N.; Muyeen, S.M.; Al-Durra, A.; Hasanien, H.N.; Al-Wahedi, K. Optimisation of controller parameters for grid tied photovoltaic system at faulty network using artificial neural network-based cuckoo search algorithm. IET Renew. Power Gen. 2017, 11, 1517–1526. [Google Scholar] [CrossRef]
- Priyadarshi, N.; Padmanaban, S.; Mihet-Popa, L.; Blaabjerg, F.; Azam, F. Maximum Power Point Tracking for Brushless DC Motor-Driven Photovoltaic Pumping Systems Using a Hybrid ANFIS-FLOWER Pollination Optimization Algorithm. Energies 2018, 11, 1067. [Google Scholar] [CrossRef]
- Priyadarshi, N.; Padmanaban, S.; Maroti, P.K.; Sharma, A. An Extensive Practical Investigation of FPSO-Based MPPT for Grid Integrated PV System Under Variable Operating Conditions with Anti-Islanding Protection. IEEE Syst. J. 2018, PP, 1–11. [Google Scholar] [CrossRef]
- Priyadarshi, N.; Padmanaban, S.; Bhaskar, M.S.; Blaabjerg, F.; Sharma, A. A Fuzzy SVPWM Based Inverter Control Realization of Grid Integrated PV-Wind System with FPSO MPPT Algorithm for a Grid-Connected PV/Wind Power Generation System: Hardware Implementation. IET Electr. Power Appl. 2018, 12, 962–971. [Google Scholar] [CrossRef]
- Alanisamy, R.; Mutawakkil, A.U.; Selvakumar, K.; Karthikeyan, D. Modelling and simulation of z source inverter based grid connected PV system. In Proceedings of the 2014 IEEE International Conference on Computational Intelligence and Computing Research, Coimbatore, India, 18–20 December 2014; pp. 1–4. [Google Scholar]
- Kumaran, B.A.; Sekhar, C.S.A.; Bala, V. PV Powered Quasi Z-Source Inverter for Agricultural Water Pumping System. In Proceedings of the Third International Conference on Science Technology Engineering & Management (ICONSTEM), Chennai, India, 23–24 March 2017; pp. 544–549. [Google Scholar]
- Haji-Esmaeili, M.M.; Babaei, E.; Sabahi, M. High Step-Up Quasi-Z Source DC-DC Converter. IEEE Trans. Power Electron. 2018, 1. [Google Scholar] [CrossRef]
- Zhou, Y.; Liu, L.; Li, H. A High-Performance Photovoltaic Module-Integrated Converter (MIC) Based on Cascaded Quasi-Z-Source Inverters (qZSI) Using eGaN FETs. IEEE Trans. Power Electron. 2013, 28, 2727–2738. [Google Scholar] [CrossRef]
- Kayiranga, T.; Li, H.; Lin, X.; Shi, Y.; Li, H. Abnormal Operation State Analysis and Control of Asymmetric Impedance Network-Based Quasi-Z-Source PV Inverter (AIN-qZSI). IEEE Trans. Power Electron. 2016, 31, 7642–7650. [Google Scholar] [CrossRef]
- AsSakka, A.O.; Hassan, M.A.M.; Senjyn, T. Small signal modeling and control of PV based QZSI for grid connected applications. In Proceedings of the 2017 International Conference on Modern Electrical and Energy Systems (MEES), Kremenchuk, Ukraine, 15–17 November 2017. [Google Scholar] [CrossRef]
- Tey, K.S.; Mekhilef, S.; Seyedmahmoudian, M.; Horan, B.; Oo, A.T.; Stojcevski, A. Improved Differential Evolution-based MPPT Algorithm using SEPIC for PV Systems under Partial Shading Conditions and Load Variation. IEEE Trans. Ind. Inform. 2018, 1. [Google Scholar] [CrossRef]
- Jain, S.; Shadmand, M.B.; Balog, R.S. Decoupled Active and Reactive PowerPredictive Control for PV Applications using a Grid-tied Quasi-Z-Source Inverter. IEEE J. Emerg. Sel. Top. Power Electron. 2018, 1. [Google Scholar] [CrossRef]
- Liu, Y.; Ge, B.; Abu-Rub, H. Modelling and controller design of quasi-Z-sourcecascaded multilevel inverter-based three-phase grid-tie photovoltaic power system. IET Renew. Power Gen. 2014, 8, 925–936. [Google Scholar] [CrossRef]
- Amini, M.H.; Broojeni, K.G.; Dragičević, T.; Nejadpak, A.; Iyengar, S.S.; Blaabjerg, F. Application of Cloud Computing in Power Routing for Clusters of MicrogridsUsing Oblivious Network Routing Algorithm. In Proceedings of the 19th European Conference on Power Electronics and Applications (EPE’17 ECCE Europe), Warsaw, Poland, 11–14 September 2017; pp. P.1–P.11. [Google Scholar]
- Mohammadi, A.; Dehghani, M.J.; Ghazizadeh, E. Game Theoretic Spectrum Allocation in Femtocell Networks for Smart Electric Distribution Grids. Energies 2018, 11, 1635. [Google Scholar] [CrossRef]
- Vigneysh, T.; Kumarappan, N. Operation and Control of Hybrid Microgrid Using ZSource Converter in Grid Tied Mode. In Proceedings of the 2nd International Conference on Applied and T heoretical Computing and Communication Technology (iCATccT), Bangalore, India, 21–23 July 2016; pp. 318–323. [Google Scholar]
















| SI. No. | Parameters | Value |
|---|---|---|
| 1. | Inductors () | 0.42 mH |
| 2. | Capacitors ( = ) | 3.5 × 10−3 µF |
| 3. | Current ripple ( = ) | 0.5 A |
| 4. | Voltage ripple () | 1 × 10−3 V |
| 5. | Switching frequency () | 20 Hz |
© 2018 by the authors. Licensee MDPI, Basel, Switzerland. This article is an open access article distributed under the terms and conditions of the Creative Commons Attribution (CC BY) license (http://creativecommons.org/licenses/by/4.0/).
Share and Cite
Priyadarshi, N.; Padmanaban, S.; Ionel, D.M.; Mihet-Popa, L.; Azam, F. Hybrid PV-Wind, Micro-Grid Development Using Quasi-Z-Source Inverter Modeling and Control—Experimental Investigation. Energies 2018, 11, 2277. https://doi.org/10.3390/en11092277
Priyadarshi N, Padmanaban S, Ionel DM, Mihet-Popa L, Azam F. Hybrid PV-Wind, Micro-Grid Development Using Quasi-Z-Source Inverter Modeling and Control—Experimental Investigation. Energies. 2018; 11(9):2277. https://doi.org/10.3390/en11092277
Chicago/Turabian StylePriyadarshi, Neeraj, Sanjeevikumar Padmanaban, Dan M. Ionel, Lucian Mihet-Popa, and Farooque Azam. 2018. "Hybrid PV-Wind, Micro-Grid Development Using Quasi-Z-Source Inverter Modeling and Control—Experimental Investigation" Energies 11, no. 9: 2277. https://doi.org/10.3390/en11092277
APA StylePriyadarshi, N., Padmanaban, S., Ionel, D. M., Mihet-Popa, L., & Azam, F. (2018). Hybrid PV-Wind, Micro-Grid Development Using Quasi-Z-Source Inverter Modeling and Control—Experimental Investigation. Energies, 11(9), 2277. https://doi.org/10.3390/en11092277

