How Reliable Are Standard Thermal Response Tests? An Assessment Based on Long-Term Thermal Response Tests Under Different Operational Conditions
Abstract
1. Introduction
2. An Overview of Basic Analytic Modeling Approaches for TRT Data Analysis
2.1. General Questions Related to TRT Data Analysis
2.2. Analytic Modeling Approaches for TRT Data Analysis
- The underground is considered a homogeneous semi-infinite porous medium, which is initially at thermal equilibrium at the undisturbed temperature ;
- Soil thermal properties are independent of the temperature;
- The boundary of the ground surface has a fixed temperature equal to the initial temperature of the underground. The natural geothermal gradient is not accounted for;
- A constant heat flow rate per unit length of the borehole is applied to a linear source of either infinite or finite length. If we choose a finite linear source, it stretches along the z-axis down to the same depth as the physical length of the BHE to be represented, H;
- The linear source moves in relation to the semi-infinite permeable soil with a velocity which is equal to the uniform velocity of Darcy .
2.3. Infinite (ILS) Line-Source Models
2.4. Finite Linear-Source (FLS) Scheme
2.5. Infinite (MILS) Moving Line-Source Method
2.6. Finite (MFLS) Moving Line-Source Method
3. Measurements Description
3.1. Description of Borehole Exchanger Facility and Hydrogeology of the Site
- From 40 to 36 m deep: A layer of gravels with a coarse sand matrix, generally assumed to correspond to paleochannels or secondary distributary channels associated to the activity of the ravines.
- From 36 to 26 m deep: The next layer is dominated by sandy deposits passing upward to silty and clay deposits, which are related to the flooding plains associated to the alluvial environments.
- From 26 to 12 m deep: A layer of rounded gravels with a 5 cm edge.
- From 12 to 4 m deep: After the second episode of gravels, the sedimentation was related to peat deposits. Those peats were deposited in marsh areas (ancient or recent), previously studied by the authors of [57]. Some of them are still present along the coast of Valencia and Castellón, forming high valuable natural environments, such as the Albufera.
- From 4 m deep to surface: Finally, the top of the column is formed by 4 m of fine sediments (clays and silts) associated, again, with flooding plains.
3.2. Previous Estimation of Thermal Soil Parameters
3.3. Heat Injection Fluctuation Control Scheme and Description of Tests
3.4. Parameter Estimation Procedure
- The value for the soil diffusivity is set at . The rest of geometrical parameters, H and and the resulting value of are set according to the geometry of the TRT site;
- The mean heat injection rate is calculated following Expression (24);
- A derived data vector is calculated given by: (for ), being the Fourier number corresponding to time (according to Expression (9)) and being the average inlet and outlet temperatures at time . The calculated data vector is truncated, leaving only those readings for which .
- A least square (LSQ) optimization algorithm is applied to the data. Given a theoretical model (“mod”), the algorithm finds those model parameter values —where represents an absolute temperature penalty parameter given by —that minimize the error given by Equation (25) between the predicted temperatures for each of the three available model options (Expressions (10), ( 11), and (21)) and the experimental dataset. The LSQ error is given by:In the case of the ILS and FLS methods, no estimate for the Péclet number is obtained.
- To test whether a stable parameter estimation is obtained, the described procedure is repeated with a varying number of days in the data file, starting from day 3 up to the last day of the test. The resulting information is stored in a data structure of the form:which is a matrix containing the estimation for parameters (, and ) as well as statistical estimators, such as , p-values, and confidence intervals (pointed at with the parameter index i), gathered using reference model j (either ILS, FLS, MILS, or MFLS) and based on the experimental results of test k (restricted here to the tests listed in Table 2). The day index d signals that only experimental data gathered up to day d are taken into account for that estimation.
