Fuzzy Control for Smart PV-Battery System Management to Stabilize Grid Voltage of 22 kV Distribution System in Thailand
Abstract
1. Introduction
2. Research Methodology
3. Test the Grid Inverter for Grid Support Functions
Voltage Rise Caused by PV System
4. Test Results of Grid Inverter
4.1. Reactive Power Control
4.2. Active Power Control
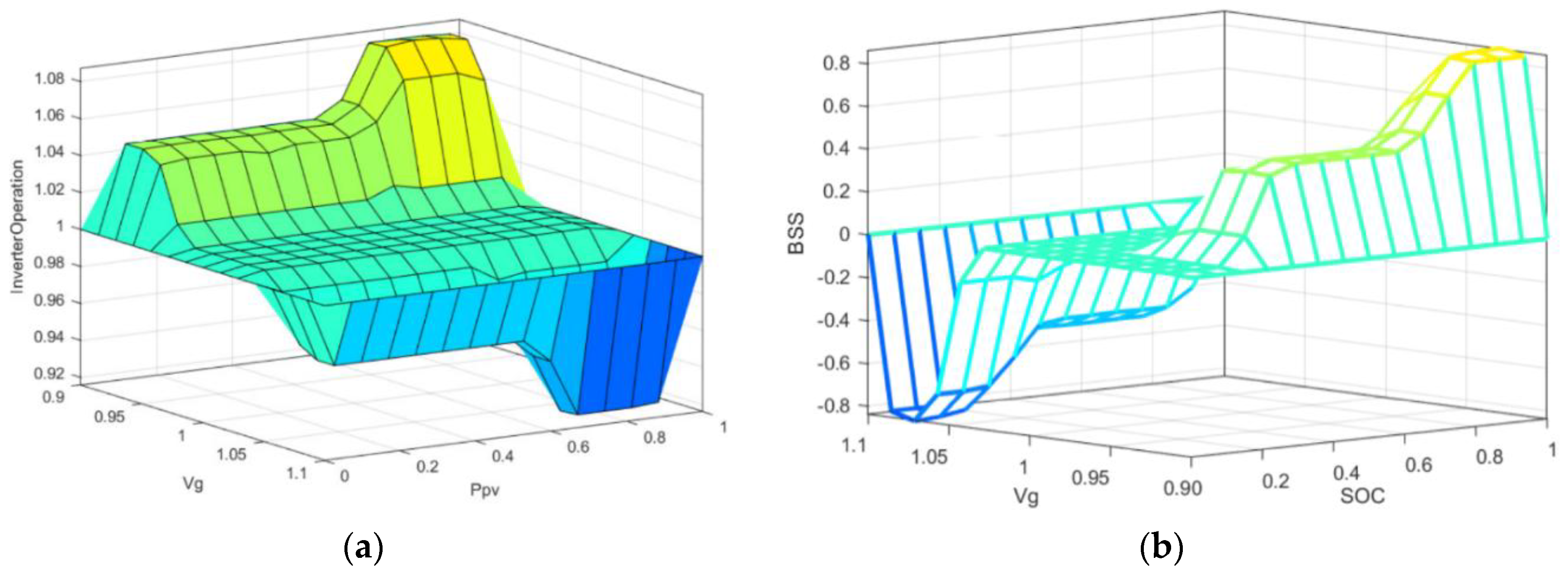
5. Algorithm Development
5.1. Battery Storage System Energy Management
5.2. Grid Inverter Power Management
5.3. Fuzzifications of Input and Output Parameters
5.4. Fuzzy Inference
5.5. Defuzzification
6. Simulation of 22 kV Distribution with a Smart PV System
Case Studies of the Simulation
7. Results and Discussion
7.1. Simulation of a Typical PV System Connected to a 22 kV Distribution
7.2. Simulation Results of Distribution Test System Integrated with a Smart PV System
8. Conclusions
Author Contributions
Funding
Acknowledgments
Conflicts of Interest
References
- Scholar Report-Scott Macdonald. Solar Photovoltaic Energy in Thailand: An Assessment of Government Support Mechanisms; LSE Asia Research Centre (ARC): London, UK, 2012. [Google Scholar]
- Working Group of Ministry of Energy. Renewable Energy Outlook of Thailand; International Renewable Energy Agency (IRENA): Abu Dhabi, United Arab Emirates; Ministry of Energy Thailand: Bangkok, Thailand, 2017.
