Numerical Simulation of Nanofluid Suspensions in a Geothermal Heat Exchanger
Abstract
:1. Introduction
2. Mathematical Model
2.1. Governing Equations
2.1.1. Conservation of Mass
2.1.2. Conservation of Linear Momentum
2.1.3. Conservation of Nanoparticles Concentration
2.2. Constitutive Equations
2.2.1. Stress Tensor
2.2.2. Particle Flux
2.3. Expanded Forms of the Governing Equations and the Boundary Conditions
3. Geometry and the Problem Description
4. Results and Discussion
4.1. Sedimentation of the Nanoparticles under Static Conditions with Gravity
4.1.1. Effects of the Nanoparticle Size and Type
4.1.2. Effects of Particle Concentration and Ground Temperature
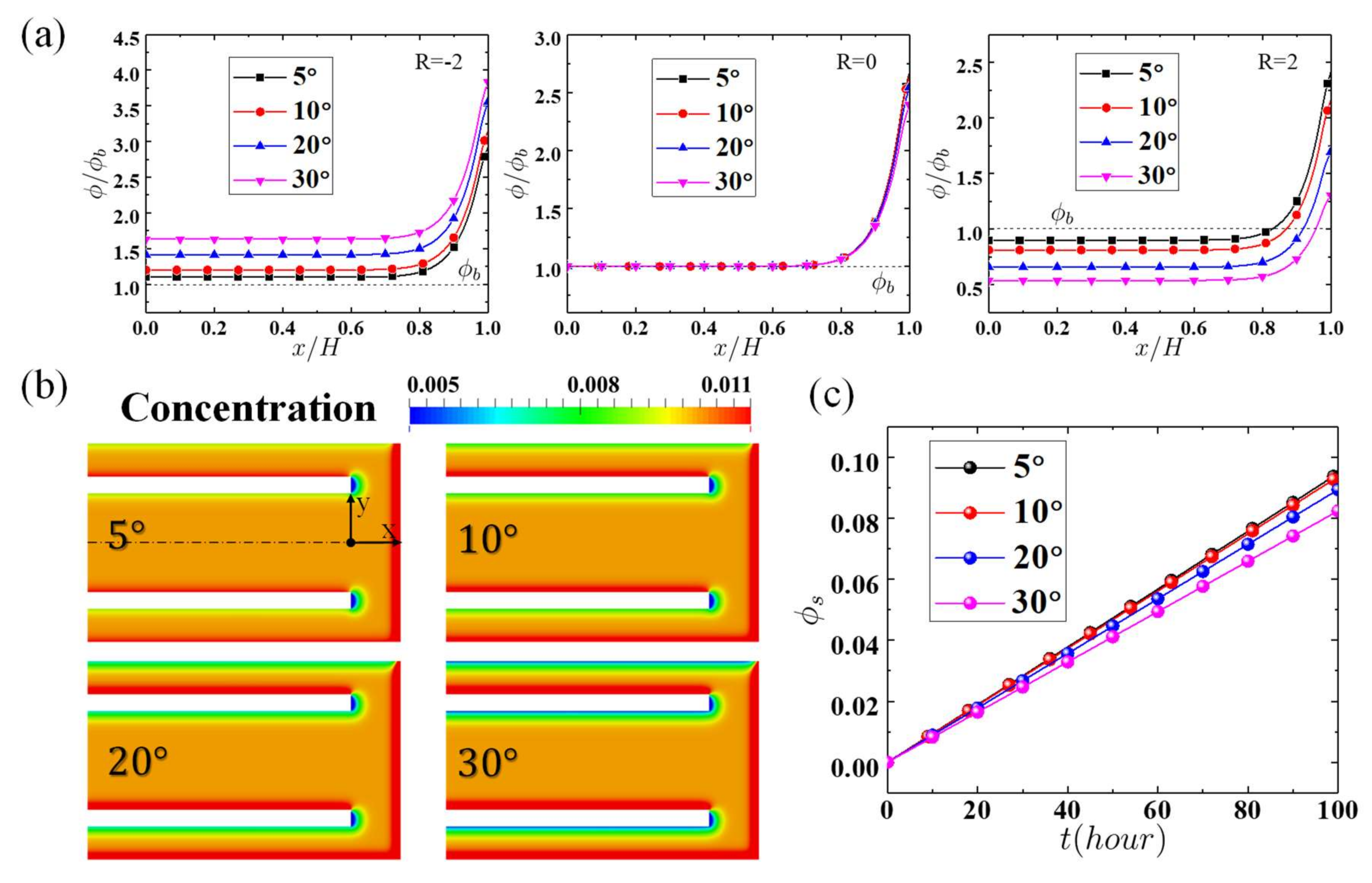
4.1.3. Effects of Inclined Angle of Pipes
4.2. Suspension Stability of the Nanofluids
4.2.1. Effects of the Reynolds Number
4.2.2. Effects of the Pulsed Flow and the Bottom Borehole Geometry
5. Conclusions
Acknowledgments
Author Contributions
Conflicts of Interest
Nomenclature
| time | |
| particle response time | |
| Cartesian coordinates (m) | |
| pressure (Pa) | |
| Boltzmann constant (J/K) | |
| Nanoparticle radius (m) | |
| diameter of nanoparticles (m) | |
| thermal conductivity of nanofluid (W/(mK)) | |
| thermal conductivity of particles (W/(mK)) | |
| Schmidt number | |
| reference length scale (m) | |
| reference velocity (m/s) | |
| Reynolds number | |
| Froude number | |
| dimensionless pressure | |
| dimensionless number (Brownian motion) | |
| dimensionless number (turbulent) | |
| dimensionless number (gravity) | |
| inner diameter of inner pipe (m) | |
| outer diameter of inner pipe (m) | |
| inner diameter of outer pipe (m) | |
| Distance between pipe end and borehole bottom | |
| length of the heat exchanger (m) | |
| mean inlet velocity (m/s) | |
| pulse velocity (m/s) | |
| pulse frequency (Hz) | |
| position vector (m) | |
| velocity vector (m/s) | |
| stress tensor (Pa) | |
| body force vector (N/kg) | |
| particles flux (kg/(m2s)) | |
| particles flux (thermophoresis) (kg/(m2s)) | |
| particles flux (Brownian motion) (kg/(m2s)) | |
| particles flux (turbulent) (kg/(m2s)) | |
| particles flux (gravity) (kg/(m2s)) | |
| symmetric part of velocity gradient (s−1) | |
| dimensionless velocity vector | |
| gravity | |
| dimensionless position vector | |
| Greek symbols | |
| density of nanofluid (kg/m3) | |
| volume fraction of the base fluid | |
| volume fraction of nanoparticles | |
| density of base fluid (kg/m3) | |
| density of pure nanoparticles (kg/m3) | |
| dynamic viscosity of base fluid (Pa∙s) | |
| dynamic viscosity of nanofluid (Pa∙s) | |
| kinematic viscosity of nanofluid (m2/s) | |
| kinematic viscosity of base fluid (m2/s) | |
| turbulent eddy diffusivity (m2/s) | |
| temperature (K) | |
| dimensionless time | |
| density ratio | |
| inclined angle |
References