4. Results and Discussion
4.1. Experiment vs. Model
4.2. Soil Thermal Conductivity and Groundwater Flow Parameter
4.3. Error Analysis and Comparison Between Different Experiments
4.4. Borehole Resistance Estimation
5. Conclusions and Further Outlook
- We reported the result of three experiments performed with a reduction active PID control of the external thermal fluctuation. As reported in a previous communication, this is essential to obtain useful conclusions from the analyzed data;
- Four theoretical models—all based on the line-source approach—were chosen to analyze the resulting information because of their relative simplicity and due to being amongst those most usually used in TRT practice;
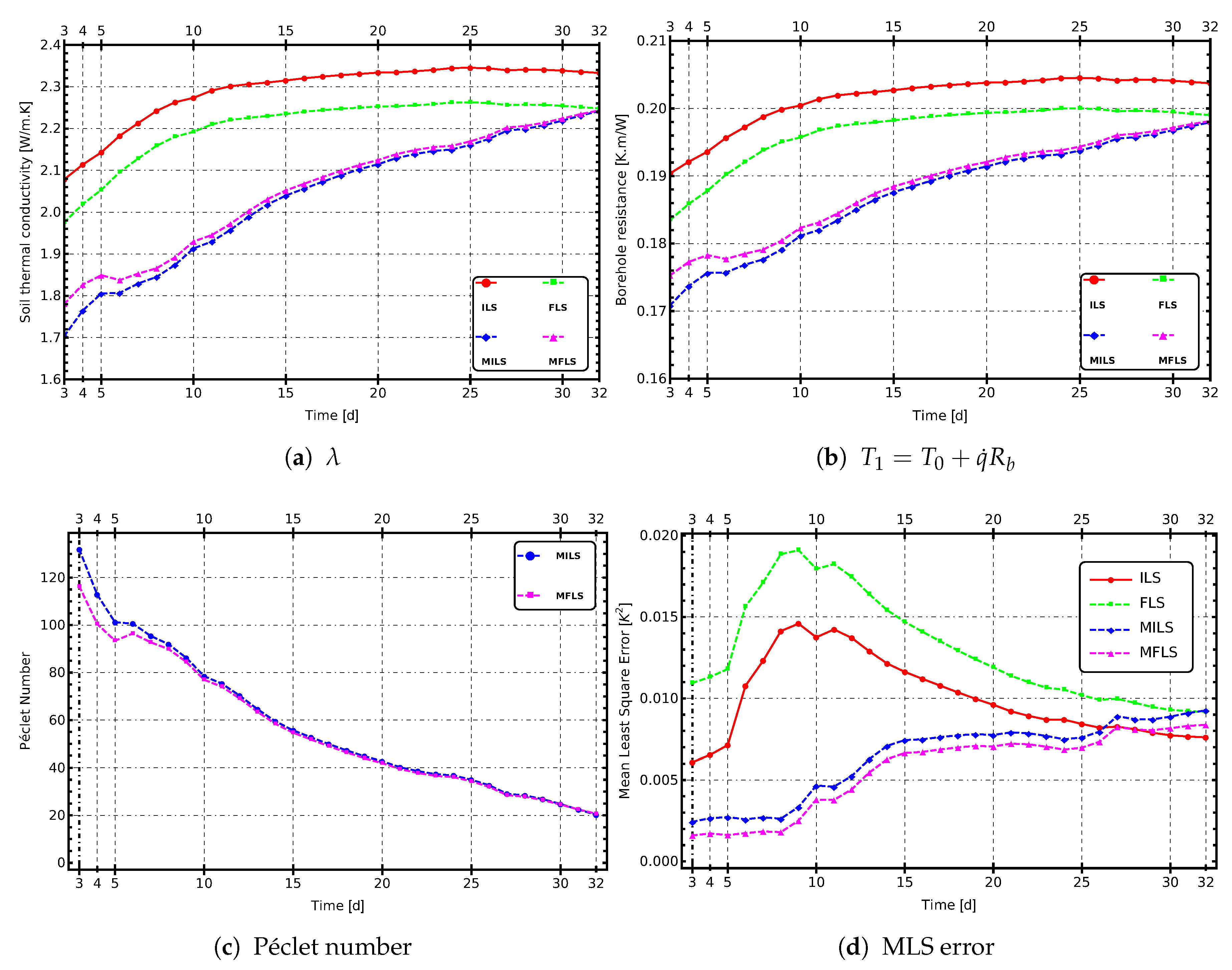
- The most significant test for the analysis of the performance of the different models was the 32-day long stable heat pulse TRT. From the analysis of this test, it was possible to conclude the following:
- All four models can accurately represent experimental temperature evolution, in the sense that on a visual inspection, theoretical and calculated curves are coincident. However, there are many caveats regarding the significance parameters extracted and its reproducibility and stability;
- If no adequate data selection is done, parameters extracted from the tests from the first days are substantially different than parameters that are extracted taking into account a longer period. The ILS and FLS models only stabilize their predictions after 10–12 days, whereas for the MILS and MFLS models, it takes substantially longer to find a stable parameter estimate;
- If data from the first test days are disregarded for the analysis, the convergence to the definitive parameter estimates is much faster. This is probably due to the fact that heat transfer during the first 2–3 days is not adequately represented by a line-source model;
- After 32 days, the ILS, MILS, and MFLS converged to the same values for the and soil and BHE resistance parameters. The final value of W/(m.K) is in a good agreement with estimates from soil tests [59]. For the borehole resistance, (m.K)/W was obtained;
- Soil conductivity estimates by the FLS theories are similar, but systematically lower than the former ( W/(m.K)), signaling that the axial effects are small, but detectable with these tests;
- The MILS and MFLS theories produced a consistent and stable estimate for the Péclet number of . The value obtained is quite robust towards experimental errors and model uncertainties and, thus, could be considered significant.
- We constructed an experiment-independent parameter confidence region for the estimates of () that characterized the sensitivity of the results of parameter estimation to systematic or random experimental errors. The different experiments showed reproducible results in the sense that the accumulation points of the parameter estimates of all models fell within the same confidence region. It is, however, essential to get high-precision results, to take into account seasonal and other sources of perturbation of the undisturbed ground temperature used for the calculations;
