Experimental Investigation on Flow and Heat Transfer Characteristics of a Needle-Cylinder Type Ionic Wind Generator for LED Cooling
Abstract
1. Introduction
2. Experimental Setup and Structure of LED Cooling Device
2.1. Structure of LED Cooling Device
2.2. Experimental Setup
3. Results and Discussion
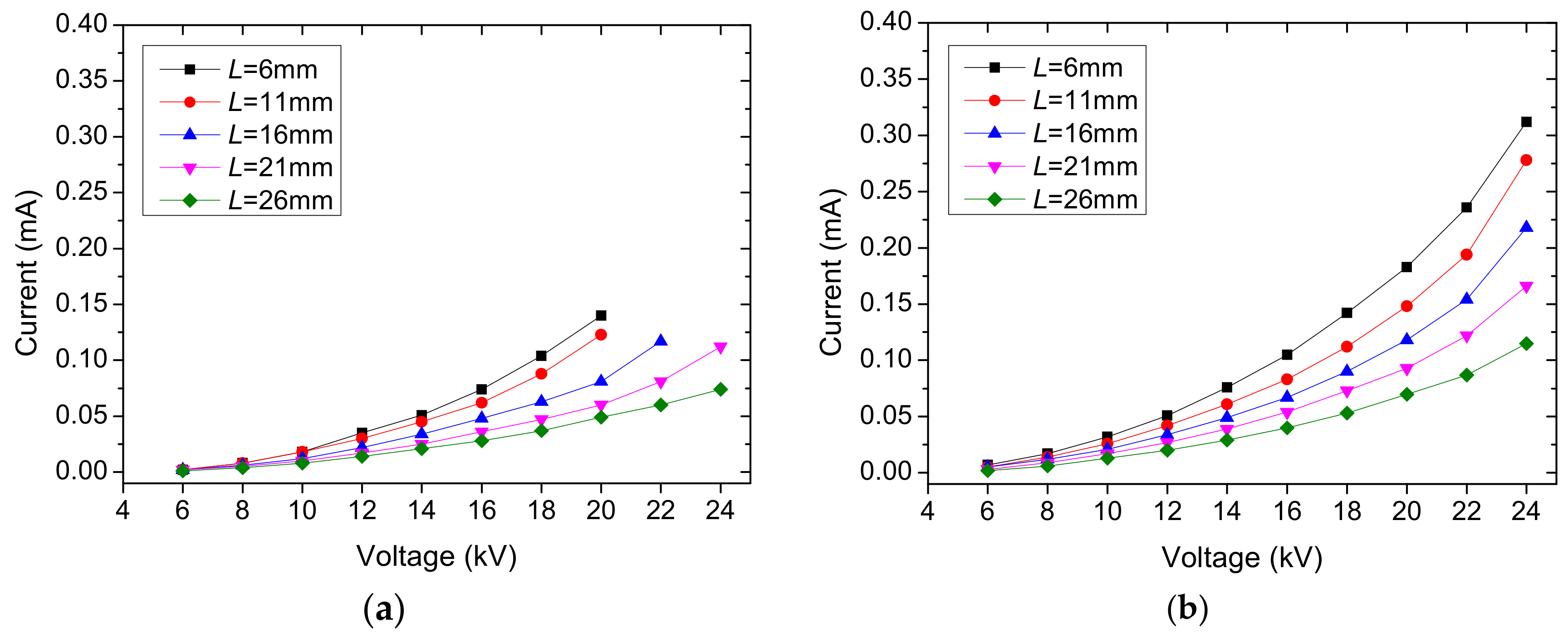
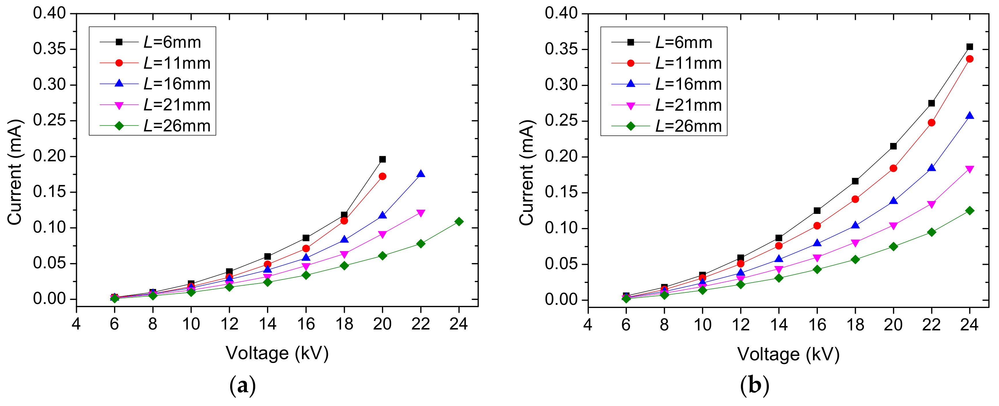
3.1. The Current–Voltage Characteristics
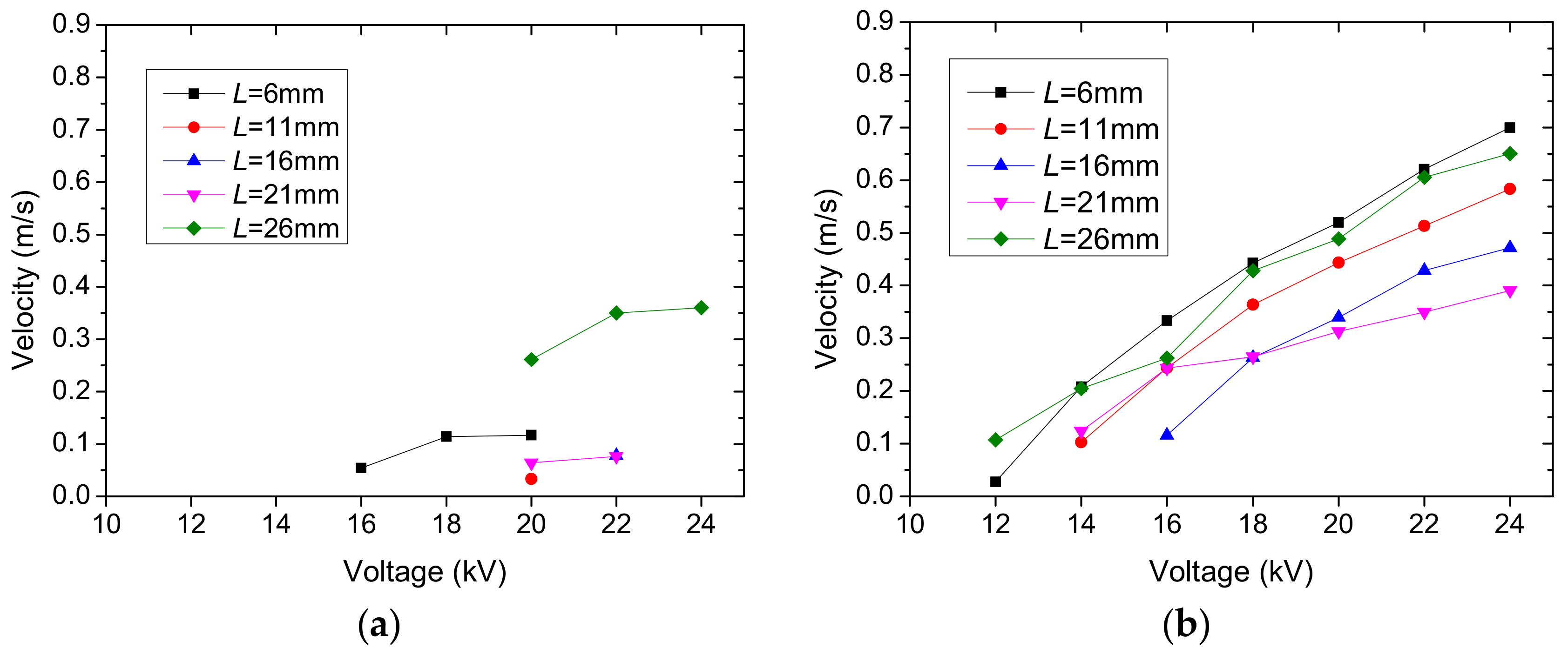
3.2. Ionic Wind Velocity under Different Electrode Layouts
3.3. Temperature of the Heating Film under Ionic Wind Cooling
4. Conclusions
- The negative discharge is more difficult to break down when compared with the positive discharge. There is a breakdown in the positive discharge of three different numbers of needles, when the applied voltage approaches 24 kV. However, the breakdown does not occur in the negative discharge before the applied voltage reaches 24 kV.
