Impact of Low Molecular Weight Acids on Oil Impregnated Paper Insulation Degradation
Abstract
1. Introduction
- (1)
- Pyrolysis, promoted by heat;
- (2)
- Hydrolysis, by reactions with water; and
- (3)
- Oxidation by reactions with oxygen.
2. Background on Carboxylic Acids Formation in Transformer Oil
- Acid deposits generate colloids. This colloidal suspension reduces the dielectric strength of the insulation system of the power transformer. Insoluble suspensions worsen the cooling effectiveness of the power transformer. The temperature increase degrades cellulose and acts as a catalyst for further oxidation.
- Water degrades cellulose reducing breakdown voltage and acts as a catalyst for oxidation. Water and acids have a multiplicative effect on the ageing rate [14].
- Gases (CO, CO2, O2, H2, CH4, C2H4, C4H6, C6H8) that are dissolved in the oil.
- Acids promote corrosion and also act as catalysts for the oxidation of oil.
3. Degradation of Cellulose
3.1. Swelling of Cellulose
3.2. Acid Hydrolysis
4. Materials and Methods
4.1. Oil and Paper Sample Preparation
4.2. Oil Acidity Preparation
- Paper with virgin oil,
- Paper with oil containing acetic acid of 0.20 mg KOH/g and 0.40 mg KOH/g,
- Paper with oil containing formic acid of 0.20 mg KOH/g and 0.40 mg KOH/g,
- Paper with oil containing levulinic acid of 0.20 mg KOH/g and of 0.40 mg KOH/g,
- Paper with oil containing the mixture of acid: (0.20 mg KOH/g of acetic acid) + (0.20 mg KOH/g of formic acid) + (0.20 mg KOH/g of levulinic acid).
5. Results and Discussion
5.1. Assessing Moisture in Paper during Aging
5.2. Total Acid Number (TAN) of Oil for Unaged Samples
5.3. Degree of Polymerisation (DPv) before Thermal Aging
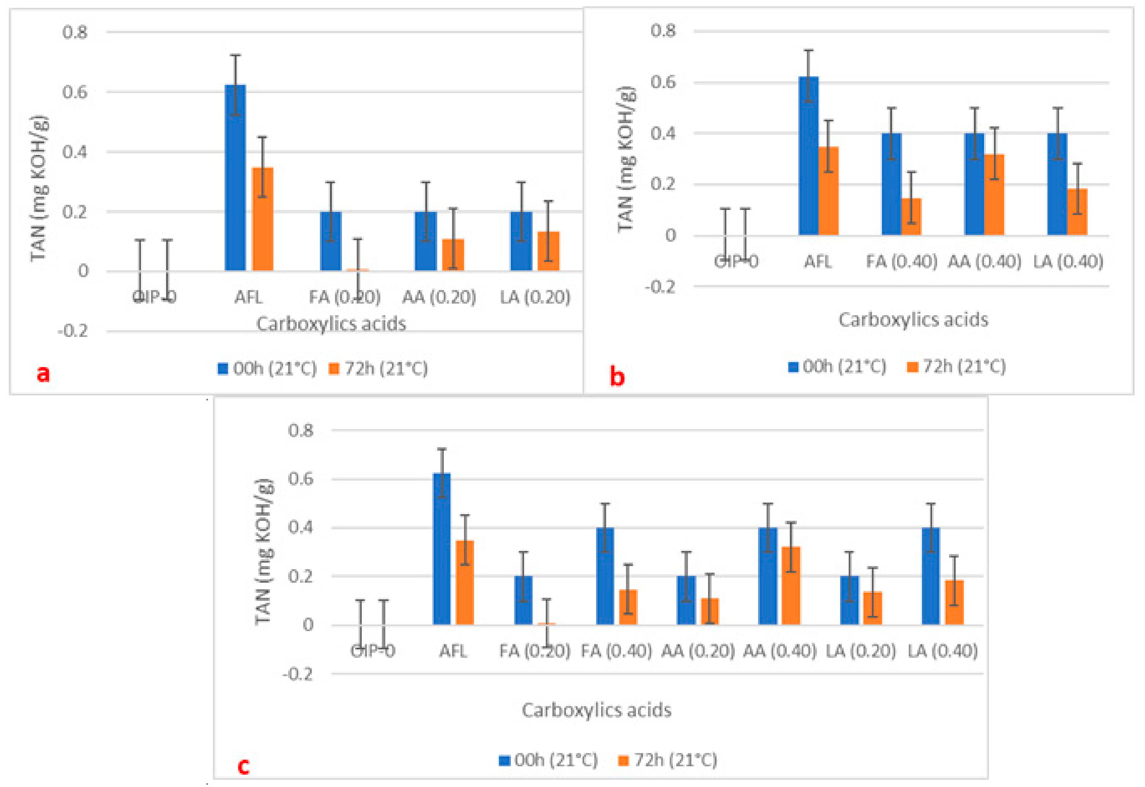
5.4. Total Acid Number (TAN) of Oil for Aged Samples
5.5. The Degree of Polymerisation (DPv) during Thermal Aging
6. Conclusions
Author Contributions
Acknowledgments
Conflicts of Interest
References
- N’Cho, J.S.; Fofana, I.; Beroual, A. Review of Modern Physicochemical-based Diagnostic Techniques for Assessing Insulation condition in Aged Transformers. Energies 2016, 9, 367. [Google Scholar] [CrossRef]