- Weck, S.; D’hulst, R.; Driesen, J. Locational pricing to mitigate voltage problems caused by high PV penetration. Energies 2015, 8, 4607–4628. [Google Scholar] [CrossRef]
- Yang, Y.; Zhang, W.; Jiang, J.; Huang, M.; Niu, L. Optimal scheduling of a battery energy storage system with electric vehicles’ auxiliary for a distribution network with renewable energy integration. Energies 2015, 8, 10718–10735. [Google Scholar] [CrossRef]
- Gunasekaran, M.; Mohamed Ismail, H.; Chokkalingam, B.; Mihet-Popa, L.; Padmanaban, S. Energy management strategy for rural communities’ DC Micro Grid power system structure with maximum penetration of renewable energy sources. Appl. Sci. 2018, 8, 585. [Google Scholar] [CrossRef]
- Mosadeghy, M.; Yan, R.; Saha, T.K. Impact of PV penetration level on the capacity value of South Australian wind farms. Renew. Energy 2016, 85, 1135–1142. [Google Scholar] [CrossRef]
- Haque, M.M.; Wolfs, P. A review of high PV penetration in LV distribution network: Present status impacts and mitigation measures. Renew. Sustain. Energy Rev. 2016, 62, 1195–1208. [Google Scholar] [CrossRef]
- Simoes, S.; Zeyringer, M.; Mayr, D.; Huld, T.; Nijs, W.; Schmidt, J. Impact of different levels of geographical disaggregation of wind and PV electricity generation in large energy system models: A case study for Austria. Renew. Energy 2017, 105, 183–198. [Google Scholar] [CrossRef]
- Xenias, D.; Axon, C.J.; Whitmarsh, L.; Connor, P.M.; Balta-Ozkan, N.; Spence, A. UK smart grid development: An expert assessment of the benefits, pitfalls and functions. Renew. Energy 2015, 81, 89–102. [Google Scholar] [CrossRef]
- Pukhrem, S.; Basu, M.; Conlon, M.F.; Sunderland, K. Enhanced network voltage management techniques under the proliferation of rooftop solar PV installation in Low-Voltage Distribution Network. IEEE J. Emerg. Sel. Top. Power Electron. 2017, 5, 681–694. [Google Scholar] [CrossRef]
- O’Connell, A.; Keane, A. Volt–var curves for photovoltaic inverters in distribution systems. IET Gener. Transm. Distrib. 2016, 11, 730–739. [Google Scholar] [CrossRef]
- Ghoddami, H.; Yazdani, A. A mitigation strategy for temporary over voltages caused by grid-connected photovoltaic systems. IEEE Trans. Energy Convers. 2015, 30, 413–420. [Google Scholar] [CrossRef]
- Ballanti, A.; Ochoa, L.F. On the integrated PV hosting capacity of MV and LV distribution networks. In Proceedings of the IEEE PES Innovative Smart Grid Technologies Latin America (ISGT LATAM), Montevideo, Uruguay, 5–7 October 2015; pp. 366–370. [Google Scholar] [CrossRef]
- Armendariz, M.; Brodén, D.; Honeth, N.; Nordström, L. A method to identify exposed nodes in low voltage distribution grids with High PV penetration. In Proceedings of the IEEE Power & Energy Society General Meeting, Denver, CO, USA, 26–30 July 2015; pp. 1–5. [Google Scholar] [CrossRef]
- Patsalides, M.; Efthymiou, V.; Stavrou, A.; Georghiou, G.E. A generic transient PV system model for power quality studies. Renew. Energy 2016, 89, 526–542. [Google Scholar] [CrossRef]