- Finger, J.; Blankenship, D. Handbook of best practices for geothermal drilling. Sandia Natl. Lab. Albuquerque 2010. [Google Scholar]
- Faizal, M.; Bouazza, A.; Singh, R.M. Heat transfer enhancement of geothermal energy piles. Renew. Sustain. Energy Rev. 2016, 57, 16–33. [Google Scholar] [CrossRef]
- Fridleifsson, I.B.; Bertani, R.; Huenges, E.; Lund, J.W.; Ragnarsson, A.; Rybach, L. The possible role and contribution of geothermal energy to the mitigation of climate change. In IPCC Scoping Meeting on Renewable Energy Sources, Proceedings, Luebeck, Germany; Pennsylvania State University: State College, PA, USA, 2008; Volume 20, pp. 59–80. [Google Scholar]
- Lund, J.W.; Boyd, T.L. Direct utilization of geothermal energy 2015 worldwide review. Geothermics 2016, 60, 66–93. [Google Scholar] [CrossRef]
- Lund, J.W. Direct utilization of geothermal energy. Energies 2010, 3, 1443–1471. [Google Scholar] [CrossRef]
- Wu, W.-T.; Aubry, N.; Antaki, J.F.; McKoy, M.L.; Massoudi, M. Heat Transfer in a Drilling Fluid with Geothermal Applications. Energies 2017, 10, 1349. [Google Scholar] [CrossRef]
- Østergaard, P.A.; Lund, H. A renewable energy system in Frederikshavn using low-temperature geothermal energy for district heating. Appl. Energy 2011, 88, 479–487. [Google Scholar] [CrossRef]
- Kwag, B.C.; Krarti, M. Performance of thermoactive foundations for commercial buildings. J. Sol. Energy Eng. 2013, 135, 40907. [Google Scholar] [CrossRef]
- Yavuzturk, C.; Spitler, J.D.; Rees, S.J. A transient two-dimensional finite volume model for the simulation of vertical U-tube ground heat exchangers. ASHRAE Trans. 1999, 105, 465. [Google Scholar]
- Marcotte, D.; Pasquier, P. On the estimation of thermal resistance in borehole thermal conductivity test. Renew. Energy 2008, 33, 2407–2415. [Google Scholar] [CrossRef]
- Ghasemi-Fare, O.; Basu, P. A practical heat transfer model for geothermal piles. Energy Build. 2013, 66, 470–479. [Google Scholar] [CrossRef]
- Ghasemi-Fare, O.; Basu, P. Predictive assessment of heat exchange performance of geothermal piles. Renew. Energy 2016, 86, 1178–1196. [Google Scholar] [CrossRef]
- Ozudogru, T.Y.; Olgun, C.G.; Senol, A. 3D numerical modeling of vertical geothermal heat exchangers. Geothermics 2014, 51, 312–324. [Google Scholar] [CrossRef]
- Ozudogru, T.Y.; Ghasemi-Fare, O.; Olgun, C.G.; Basu, P. Numerical modeling of vertical geothermal heat exchangers using finite difference and finite element techniques. Geotech. Geol. Eng. 2015, 33, 291–306. [Google Scholar] [CrossRef]
- Rees, S.J.; He, M. A three-dimensional numerical model of borehole heat exchanger heat transfer and fluid flow. Geothermics 2013, 46, 1–13. [Google Scholar] [CrossRef]
- Nalla, G.; Shook, G.M.; Mines, G.L.; Bloomfield, K.K. Parametric sensitivity study of operating and design variables in wellbore heat exchangers. Geothermics 2005, 34, 330–346. [Google Scholar] [CrossRef]