- In the ionic wind devices with the same electrode layout, the ionic wind velocity produced by the negative polarity discharge is far greater than that produced by the positive polarity discharge. The ionic wind velocity at the measured point in the emitting electrode layout with three and with four needles is lower than that in the five needles electrode layout.
- The wind velocity decreases with the increase of the distance between the needles and the ring electrode in the three needles electrode layout at a certain applied voltage. On the other hand, in the case of four needles, the velocity of ionic wind decreases with the increase of the distance in the initial stage. However, a further increase of the electrodes distance will result in the increase in the ionic wind velocity.
- In the case of a five-needle electrode, the variation of velocity with the applied voltage is almost the same in the positive discharge when the voltage is larger than 16 kV, except when the electrodes distance is 6 mm, while the velocity variation in the negative discharge shows a slight difference with different electrode distances.
- The temperature of the heating film center in the three-needle electrode case is 3.8 °C higher than the temperature in the five-needle electrode case. The maximum temperature drop in the heating film center reaches 35.6 °C.
Author Contributions
Funding
Conflicts of Interest
Appendix A
Appendix A.1. Experimental Uncertainty Analysis
Appendix A.1.1. Velocity Measurement Error
Appendix A.1.2. Temperature Measurement Error
References
- O’Brien, R.J.; Shine, A.J. Some effects of an electric field on heat transfer from a vertical plate in free convection. J. Heat Transf. 1964, 89, 114–116. [Google Scholar] [CrossRef]
- Mitchell, A.S.; Williams, L.E. Heat transfer by the corona wind impinging on a plate surface. J. Electrost. 1978, 5, 309–324. [Google Scholar] [CrossRef]
- Owsenek, B.L.; Seyed-Yagoobi, J.; Page, R.H. Experimental investigation of corona wind heat transfer enhancement with a heated horizontal flat plate. J. Heat Transf. 1995, 119, 309–324. [Google Scholar] [CrossRef]
- Sheu, W.J.; Huang, R.T.; Wang, C.C. Heat transfer enhancement by needle arrayed electrodes—An EHD integrated cooling system. Energy Conserv. Manag. 2009, 50, 1789–1796. [Google Scholar]
- Chen, I.Y.; Guo, M.-Z.; Yang, K.-S.; Wang, C.-C. Enhanced cooling for LED lighting using ionic wind. Int. J. Heat Mass Transf. 2013, 57, 285–291. [Google Scholar] [CrossRef]
- Lee, J.R.; Lau, E.V. Enhancement of Forced Convection Heat Transfer on LED by Ionic Wind. In Proceedings of the 4th International Conference on Industrial Engineering Applications, Nagoya, Japan, 21–23 April 2017; pp. 35–38. [Google Scholar]
- Bai, Y.; Qu, M.; Luan, Z.; Li, X.; Yang, Y. Electrohydrodynamic drying of sea cucumber (Stichopus japonicus). LWT Food Sci. Technol. 2013, 54, 570–576. [Google Scholar] [CrossRef]
- Taghian Dinani, S.; Hamdami, N.; Shahedi, M.; Havet, M. Quality assessment of mushroom slices dried by hot air combined with an electrohydrodynamic (EHD) drying system. Food Bioprod. Process. 2015, 94, 572–580. [Google Scholar] [CrossRef]
- Martynenko, A.; Zheng, W. Electrohydrodynamic drying of apple slices: Energy and quality aspects. J. Food Eng. 2016, 168, 215–222. [Google Scholar] [CrossRef]