- Working group of PEA. Provincial Electricity Authority’s Regulation on the Power Network System Interconnection Code B.E. 2559; Provincial Electricity Authority of Thailand: Ladyao, Jatujak Bangkok, 2016. [Google Scholar]
- Hossain, M.S.; Madlool, N.A.; Rahim, N.A.; Selvaraj, J.; Pandey, A.K.; Khan, A.F. Role of smart grid in renewable energy: An overview. Renew. Sustain. Energy Rev. 2016, 60, 1168–1184. [Google Scholar] [CrossRef]
- Zafar, R.; Mahmood, A.; Razzaq, S.; Ali, W.; Naeem, U.; Shehzad, K. Prosumer based energy management and sharing in smart grid. Renew. Sustain. Energy Rev. 2017, 82, 1675–1684. [Google Scholar] [CrossRef]
- Williams, T.; Wang, D.; Crawford, C.; Djilali, N. Integrating renewable energy using a smart distribution system: Potential of self-regulating demand response. Renew. Energy 2013, 52, 46–56. [Google Scholar] [CrossRef]
- Jha, S.K.; Bilalovic, J.; Jha, A.; Patel, N.; Zhang, H. Renewable energy: Present research and future scope of artificial intelligence. Renew. Sustain. Energy Rev. 2017, 77, 297–317. [Google Scholar] [CrossRef]
- Hua, Y.; Oliphant, M.; Hu, E.J. Development of renewable energy in Australia and China: A comparison of policies and status. Renew. Energy 2014, 85, 1044–1051. [Google Scholar] [CrossRef]
- Brundliger, L. High Penetration of PV in Local Distribution Grid: Case-Study Collection; Report IEA PVPS: Ursen, Switzerland, 2014; ISBN 978-3-906042-23-7. [Google Scholar]
- Karimi, M.; Mokhlis, H.; Naidu, K.; Uddin, S.; Bakar, A.H.A. Photovoltaic penetration issues and impacts in distribution network-A review. Renew. Sustain. Energy Rev. 2016, 53, 594–605. [Google Scholar] [CrossRef]
- Zhou, N.; Liu, N.; Zhang, J.; Lei, J. Multi-objective optimal sizing for battery storage of PV-based microgrid with demand response. Enegies 2016, 9, 591. [Google Scholar] [CrossRef]
- Hussain, A.; Bui, V.H.; Kim, H.M. Fuzzy logic-based operation of battery energy storage systems (BESSs) for enhancing the resiliency of hybrid microgrids. Enegies 2016, 10, 271. [Google Scholar] [CrossRef]
- Watson, J.D.; Watson, N.R.; Santos-Martin, D.; Wood, A.R.; Lemon, S.; Miller, A.J. Impact of solar photovoltaics on the low-voltage distribution network in New Zealand. IET Gener. Transm. Distrib. 2016, 10, 1–9. [Google Scholar] [CrossRef]
- Hashemi1, S.; Stergaard, J. Methods and strategies for overvoltage prevention in low voltage distribution systems with PV. IET Renew. Power Gener. 2016, 11, 205–214. [Google Scholar] [CrossRef]
- Li, Y.; Ishikawa, M. An efficient reactive power control method for power network systems with solar photovoltaic generators using sparse optimization. Energies 2017, 10, 696. [Google Scholar] [CrossRef]
- Moger, T.; Dhadbanjan, T. Fuzzy logic approach for reactive power coordination in grid connected wind farms to improve steady state voltage stability. IET Renew. Power Gener. 2017, 11, 351–361. [Google Scholar] [CrossRef]