- As a final outcome of our analysis, we can confirm the good qualities of the ILS approach to be used as reference model for parameter estimation in our soil conditions: It is very simple to handle, displays a comparable LSQ in longer tests, and more importantly, it shows a faster convergence towards the parameter confidence region when test duration is shorter, since in geothermal industry, for economic and operational reasons, TRT tests are carried out in the shortest possible time, and this could lead to the estimation of incorrect thermal parameters regarding the long-term behaviour of the system.
Author Contributions
Funding
Conflicts of Interest
Abbreviations
| BHE | Borehole heat exchanger |
| FLS | Finite line-source model |
| GSHP | Ground source heat pump |
| IEA-ECES | Energy Conservation and Energy Storage program from International Energy Agency |
| ILS | Infinite line-source model |
| LSQ | Least square |
| MILS | Moving infinite line-source model |
| MFLS | Moving finite line-source model |
| PID | Proportional, intergral, derivative controller |
| SGES | Shallow geothermal energy systems |
| TRT | Thermal response test |
| UPV | Universitat Politècnica de València |
| Temperature at borehole outlet | |
| Temperature at borehole inlet | |
| Mean temperature inside the borehole | |
| Short timescale | |
| Second timescale | |
| Heat injection | |
| H | Borehole depth |
| Heat injection rate | |
| Volume flow of the fluid inside the BHE | |
| Heat capacity of the fluid | |
| Water heat capacity | |
| Density of the fluid | |
| Water bulk density | |
| Soil bulk density | |
| Undisturbed temperature of the ground | |
| Average temperature of the ground at any moment | |
| Temperature difference of fluid | |
| Average between and | |
| Effective heat transport velocity | |
| Uniform Darcy velocity in the x-direction | |
| Borehole thermal resistance | |
| Borehole radius | |
| Ground conductivity | |
| Euler–Mascherotti’s constant | |
| Fourier number | |
| Pe | Péclet number |
References
- Omer, A.M. Ground-source heat pumps systems and applications. Renew. Sustain. Energy Rev. 2008, 12, 344–371. [Google Scholar] [CrossRef]
- Sanner, B.; Karytsasb, C.; Mendrinosb, D.; Rybach, L. Current status of ground source heat pumps and underground thermal energy storage in Europe. Geothermics 2003, 32, 579–588. [Google Scholar] [CrossRef]
- Urchueguía, J.; Zacarés, M.; Corberĺn, J.; Montero, Á.; Martos, J.; Witte, H. Comparison between the energy performance of a ground coupled water to water heat pump system and an air to water heat pump system for heating and cooling in typical conditions of the European Mediterranean coast. Energy Convers. Manag. 2008, 49, 2917–2923. [Google Scholar] [CrossRef]
- Lim, H.; Kim, C.; Cho, Y.; Kim, M. Energy saving potentials from the application of heat pipes on geothermal heat pump system. Appl. Therm. Eng. 2017, 126, 1191–1198. [Google Scholar] [CrossRef]
- Lund, J.W. Direct heat utilization of geothermal resources. Renew. Energy 1997, 10, 403–408. [Google Scholar] [CrossRef]
- A Guide to Energy-Efficient Heating and Cooling; Technical report; U.S. Environmental Protection Agency (EPA): Washington, DC, USA, 2009.