- Dobrynin, D.; Friedman, G.; Fridman, A.; Starikovskiy, A. Inactivation of bacteria using dc corona discharge: Role of ions and humidity. New J. Phys. 2011, 13, 103033. [Google Scholar] [CrossRef] [PubMed]
- Liang, J.-L.; Zheng, S.-H.; Ye, S.-Y. Inactivation of Penicillium aerosols by atmospheric positive corona discharge processing. J. Aerosol Sci. 2012, 54, 103–112. [Google Scholar] [CrossRef]
- Johnson, M.J.; Go, D.B. Recent advances in electrohydrodynamic pumps operated by ionic winds: A review. Plasma Sources Sci. Technol. 2017, 26. [Google Scholar] [CrossRef]
- Knap, M.; Duga, J.; Lui, T.C. Ionic wind generator on led lighting application. In Proceedings of the 20th International Workshop on Thermal Investigations of Ics and Systems Greenwich, London, UK, 21–23 September 2014. [Google Scholar]
- Chen, I.Y.; Chen, C.-J.; Wang, C.-C. Influence of electrode configuration on the heat transfer performance of a LED heat source. Int. J. Heat Mass Transf. 2014, 77, 795–801. [Google Scholar] [CrossRef]
- Shin, D.H.; Baek, S.H.; Ko, H.S. Development of heat sink with ionic wind for LED cooling. Int. J. Heat Mass Transf. 2016, 93, 516–528. [Google Scholar] [CrossRef]
- Xu, C.; Zhang, Z.; Chu, J.; Wu, J.; Lei, X. Thermal dissipation enhancement of LED filament bulb by ionic wind. In Proceedings of the 17th International Conference on Electronic Packaging Technology, Wuhan, China, 16–19 August 2016; pp. 1212–1215. [Google Scholar]
- June, M.S.; Kribs, J.; Lyons, K.M. Measuring efficiency of positive and negative ionic wind devices for comparison to fans and blowers. J. Electrost. 2011, 69, 345–350. [Google Scholar] [CrossRef]
- Drews, A.M.; Cademartiri, L.; Whitesides, G.M.; Bishop, K.J.M. Electric winds driven by time oscillating corona discharges. J. Appl. Phys. 2013, 114, 143302. [Google Scholar] [CrossRef]
- Lee, S.J.; Li, L; Kwon, K; Kim, W.; Kim, D. Parallel integration of ionic wind generators on PCBs for enhancing flow rate. Microsyst. Technol. 2015, 21, 1465–1471. [Google Scholar] [CrossRef]
- Shakouri Pour, M.; Esmaeilzadeh, E. Experimental investigation of convective heat transfer enhancement from 3D-shape heat sources by EHD actuator in duct flow. Exp. Therm. Fluid Sci. 2011, 35, 1383–1391. [Google Scholar] [CrossRef]
- Alamgholilou, A.; Esmaeilzadeh, E. Experimental investigation on hydrodynamics and heat transfer of fluid flow into channel for cooling of rectangular ribs by passive and EHD active enhancement methods. Exp. Therm. Fluid Sci. 2012, 38, 61–73. [Google Scholar] [CrossRef]
- Fylladitakis, E.D.; Moronis, A.X.; Kiousis, K. Design of a Prototype EHD Air Pump for Electronic Chip Cooling Applications. Plasma Sci. Technol. 2014, 16, 491–501. [Google Scholar] [CrossRef]
- Wang, J.; Cai, Y.-X.; Bao, W.-W.; Li, H.-X.; Liu, Q. Experimental study of high power LEDs heat dissipation based on corona discharge. Appl. Therm. Eng. 2016, 98, 420–429. [Google Scholar] [CrossRef]
- Wang, J.; Cai, Y.-X.; Li, X.-H.; Zhao, X.-D.; Wang, J.; Shi, Y.-F.; Shi, Y.-X. Experimental investigation of high-power light-emitting diodes’ thermal management by ionic wind. Appl. Therm. Eng. 2017, 122, 49–58. [Google Scholar] [CrossRef]