- Hu, J. An improved analytical model for vertical borehole ground heat exchanger with multiple-layer substrates and groundwater flow. Appl. Energy 2017, 202, 537–549. [Google Scholar] [CrossRef]
- Ghasemi-Fare, O.; Basu, P. Influences of ground saturation and thermal boundary condition on energy harvesting using geothermal piles. Energy Build. 2018, 165, 340–351. [Google Scholar] [CrossRef]
- Yan, H.B.; Zhang, Q.C.; Lu, T.J.; Kim, T. A lightweight X-type metallic lattice in single-phase forced convection. Int. J. Heat Mass Transf. 2015, 83, 273–283. [Google Scholar] [CrossRef]
- Yan, H.B.; Zhang, Q.C.; Lu, T.J. An X-type lattice cored ventilated brake disc with enhanced cooling performance. Int. J. Heat Mass Transf. 2015, 80, 458–468. [Google Scholar] [CrossRef]
- Li, Q.; Xuan, Y.; Wang, J. Investigation on convective heat transfer and flow features of nanofluids. J. Heat Transf. 2003, 125, 151–155. [Google Scholar]
- Lomascolo, M.; Colangelo, G.; Milanese, M.; de Risi, A. Review of heat transfer in nanofluids: conductive, convective and radiative experimental results. Renew. Sustain. Energy Rev. 2015, 43, 1182–1198. [Google Scholar] [CrossRef]
- Tang, W.; Hatami, M.; Zhou, J.; Jing, D. Natural convection heat transfer in a nanofluid-filled cavity with double sinusoidal wavy walls of various phase deviations. Int. J. Heat Mass Transf. 2017, 115, 430–440. [Google Scholar] [CrossRef]
- Jing, D.; Song, D. Optical properties of nanofluids considering particle size distribution: Experimental and theoretical investigations. Renew. Sustain. Energy Rev. 2017, 78, 452–465. [Google Scholar] [CrossRef]
- Choi, S.U.S. Enhancing thermal conductivity of fluids with nanoparticles. In Developments and Applications of Non-Newtonian Flows; ASME: New York, NY, USA, 1995; Volume 66, pp. 99–105. [Google Scholar]
- Eastman, J.A.; Choi, U.S.; Li, S.; Thompson, L.J.; Lee, S. Enhanced thermal conductivity through the development of nanofluids. In MRS Online Proceedings Library Archive; Cambridge University Press: Cambridge, UK, 1996; Volume 457, p. 3. [Google Scholar]
- Eastman, J.A.; Choi, S.U.S.; Li, S.; Yu, W.; Thompson, L.J. Anomalously increased effective thermal conductivities of ethylene glycol-based nanofluids containing copper nanoparticles. Appl. Phys. Lett. 2001, 78, 718–720. [Google Scholar] [CrossRef]
- Xuan, Y.; Li, Q. Heat transfer enhancement of nanofluids. Int. J. Heat Fluid Flow 2000, 21, 58–64. [Google Scholar] [CrossRef]
- Choi, S.U.S.; Zhang, Z.G.; Yu, W.; Lockwood, F.E.; Grulke, E.A. Anomalous thermal conductivity enhancement in nanotube suspensions. Appl. Phys. Lett. 2001, 79, 2252–2254. [Google Scholar] [CrossRef]
- Lotfi, R.; Rashidi, A.M.; Amrollahi, A. Experimental study on the heat transfer enhancement of MWNT-water nanofluid in a shell and tube heat exchanger. Int. Commun. Heat Mass Transf. 2012, 39, 108–111. [Google Scholar] [CrossRef]