- Sanner, B.; Hellström, G.; Spitler, J.D.; Gehlin, S. More than 15 years of mobile Thermal Response Test—A summary of experiences and prospects. In Proceedings of the European Geothermal Congress, Pisa, Italy, 3–7 June 2013. [Google Scholar]
- Thermal Response Test (TRT) State-of-the Art 2011: IEA ECES ANNEX 21; Technical report; Luleå University of Technology, Architecture and Water: Luleå, Sweden, 2011.
- Witte, H.J. Error analysis of thermal response tests. Appl. Energy 2013, 109, 302–311. [Google Scholar] [CrossRef]
- Borinaga-Treviño, R.; Pascual-Muñoz, P.; Castro-Fresno, D.; Blanco-Fernandez, E. Borehole thermal response and thermal resistance of four different grouting materials measured with a TRT. Appl. Therm. Eng. 2013, 53, 13–20. [Google Scholar] [CrossRef]
- Witte, H.J.L.; Van Gelder, G.J.; Spitier, J.D. In situ measurement of ground thermal conductivity: A Dutch perspective. Ashrae Trans. 2002, 108, 263. [Google Scholar]
- Hellström, G. Ground Heat Storage: Thermal Analyses of Duct Storage Systems. Ph.D. Thesis, Lund University, Longde, Sweden, 1991. [Google Scholar]
- Conti, P.; Testi, D.; Grassi, W. Revised heat transfer modeling of double-U vertical ground-coupled heat exchangers. Appl. Therm. Eng. 2016, 106, 1257–1267. [Google Scholar] [CrossRef]
- Ingersoll, L.; Zobel, O.; Ingersoll, A. Heat Conduction: With Engineering, Geological and Other Applications; Madison University of Wisconsin Press: Madison, WI, USA, 1954. [Google Scholar]
- Carslaw, H.S.; Jaeger, J.C. Conduction of Heat in Solids; OXFORD UNIV PR: Oxford, UK, 1986. [Google Scholar]
- Mogenson, P. Fluid to Duct Wall Heat Transfer in Duct System Heat Storages. In Proceedings of the International Conference on Subsurface Heat Storage in Theory and Practice, Stockholm, Sweden, 6–8 June 1983. [Google Scholar]
- Eskilson, P. Thermal Analysis of Heat Extraction Boreholes. Ph.D. Thesis, Lund University, Longde, Sweden, 1987. [Google Scholar]
- Lamarche, L.; Beauchamp, B. A new contribution to the finite line-source model for geothermal boreholes. Energy Build. 2007, 39, 188–198. [Google Scholar] [CrossRef]
- Bandos, T.V.; Montero, Á.; Fernández, E.; Santander, J.L.G.; Isidro, J.M.; Pérez, J.; de Córdoba, P.J.F.; Urchueguía, J.F. Finite line-source model for borehole heat exchangers: effect of vertical temperature variations. Geothermics 2009, 38, 263–270. [Google Scholar] [CrossRef]
- Eskilson, P.; Claesson, J. Simulation model for thermally interacting heat extraction boreholes. Numer. Heat Transf. 1988, 13, 149–165. [Google Scholar] [CrossRef]
- Gehlin, S.; Nordell, B. Determining undisturbed ground temperature for thermal response test. In Proceedings of the Winter Meeting of the American Society of Heating, Refrigerating and Air-Conditioning Engineers, Orlando, FL, USA, 5–9 February 2005. [Google Scholar]
