Load Estimation of Offshore Wind Turbines
Abstract
1. Introduction
2. Methodology
3. Environmental Condition and Sites
4. Results
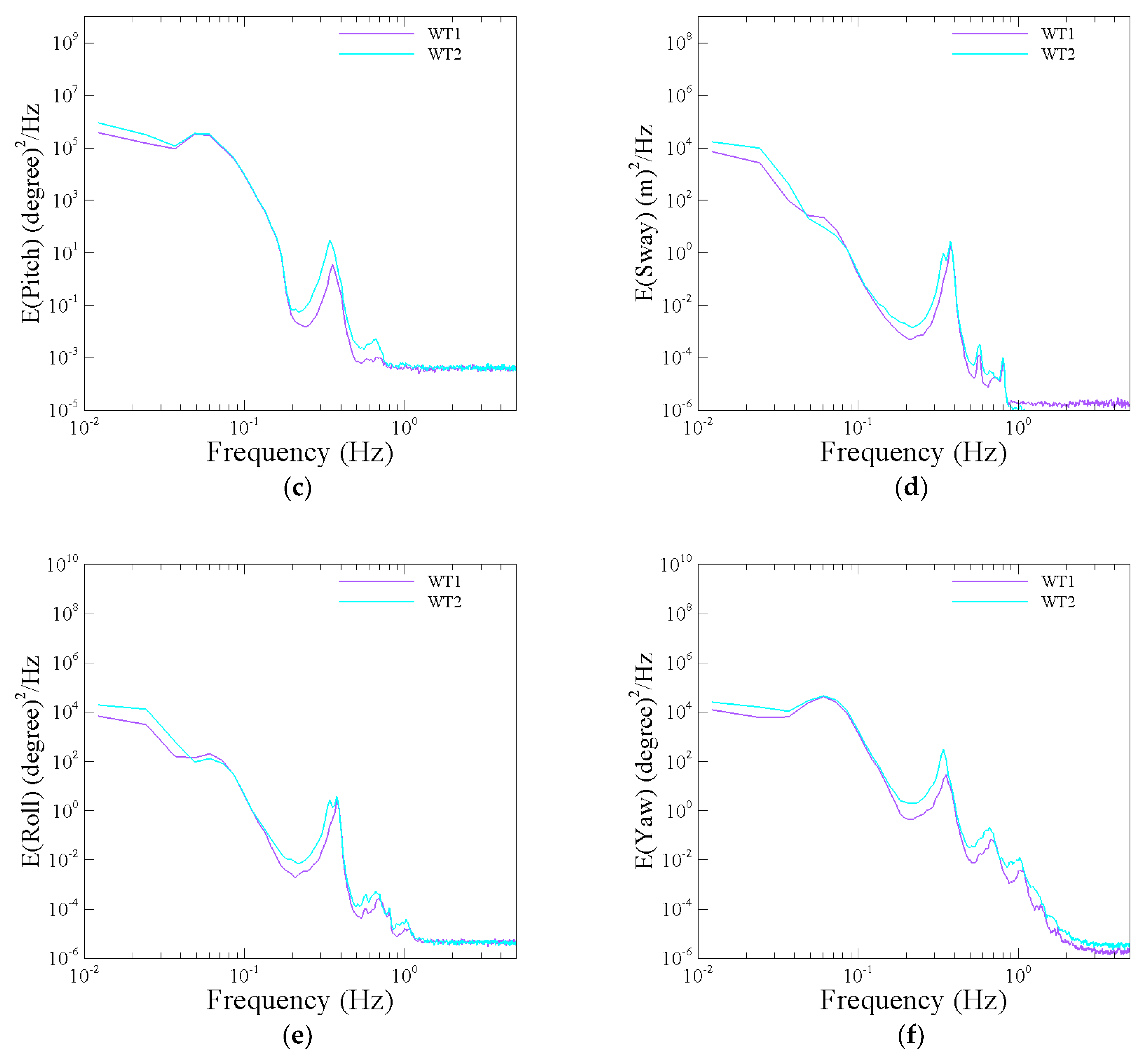
4.1. Turbine and Platform Response
4.2. Damage Equivalent Loads
4.3. Large-Eddy Simulation Fully Coupled with FAST
5. Conclusions
Author Contributions
Funding
Acknowledgments
Conflicts of Interest
References
- Hywind. Available online: https://www.statoil.com/en/what-we-do/hywind-where-the-wind-takes-us.html#why-hywind (accessed on 19 July 2018).
- Jonkman, J.M.; Buhl, M.L., Jr. FAST Users Guide; Technical Report for National Renewable Energy Laboratory; National Renewable Energy Laboratory: Golden, CO, USA, 2005.
- Churchfield, M.J.; Lee, S.; National Renewable Energy Laboratory. Simulator for Wind Farm Applications. Available online: http://wind.nrel.gov/designcodes/simulators/sowfa/ (accessed on 19 July 2018).