- Fofana, I.; Hadjadj, Y. Electrical-based Diagnostic Techniques for Assessing Insulation condition in Aged Transformers. Energies 2016, 9, 679. [Google Scholar] [CrossRef]
- Peng, L.; Fu, Q.; Zhao, Y.; Qian, Y.; Chen, T.; Fan, S. A Non-Destructive Optical Method for the DP Measurement of Paper Insulation Based on the Free Fibers in Transformer Oil. Energies 2018, 11, 716. [Google Scholar] [CrossRef]
- Godina, R.; Rodrigues, E.M.G.; Matias, J.C.O.; Catalão, J.P.S. Effect of Loads and Other Key Factors on Oil-Transformer Ageing: Sustainability Benefits and Challenges. Energies 2015, 8, 12147–12186. [Google Scholar] [CrossRef]
- Cheng, L.; Yu, T. Dissolved Gas Analysis Principle-Based Intelligent Approaches to Fault Diagnosis and Decision Making for Large Oil-Immersed Power Transformers: A Survey. Energies 2018, 11, 913. [Google Scholar] [CrossRef]
- Wang, X.; Tang, C.; Huang, B.; Hao, J.; Chen, G. Review of Research Progress on the Electrical Properties and Modification of Mineral Insulating Oils Used in Power Transformers. Energies 2018, 11, 487. [Google Scholar] [CrossRef]
- Ward, B. Application of Filtration System for On-Line Oil Reclamation, Degassing, and Dehydration; Report No. 1002046; Electric Power Research Institute (EPRI): Palo Alto, CA, USA, 2003. [Google Scholar]
- Fofana, I.; Sabau, J. The Service Reliability of Aging Power Transformers. In Proceedings of the Cigré Canada Conference, Calgary, AB, Canada, 9–11 December 2013. [Google Scholar]
- Erdman, H.G. Electrical Insulating Oils, STP 998; ASTM International: West Conshohocken, PA, USA, 1988. [Google Scholar]
- Xiang, Q.; Lee, Y.; Pettersson, P.O.; Torget, R.W. Heterogeneous aspects of acid hydrolysis of α-cellulose. In Biotechnology for Fuels and Chemicals; Number 1-3 Spring; Humana Press Inc.: New York, NY, USA, 2003; Volumes 107, pp. 505–514. ISSN 0273-2289. [Google Scholar]
- Mineral Insulating Oils in Electrical Equipment. Supervision and Maintenance Guidance; IEC 60422 ed. 4.0; IEC International: Geneva, Switzerland, 2013.