- Ghozatloo, A.; Rashidi, A.; Shariaty-Niassar, M. Convective heat transfer enhancement of graphene nanofluids in shell and tube heat exchanger. Exp. Therm. Fluid Sci. 2014, 53, 136–141. [Google Scholar] [CrossRef]
- Daneshipour, M.; Rafee, R. Nanofluids as the circuit fluids of the geothermal borehole heat exchangers. Int. Commun. Heat Mass Transf. 2017, 81, 34–41. [Google Scholar] [CrossRef]
- Zhou, Z.; Wu, W.-T.; Massoudi, M. Fully developed flow of a drilling fluid between two rotating cylinders. Appl. Math. Comput. 2016, 281, 266–277. [Google Scholar] [CrossRef]
- Buongiorno, J. Convective Transport in Nanofluids. J. Heat Transf. 2006, 128, 240. [Google Scholar] [CrossRef]
- Phillips, R.J.; Armstrong, R.C.; Brown, R.A.; Graham, A.L.; Abbott, J.R. A constitutive equation for concentrated suspensions that accounts for shear-induced particle migration. Phys. Fluids A Fluid Dyn. 1992, 4, 30–40. [Google Scholar] [CrossRef]
- Wu, W.-T.; Massoudi, M.; Yan, H. Heat Transfer and Flow of Nanofluids in a Y-Type Intersection Channel with Multiple Pulsations: A Numerical Study. Energies 2017, 10, 492. [Google Scholar] [CrossRef]
- Massoudi, M. A note on the meaning of mixture viscosity using the classical continuum theories of mixtures. Int. J. Eng. Sci. 2008, 46, 677–689. [Google Scholar] [CrossRef]
- Phuoc, T.X.; Massoudi, M.; Chen, R.-H. Viscosity and thermal conductivity of nanofluids containing multi-walled carbon nanotubes stabilized by chitosan. Int. J. Therm. Sci. 2011, 50, 12–18. [Google Scholar] [CrossRef]
- Massoudi, M.; Vaidya, A. Analytical solutions to Stokes-type flows of inhomogeneous fluids. Appl. Math. Comput. 2012, 218, 6314–6329. [Google Scholar] [CrossRef]
- Tzou, D.Y. Thermal instability of nanofluids in natural convection. Int. J. Heat Mass Transf. 2008, 51, 2967–2979. [Google Scholar] [CrossRef]
- Wang, X.; Xu, X.; Choi, S.U. Thermal conductivity of nanoparticle-fluid mixture. J. Thermophys. Heat Transf. 1999, 13, 474–480. [Google Scholar] [CrossRef]
- Syam, S.L.; Singh, M.K.; Sousa, A.C.M. Investigation of thermal conductivity and viscosity of Fe3O4 nanofluid for heat transfer applications. Int. Commun. Heat Mass Transf. 2013, 44, 7–14. [Google Scholar] [CrossRef]
- Nguyen, C.T.; Desgranges, F.; Roy, G.; Galanis, N.; Maré, T.; Boucher, S.; Mintsa, H.A. Temperature and particle-size dependent viscosity data for water-based nanofluids–hysteresis phenomenon. Int. J. Heat Fluid Flow 2007, 28, 1492–1506. [Google Scholar] [CrossRef]
- Kwak, K.; Kim, C. Viscosity and thermal conductivity of copper oxide nanofluid dispersed in ethylene glycol. Korea-Aust. Rheol. J. 2005, 17, 35–40. [Google Scholar]