- Suganthi, L.; Iniyan, S.; Samuel, A.A. Applications of fuzzy logic in renewable energy systems—A review. Renew. Sustain. Energy Rev. 2015, 48, 585–607. [Google Scholar] [CrossRef]
- Sukumar, S.; Marsadek, M.; Ramasamy, A.; Mokhlis, H.; Mekhilef, S. A fuzzy-based PI controller for power management of a grid-connected PV-SOFC hybrid system. Energies 2017, 10, 1720. [Google Scholar] [CrossRef]
- Ciabattoni, L.; Ferracuti, F.; Grisostomi, M.; Ippoliti, G.; Longhi, S. Fuzzy logic based economic analysis of photovoltaic energy management. Neurocomputing 2015, 170, 296–305. [Google Scholar] [CrossRef]
- Arcos-Aviles, D.; Pascual, J.; Marroyo, L.; Sanchis, P.; Guinjoan, F. Fuzzy logic-based energy management system design for residential grid-connected microgrids. IEEE Trans. Smart Grid 2018, 9, 530–540. [Google Scholar] [CrossRef]
















| MF (Ppv) | Low | Medium | High |
|---|---|---|---|
| MF degree | 0–0.4 | 0.3–0.7 | 0.6–1 |
| PV power (Ppv, MW) | 0–3.2 | 2.4–5.6 | 4.8–8 |
| MF (SOC) | Low | Medium | High | Max |
|---|---|---|---|---|
| MF degree | 0–0.3 | 0.2–0.55 | 0.4–0.8 | 0.68–1 |
| Battery state of charge (SOC) | 0–0.3 | 0.2–0.55 | 0.4–0.8 | 0.68–1 |
| MF(Vg) | Under | Medium | Over |
|---|---|---|---|
| MF degree | 0.9–0.96 | 0.94–1.06 | 1.04–1.1 |
| Voltage at PCC (Vg, p.u.) | 0.9–0.96 | 0.94–1.06 | 1.04–1.1 |
| Voltage at PCC (Vg, kV) | 19.8–21.2 | 20.68–23.32 | 22.88–24.2 |
| MF (BSS Operation) | Heavy-Charge | Charge | Maintain | Discharge | Heavy-Discharge |
|---|---|---|---|---|---|
| MF degree | (−1)–(−0.5) | (−0.8)–(−0.2) | (−0.3)–0.3 | 0.2–0.7 | 0.6–1 |
| − is charge (MW) | 3–1.5 | 2.4–0.6 | 0.3 | ||
| + is discharge (MW) | 0.6–2.1 | 1.8–3 |
| MF (BSS Operation) | Very-Low | Low | Normal | High | Very-High |
|---|---|---|---|---|---|
| MF degree | 0.9–0.95 | 0.92–1 | 0.96–1.04 | 1.01–1.08 | 1.06–1.1 |
| Leading PF | 0.9–0.95 | 0.92–1 | 1 | ||
| Lagging PF | 0.99–0.92 | 0.96–0.9 |
| Inputs/Outputs Parameters | MFs | Rule Bases No. | ||||||||
|---|---|---|---|---|---|---|---|---|---|---|
| 1 | 2 | 3 | 4 | 5 | 6 | 7 | 8 | 9 | ||
| Input parameter PV power (Ppv) | Low | |||||||||
| Medium | ||||||||||
| High | ||||||||||
| Input parameter Grid voltage (Vg) | Under | |||||||||
| Medium | ||||||||||
| Over | ||||||||||
| Grid Inverter Power Management | Vary Low | |||||||||
| Low | ||||||||||
| Normal | ||||||||||
| High | ||||||||||
| Vary High | ||||||||||
| Inputs/Outputs Parameters | MFs | Rule Bases No. | |||||||||||
|---|---|---|---|---|---|---|---|---|---|---|---|---|---|
| 1 | 2 | 3 | 4 | 5 | 6 | 7 | 8 | 9 | 10 | 11 | 12 | ||
| Input parameter Grid voltage | Under | ||||||||||||
| Medium | |||||||||||||
| Over | |||||||||||||
| Input parameter Battery SOC | Low | ||||||||||||
| Medium | |||||||||||||
| High | |||||||||||||
| Max | |||||||||||||
| Battery Storage Power Management | Heavy-Charge | ||||||||||||
| Charge | |||||||||||||
| Maintain | |||||||||||||
| Discharge | |||||||||||||
| Heavy-Discharge | |||||||||||||
| Components | Connection at Busbars | Ranges | Peak Load (MW) |
|---|---|---|---|