- Lelekakis, N.; Wijaya, J.; Martin, D.; Susa, D. The effect of acid accumulation in power-transformer oil on the aging rate of paper insulation. IEEE Electr. Insul. Mag. 2014, 30, 19–26. [Google Scholar] [CrossRef]
- Martin, D.; Perkasa, C.; Lelekakis, N. Measuring paper water content of transformers: A new approach using cellulose isotherms in nonequilibrium conditions. IEEE Trans. Power Deliv. 2013, 28, 1433–1439. [Google Scholar] [CrossRef]
- Lelekakis, N.; Martin, D.; Wijaya, J. Ageing rate of paper insulation used in power transformers Part 1: Oil/paper system with low oxygen concentration. IEEE Trans. Dielectr. Electr. Insul. 2012, 19, 1999–2008. [Google Scholar] [CrossRef]
- Lelekakis, N.; Martin, D.; Wijaya, J. Ageing rate of paper insulation used in power transformers Part 2: Oil/paper system with medium and high oxygen concentration. IEEE Trans. Dielectr. Electr. Insul. 2012, 19, 2009–2018. [Google Scholar] [CrossRef]
- Lundgaard, L.E.; Hansen, W.; Ingebrigtsen, S. Ageing of Mineral Oil impregnated Cellulose by Acid Catalysis. IEEE Trans. Dielectr. Electr. Insul. 2008, 15, 540–546. [Google Scholar] [CrossRef]
- Ingebrigtsen, S.; Dahlund, M.; Hansen, W.; Linhjell, D.; Lundgaard, L.E. Solubility of carboxylic acids in paper (Kraft)-oil insulation systems. In Proceedings of the 2004 Annual Report Conference on Electrical Insulation and Dielectric Phenomena (CEIDP ’04), Boulder, CO, USA, 17–20 October 2004; pp. 253–257. [Google Scholar]
- Lundgaard, L.E.; Hansen, W.; Ingebrigtsen, S.; Linhjell, D.; Dahlund, M. Aging of Kraft paper by acid catalyzed hydrolysis. In Proceedings of the 2005 IEEE International Conference on Dielectric Liquids (ICDL 2005), Coimbra, Portugal, 26 June–1 July 2005; pp. 381–384. [Google Scholar]
- CIGRE Task Force D1.01.10. Ageing of Cellulose in Mineral-Oil Insulated Transformers; CIGRE Technical Brochure No 323; CIGRE: Paris, France, 2007; 88p. [Google Scholar]
- Bandara, K.; Ekanayake, C.; Saha, T.; Ma, H. Performance of Natural Ester as a Transformer Oil in Moisture-Rich Environments. Energies 2016, 9, 258. [Google Scholar] [CrossRef]
- Ivanov, K.I.; Panfilova, E.S.; Kullkovskaya, T.N.; Zhakhovskaya, V.P.; Savinova, V.K.; Seminova, M.G. Effect of petroleum oil oxidation products on the ageing of paper insulation in transformers. Zh. Prikl. Khim. (Leningrad) 1974, 47, 2705–2711. [Google Scholar]
- Prabhashankar, V.; Badkas, D.J. Mechanism of Oxidation of Transformers Oils. J. Inst. Petr. 1961, 47, 201–211. [Google Scholar]
- Hill, G.C.; Holman, J.S. Chemistry in Context, 5th ed.; Nelson: Walton-onThames, UK, 2000. [Google Scholar]
- Krassig, H.; Schurz, J. Cellulose. In Ullmann’s Encyclopedia of Industrial Chemistry, 6th ed.; Wiley: Hoboken, NJ, USA, 2002. [Google Scholar]
- Ruelle, J. Analyse de la Diversité du Bois de Tension de 3 Espèces D’angiospermes de Forêt Tropicale Humide de Guyane Française. Ph.D. Thesis, Université des Antilles et de la Guyane, Cayenne, France, 2006. [Google Scholar]
- Lin, J.S.; Tang, M.Y.; Fellers, J.F. Fractal Analysis of cotton cellulose as characterized by small angle X-ray scattering. In The Structures of Cellulose. ACS Symposium Series; Atalla, R.H., Ed.; American Chemical Society: Washington, DC, USA, 1987; Volume 340, pp. 233–254. [Google Scholar]