- He, Y.; Jin, Y.; Chen, H.; Ding, Y.; Cang, D.; Lu, H. Heat transfer and flow behaviour of aqueous suspensions of TiO2 nanoparticles (nanofluids) flowing upward through a vertical pipe. Int. J. Heat Mass Transf. 2007, 50, 2272–2281. [Google Scholar] [CrossRef]
- Subia, S.R.; Ingber, M.S.; Mondy, L.A.; Altobelli, S.A.; Graham, A.L. Modelling of concentrated suspensions using a continuum constitutive equation. J. Fluid Mech. 1998, 373, 193–219. [Google Scholar] [CrossRef]
- Wu, W.-T.; Massoudi, M. Heat Transfer and Dissipation Effects in the Flow of a Drilling Fluid. Fluids 2016, 1, 4. [Google Scholar] [CrossRef]
- Hsu, T.; Traykovski, P.A.; Kineke, G.C. On modeling boundary layer and gravity-driven fluid mud transport. J. Geophys. Res. Ocean. 2007, 112. [Google Scholar] [CrossRef]
- Drew, D.A. Production and dissipation of energy in the turbulent flow of a particle-fluid mixture, with some results on drag reduction. J. Appl. Mech. 1976, 43, 543–547. [Google Scholar] [CrossRef]
- Richardson, J.F.; Zaki, W.N. The sedimentation of a suspension of uniform spheres under conditions of viscous flow. Chem. Eng. Sci. 1954, 3, 65–73. [Google Scholar] [CrossRef]
- Acrivos, A.; Mauri, R.; Fan, X. Shear-induced resuspension in a Couette device. Int. J. Multiph. Flow 1993, 19, 797–802. [Google Scholar] [CrossRef]
- Mavromoustaki, A.; Bertozzi, A.L. Hyperbolic systems of conservation laws in gravity-driven, particle-laden thin-film flows. J. Eng. Math. 2014, 88, 29–48. [Google Scholar] [CrossRef]
- Abedi, M.; Jalali, M.A.; Maleki, M. Interfacial instabilities in sediment suspension flows. J. Fluid Mech. 2014, 758, 312–326. [Google Scholar] [CrossRef]
- Tominaga, Y.; Stathopoulos, T. Turbulent Schmidt numbers for CFD analysis with various types of flowfield. Atmos. Environ. 2007, 41, 8091–8099. [Google Scholar] [CrossRef]
- Rusche, H. Computational Fluid Dynamics of Dispersed Two-Phase Flows at High Phase Fractions; Imperial College London (University of London): London, UK, 2002; Volume 1. [Google Scholar]
- OpenCFD. OpenFOAM Programmer’s Guide Version 2.1.0; Free Software Foundation, Inc.: Boston, MA, USA, 2011. [Google Scholar]
- Wu, W.-T.; Yang, F.; Antaki, J.F.; Aubry, N.; Massoudi, M. Study of blood flow in several benchmark micro-channels using a two-fluid approach. Int. J. Eng. Sci. 2015, 95, 49–59. [Google Scholar] [CrossRef] [PubMed]
- Ubbink, O. Numerical Prediction of Two Fluid Systems with Sharp Interfaces. Ph.D. Thesis, University of London, London, UK, 1997. [Google Scholar]
- Kim, J. Multiphase CFD Analysis and Shape-Optimization of Blood-Contacting Medical Devices; Carnegie Mellon University: Pittsburgh, PA, USA, 2012. [Google Scholar]
- Jameson, A.; Schmidt, W.; Turkel, E. Numerical solution of the Euler equations by finite volume methods using Runge Kutta time stepping schemes. In Proceedings of the 14th Fluid and Plasma Dynamics Conference, Palo Alto, CA, USA, 23–25 June 1981; p. 1259. [Google Scholar]