- Steele, R.V. High-brightness LED market overview. Proc. SPIE 2001, 4445, 1–4. [Google Scholar]
- Zhang, Y.; Liu, L.; Chen, Y.; Ouyang, J. Characteristics of ionic wind in needle-to-ring corona discharge. J. Electrost. 2015, 74, 15–20. [Google Scholar] [CrossRef]












| Components | Specifications |
|---|---|
| Needle (diameter × length + material) | 1 mm × 11 mm + wolfram |
| Ring (inner diameter × height × thickness+ material) | 98 mm × 16 mm × 2 mm + stainless steel |
| Distances between the needles and the ring, L | 6 mm/11 mm/16 mm/21 mm/26 mm |
| Working Parameters | Value |
|---|---|
| Voltage | 10.9 V |
| Current | 0.92 A |
| Size (diameter × thickness) | 30 mm × 0.15 mm |
| Experimental Facilities | Properties |
|---|---|
| DC high voltage power supply (Teslaman TRC2020, Dalian Teslaman Technologies Co. Ltd., Dalian, China) | Output voltage range: 0~+50 kV, 0~−50 kV |
| Resolution: 0.001 kV, 0.001 mA | |
| Accuracy: ±0.1% | |
| Stability: less than 0.1% per 8 h after boot up half an hour later | |
| Agilent signal acquisition system (Agilent 34970A, Agilent Technologies Co. Ltd., Santa Clara, CA, USA) | Temperature measurement range: −100~400 °C 1 |
| Accuracy: ±1 °C 1 | |
| Resolution: 0.001 °C | |
| T type thermal couples | Temperature measurement range: −100~400 °C |
| Accuracy: ±0.5 °C | |
| Steady voltage power supply (Maisheng MS-303D, Maihao Electronic Technology Co., Ltd., Dongguan, China) | Output voltage range:0–30 V |
| Accuracy: ±1% ± 1 dgt 2 | |
| Resolution: 0.01 V, 0.01 A | |
| Hot-wire anemometer (Smart-Sensor AR866A, Sigma Technology Inc., Ltd. Hong Kong, China) | Measurement range: 0.1~30 m/s |
| Accuracy: ±1% ± 1 dgt 2 | |
| Resolution: 0.01 m/s |
| Operation of the Heating Film | Temperature | |
|---|---|---|
| Heating Film Center, °C | Center of the Heat Sink Surface, °C | |
| Without ionic wind | 88.6 | 65.2 |
| Cooled by three-needle electrode | 56.8 | 34.2 |
| Cooled by four-needle electrode | 55.3 | 31.5 |
| Cooled by five-needle electrode | 53.0 | 30.5 |
© 2018 by the authors. Licensee MDPI, Basel, Switzerland. This article is an open access article distributed under the terms and conditions of the Creative Commons Attribution (CC BY) license (http://creativecommons.org/licenses/by/4.0/).
Share and Cite
Qu, J.; Kong, L.; Zhang, J. Experimental Investigation on Flow and Heat Transfer Characteristics of a Needle-Cylinder Type Ionic Wind Generator for LED Cooling. Energies 2018, 11, 1149. https://doi.org/10.3390/en11051149
Qu J, Kong L, Zhang J. Experimental Investigation on Flow and Heat Transfer Characteristics of a Needle-Cylinder Type Ionic Wind Generator for LED Cooling. Energies. 2018; 11(5):1149. https://doi.org/10.3390/en11051149
Chicago/Turabian StyleQu, Jingguo, Lingjian Kong, and Jianfei Zhang. 2018. "Experimental Investigation on Flow and Heat Transfer Characteristics of a Needle-Cylinder Type Ionic Wind Generator for LED Cooling" Energies 11, no. 5: 1149. https://doi.org/10.3390/en11051149
APA StyleQu, J., Kong, L., & Zhang, J. (2018). Experimental Investigation on Flow and Heat Transfer Characteristics of a Needle-Cylinder Type Ionic Wind Generator for LED Cooling. Energies, 11(5), 1149. https://doi.org/10.3390/en11051149