- Zeronian, S.H. Intercrystalline swelling of cellulose. In Cellulose Chemistry and Its Applications; Horwood: Chichester, UK, 1985; pp. 138–158. [Google Scholar]
- Ojha, S.K.; Purkait, P.; Chakravorti, S. Evaluating the effects of lower molecular weight acids in oil-paper insulated transformer. In Proceedings of the 2017 3rd International Conference on Condition Assessment Techniques in Electrical Systems (CATCON), Rupnagar, India, 16–18 November 2017. [Google Scholar]
- Wan, F.; Du, L.; Chen, W.; Wang, P.; Wang, J.; Shi, H. A Novel Method to Directly Analyze Dissolved Acetic Acid in Transformer Oil without Extraction Using Raman Spectroscopy. Energies 2017, 10, 967. [Google Scholar] [CrossRef]
- Petrucci, R.H.; Harwood, W.S.; Herring, F.G. General Chemistry, 8th ed.; Prentice-Hall: Upper Saddle River, NJ, USA, 2002; p. 666. [Google Scholar]
- Fellers, C.; Iversen, T.; Lindström, T.; Nilsson, T.; Rigdahl, M. Ageing/Degradation of Paper—A Literature Survey; Riksarkivet: Stockholm, Sweden, 1989; ISSN 0284-5636. [Google Scholar]
- Kakou, D.; Cissé, L.; Fofana, I.; Hadjadj, Y.; Yapi, K.M.L.; Ambroise, D.K. Impact of Acidity on the Degradation of the Solid Insulation of Power Transformer. In Proceedings of the 20th International Symposium on High Voltage Engineering (ISH 2017), Buenos Aires, Argentina, 28 August–1 September 2017. [Google Scholar]







| Acids | Purity | Molar Mass (g/mol) | Density (g/cm3) | TAN (0.2 mg KOH/g) | TAN (0.4 mg KOH/g) | ||
|---|---|---|---|---|---|---|---|
| Weight (mg) | Volume (mL) | Weight (mg) | Volume (mL) | ||||
| Acetic acid | 0.997 | 60.05 | 1.0492 | 389.0364 | 0.3707 | 778.0728 | 0.7414 |
| Formic acid | 0.88 | 46.025 | 1.22 | 337.7568 | 0.2768 | 675.5136 | 0.5538 |
| Levulinic acid | 0.98 | 116.11 | 1.134 | 765.2076 | 0.6747 | 1530.4152 | 1.3494 |
© 2018 by the authors. Licensee MDPI, Basel, Switzerland. This article is an open access article distributed under the terms and conditions of the Creative Commons Attribution (CC BY) license (http://creativecommons.org/licenses/by/4.0/).
Share and Cite
Kouassi, K.D.; Fofana, I.; Cissé, L.; Hadjadj, Y.; Yapi, K.M.L.; Diby, K.A. Impact of Low Molecular Weight Acids on Oil Impregnated Paper Insulation Degradation. Energies 2018, 11, 1465. https://doi.org/10.3390/en11061465
Kouassi KD, Fofana I, Cissé L, Hadjadj Y, Yapi KML, Diby KA. Impact of Low Molecular Weight Acids on Oil Impregnated Paper Insulation Degradation. Energies. 2018; 11(6):1465. https://doi.org/10.3390/en11061465
Chicago/Turabian StyleKouassi, Kakou D., Issouf Fofana, Ladji Cissé, Yazid Hadjadj, Kouba M. Lucia Yapi, and K. Ambroise Diby. 2018. "Impact of Low Molecular Weight Acids on Oil Impregnated Paper Insulation Degradation" Energies 11, no. 6: 1465. https://doi.org/10.3390/en11061465
APA StyleKouassi, K. D., Fofana, I., Cissé, L., Hadjadj, Y., Yapi, K. M. L., & Diby, K. A. (2018). Impact of Low Molecular Weight Acids on Oil Impregnated Paper Insulation Degradation. Energies, 11(6), 1465. https://doi.org/10.3390/en11061465