| Total Load (MW) | - | 6 MW | |
| Substation load | MBB01 | At substation | 0.08 MW |
| Village A (MW) | MBB02 | From MBB01 to MBB02 (1.5 km) | 0.5 MW |
| Village B (MW) | MBB03 | From MBB02 to MBB03 (2.5 km) | 0.5 MW |
| Free busbar | MBB04 | From MBB03 to MBB04 (4.0 km) | 0.5 MW |
| Village E (MW) | MBB05 | From MBB04 to MBB05 (4.0 km) | 0.4 MW |
| Village C (MW) | MBB06 | From MBB05 to MBB06 (3.0 km) | 0.5 MW |
| Village D (MW) | MBB07 | From MBB06 to MBB07 (5.0 km) | 0.8 MW |
| Factory Load, PL(FT) (MW) | MBB08 | From MBB07 to MBB08 (1.0 km) | 1.9 MW |
| Village F (MW) | MBB09 | From MBB08 to MBB09 (6.0 km) | 0.5 MW |
| Village G (MW) | MBB10 | From MBB09 to MBB10 (1.0 km) | 0.5 MW |
| Feeder Components | Connection with No. of Busbars | Case Studies | ||||||||
|---|---|---|---|---|---|---|---|---|---|---|
| Case 1 | Case 2 | Case 3 | Case 4 | Case 5 | Case 6 | Case 7 | Case 8 | Case 9 | ||
| Total Load (MW) | - | 6 | 5.4 | 4.8 | 4.2 | 3.6 | 3 | 2.4 | 1.8 | 1.2 |
| Factory Load, PL(FT) (MW) | MBB08 | 1.9 | 1.71 | 1.52 | 1.33 | 1.14 | 0.95 | 0.76 | 0.57 | 0.38 |
| Village A (MW) | MBB02 | 0.5 | 0.45 | 0.4 | 0.35 | 0.3 | 0.25 | 0.2 | 0.15 | 0.1 |
| Village B (MW) | MBB03 | 0.5 | 0.45 | 0.4 | 0.35 | 0.3 | 0.25 | 0.2 | 0.15 | 0.1 |
| Village C (MW) | MBB06 | 0.5 | 0.45 | 0.4 | 0.35 | 0.3 | 0.25 | 0.2 | 0.15 | 0.1 |
| Village D (MW) | MBB07 | 0.8 | 0.72 | 0.64 | 0.56 | 0.48 | 0.4 | 0.32 | 0.24 | 0.16 |
| Village E (MW) | MBB05 | 0.4 | 0.36 | 0.32 | 0.28 | 0.24 | 0.2 | 0.16 | 0.12 | 0.08 |
| Village F (MW) | MBB09 | 0.5 | 0.45 | 0.4 | 0.35 | 0.3 | 0.25 | 0.2 | 0.15 | 0.1 |
| Village G (MW) | MBB10 | 0.5 | 0.45 | 0.4 | 0.35 | 0.3 | 0.25 | 0.2 | 0.15 | 0.1 |
| Substation Load (SubPL) | MBB01 | 0.4 | 0.36 | 0.32 | 0.28 | 0.24 | 0.2 | 0.16 | 0.12 | 0.08 |
© 2018 by the authors. Licensee MDPI, Basel, Switzerland. This article is an open access article distributed under the terms and conditions of the Creative Commons Attribution (CC BY) license (http://creativecommons.org/licenses/by/4.0/).
Share and Cite
Mansiri, K.; Sukchai, S.; Sirisamphanwong, C. Fuzzy Control for Smart PV-Battery System Management to Stabilize Grid Voltage of 22 kV Distribution System in Thailand. Energies 2018, 11, 1730. https://doi.org/10.3390/en11071730
Mansiri K, Sukchai S, Sirisamphanwong C. Fuzzy Control for Smart PV-Battery System Management to Stabilize Grid Voltage of 22 kV Distribution System in Thailand. Energies. 2018; 11(7):1730. https://doi.org/10.3390/en11071730
Chicago/Turabian StyleMansiri, Kongrit, Sukruedee Sukchai, and Chatchai Sirisamphanwong. 2018. "Fuzzy Control for Smart PV-Battery System Management to Stabilize Grid Voltage of 22 kV Distribution System in Thailand" Energies 11, no. 7: 1730. https://doi.org/10.3390/en11071730
APA StyleMansiri, K., Sukchai, S., & Sirisamphanwong, C. (2018). Fuzzy Control for Smart PV-Battery System Management to Stabilize Grid Voltage of 22 kV Distribution System in Thailand. Energies, 11(7), 1730. https://doi.org/10.3390/en11071730