- Fan, R.; Jiang, Y.; Yao, Y.; Shiming, D.; Ma, Z. A study on the performance of a geothermal heat exchanger under coupled heat conduction and groundwater advection. Energy 2007, 32, 2199–2209. [Google Scholar] [CrossRef]
- Job, V.M.; Gunakala, S.R. Mixed convection nanofluid flows through a grooved channel with internal heat generating solid cylinders in the presence of an applied magnetic field. Int. J. Heat Mass Transf. 2017, 107, 133–145. [Google Scholar] [CrossRef]
- Selimefendigil, F.; Öztop, H.F. Pulsating nanofluids jet impingement cooling of a heated horizontal surface. Int. J. Heat Mass Transf. 2014, 69, 54–65. [Google Scholar] [CrossRef]
- Barbés, B.; Páramo, R.; Blanco, E.; Pastoriza-Gallego, M.J.; Piñeiro, M.M.; Legido, J.L.; Casanova, C. Thermal conductivity and specific heat capacity measurements of Al2O3 nanofluids. J. Therm. Anal. Calorim. 2013, 111, 1615–1625. [Google Scholar] [CrossRef]
- Li, Y.; Yan, H.; Massoudi, M.; Wu, W.-T. Effects of Anisotropic Thermal Conductivity and Lorentz Force on the Flow and Heat Transfer of a Ferro-Nanofluid in a Magnetic Field. Energies 2017, 10, 1065. [Google Scholar] [CrossRef]
- Marcotte, D.; Pasquier, P. The effect of borehole inclination on fluid and ground temperature for GLHE systems. Geothermics 2009, 38, 392–398. [Google Scholar] [CrossRef]
- Xuan, Y.; Li, Q.; Hu, W. Aggregation structure and thermal conductivity of nanofluids. AIChE J. 2003, 49, 1038–1043. [Google Scholar] [CrossRef]














| Boundary Type | Pressure | Velocity | Concentration |
|---|---|---|---|
| Wall | Fixed flux (0) | Fixed value | Fixed flux (0) |
| Inlet | Fixed value (0) | Fixed value | Fixed value (0) |
| Outlet | Fixed value (0) | Fixed flux (0) | Fixed flux (0) |
© 2018 by the authors. Licensee MDPI, Basel, Switzerland. This article is an open access article distributed under the terms and conditions of the Creative Commons Attribution (CC BY) license (http://creativecommons.org/licenses/by/4.0/).
Share and Cite
Sun, X.-H.; Yan, H.; Massoudi, M.; Chen, Z.-H.; Wu, W.-T. Numerical Simulation of Nanofluid Suspensions in a Geothermal Heat Exchanger. Energies 2018, 11, 919. https://doi.org/10.3390/en11040919
Sun X-H, Yan H, Massoudi M, Chen Z-H, Wu W-T. Numerical Simulation of Nanofluid Suspensions in a Geothermal Heat Exchanger. Energies. 2018; 11(4):919. https://doi.org/10.3390/en11040919
Chicago/Turabian StyleSun, Xiao-Hui, Hongbin Yan, Mehrdad Massoudi, Zhi-Hua Chen, and Wei-Tao Wu. 2018. "Numerical Simulation of Nanofluid Suspensions in a Geothermal Heat Exchanger" Energies 11, no. 4: 919. https://doi.org/10.3390/en11040919
APA StyleSun, X.-H., Yan, H., Massoudi, M., Chen, Z.-H., & Wu, W.-T. (2018). Numerical Simulation of Nanofluid Suspensions in a Geothermal Heat Exchanger. Energies, 11(4), 919. https://doi.org/10.3390/en11040919