- Sorensen, J.N.; Myken, A. Unsteady Actuator Disc Model for Horizontal Axis Wind Turbines. J. Wind Eng. Ind. Aerodyn. 1992, 39, 139–149. [Google Scholar] [CrossRef]
- Sorensen, J.N.; Shen, W.Z. Numerical Modeling of Wind Turbine Wakes. J. Fluids Eng. 2002, 124, 393–399. [Google Scholar] [CrossRef]
- Stevens, R.J.A.M.; Martínez-Tossas, L.A.; Meneveau, C. Comparison of Wind Farm Large Eddy Simulations using Actuator Disk and Actuator Line Models with Wind Tunnel Experiments. Renew. Energy 2018, 116, 470–478. [Google Scholar] [CrossRef]
- Calderer, A.; Guo, X.; Shen, L.; Sotiropoulos, F. Fluid–structure Interaction Simulation of Floating Structures Interacting with Complex, Large-scale Ocean Waves and Atmospheric Turbulence with Application to Floating Offshore Wind Turbines. J. Comput. Phys. 2018, 355, 144–175. [Google Scholar] [CrossRef]
- Baba-Ahmadi, M.H.; Dong, P. Validation of the Actuator Line Method for Simulating Flow Through a Horizontal Axis Tidal Stream Turbine by Comparison with Measurements. Renew. Energy 2017, 113, 420–427. [Google Scholar] [CrossRef]
- Martínez-Tossas, L.A.; Churchfield, M.J.; Meneveau, C. A Highly Resolved Large-Eddy Simulation of a Wind Turbine using an Actuator Line Model with Optimal Body Force Projection. J. Phys. Conf. Ser. 2016, 753. [Google Scholar] [CrossRef]
- Churchfield, M.J.; Lee, S.; Michalakes, J.; Moriarty, P.J. A numerical Study of the Effects of Atmospheric and Wake Turbulence on Wind Turbine Dynamics. J. Turbul. 2012, 13, 14, 1–32. [Google Scholar] [CrossRef]
- Jonkman, J.M.; Matha, D. Dynamics of Offshore Floating Wind Turbines—Analysis of Three Concepts. Wind Energy 2011, 14, 557–569. [Google Scholar] [CrossRef]
- Christiansen, S.; Bak, T.; Knudsen, T. Damping Wind and Wave Loads on a Floating Wind Turbine. Energies 2013, 6, 4097–4116. [Google Scholar] [CrossRef]
- Jonkman, B.J. TurbSim User’s Guide; Technical Report for National Renewable Energy Laboratory; National Renewable Energy Laboratory: Golden, CO, USA, 2009.
- WAMIT. Available online: https://www.wamit.com/ (accessed on 19 July 2018).
- Sebastian, T.; Lackner, M. Analysis of the Induction and Wake Evolution of an Offshore Floating Wind Turbine. Energies 2012, 5, 968–1000. [Google Scholar] [CrossRef]
- Jeon, M.; Lee, S.; Lee, S. Unsteady Aerodynamics of Offshore Floating Wind Turbines in Platform Pitching Motion Using Vortex Lattice Method. Renew. Energy 2014, 65, 207–212. [Google Scholar] [CrossRef]
- Lee, S.; Churchfield, M.J.; Moriarty, P.J.; Jonkman, J.; Michalakes, J. A Numerical Study of Atmospheric and Wake Turbulence Impacts on Wind Turbine Fatigue Loadings. J. Sol. Energy Eng. 2013, 135. [Google Scholar] [CrossRef]
- Fleming, P.A.; Gebraad, P.M.O.; Lee, S.; Wingerden, J.W.V.; Johnson, K.; Churchfield, M.; Michalakes, J.; Spalart, P.; Moriarty, P. Evaluating Techniques for Redirecting Turbine Wakes using SOWFA. Renew. Energy 2014, 70, 211–218. [Google Scholar] [CrossRef]
- Downing, S.D.; Socie, D.F. Simple Rainflow Counting Algorithms. Int. J. Fatigue 1982, 4, 31–40. [Google Scholar] [CrossRef]
- Sutherland, H.J. On the Fatigue Analysis of Wind Turbines; Technical Report for U.S. Department of Energy; U.S. Department of Energy: Washington, DC, USA, 1999.



















| Hub-height Wind Speed | Significant Wave Height | Spectral Peak Wave Period |
|---|---|---|
| 9.0 m/s | 4.2 m | 10.57 s |
© 2018 by the authors. Licensee MDPI, Basel, Switzerland. This article is an open access article distributed under the terms and conditions of the Creative Commons Attribution (CC BY) license (http://creativecommons.org/licenses/by/4.0/).
Share and Cite
Lee, S.; Churchfield, M.; Driscoll, F.; Sirnivas, S.; Jonkman, J.; Moriarty, P.; Skaare, B.; Nielsen, F.G.; Byklum, E. Load Estimation of Offshore Wind Turbines. Energies 2018, 11, 1895. https://doi.org/10.3390/en11071895
Lee S, Churchfield M, Driscoll F, Sirnivas S, Jonkman J, Moriarty P, Skaare B, Nielsen FG, Byklum E. Load Estimation of Offshore Wind Turbines. Energies. 2018; 11(7):1895. https://doi.org/10.3390/en11071895
Chicago/Turabian StyleLee, Sang, Matthew Churchfield, Frederick Driscoll, Senu Sirnivas, Jason Jonkman, Patrick Moriarty, Bjόrn Skaare, Finn Gunnar Nielsen, and Erik Byklum. 2018. "Load Estimation of Offshore Wind Turbines" Energies 11, no. 7: 1895. https://doi.org/10.3390/en11071895
APA StyleLee, S., Churchfield, M., Driscoll, F., Sirnivas, S., Jonkman, J., Moriarty, P., Skaare, B., Nielsen, F. G., & Byklum, E. (2018). Load Estimation of Offshore Wind Turbines. Energies, 11(7), 1895. https://doi.org/10.3390/en11071895