- Sanner, B.; Hellström, G.; Spitler, J.; Gehlin, S. Thermal Response Test—Current Status and World-Wide Application. In Proceedings of the World Geothermal Congress, Antalya, Turkey, 24–29 April 2005. [Google Scholar]
- Austin, W. Development of an In-Situ System for Measuring Ground Thermal Properties. Master’s Thesis, Oklahoma State University, Stillwater, OK, USA, 1998. [Google Scholar]
- Shonder, J.; Beck, J. Field test of a new method for determining soil formation thermal conductivity and borehole resistance. Ashrae Trans. 2000, 106, 929. [Google Scholar]
- Beier, R.A. Transient heat transfer in a U-tube borehole heat exchanger. Appl. Therm. Eng. 2014, 62, 256–266. [Google Scholar] [CrossRef]
- Carli, M.D.; Tonon, M.; Zarrella, A.; Zecchin, R. A computational capacity resistance model (CaRM) for vertical ground-coupled heat exchangers. Renew. Energy 2010, 35, 1537–1550. [Google Scholar] [CrossRef]
- Rivera, J.A.; Blum, P.; Bayer, P. Analytical simulation of groundwater flow and land surface effects on thermal plumes of borehole heat exchangers. Appl. Energy 2015, 146, 421–433. [Google Scholar] [CrossRef]
- Beier, R.A.; Smith, M.D. Borehole thermal resistance from line-source model of in-situ tests. Ashrae Trans. 2002, 108, 212. [Google Scholar]
- Javed, S.; Fahlén, P.; Holmberg, H. Modelling for optimization of brine temperature in ground source heat pump systems. In Proceedings of the 8th International Conference on Sustainable Energy Technologies (SET 2009), Istanbul, Turkey, 8–9 June 2009. [Google Scholar]
- Zeng, H.Y.; Diao, N.R.; Fang, Z.H. A finite line-source model for boreholes in geothermal heat exchangers. Heat Transf. Asian Res. 2002, 31, 558–567. [Google Scholar] [CrossRef]
- Witte, H.; van Gelder, A. Geothermal Response Tests using controlled multipower level heating and cooling pulses (MPL–HCP). In Proceedings of the 10th International Conference on Thermal Energy Storage, Ecostock 2006, Pomona, NJ, USA, 31 May–2 June 2006. [Google Scholar]
- Noorollahi, Y.; Saeidi, R.; Mohammadi, M.; Amiri, A.; Hosseinzadeh, M. The effects of ground heat exchanger parameters changes on geothermal heat pump performance—A review. Appl. Therm. Eng. 2018, 129, 1645–1658. [Google Scholar] [CrossRef]
- Jahangir, M.H.; Sarrafha, H.; Kasaeian, A. Numerical modeling of energy transfer in underground borehole heat exchanger within unsaturated soil. Appl. Therm. Eng. 2018, 132, 697–707. [Google Scholar] [CrossRef]
- Zarrella, A.; Pasquier, P. Effect of axial heat transfer and atmospheric conditions on the energy performance of GSHP systems: A simulation-based analysis. Appl. Therm. Eng. 2015, 78, 591–604. [Google Scholar] [CrossRef]
- Bandos, T.; Montero, A.; Fernández de Córdoba, P.; Urchueguía, J. Improving parameter estimates obtained from thermal response tests: Effect of ambient air temperature variations. Geothermics 2011, 40, 136–143. [Google Scholar] [CrossRef]
- Zhang, Y.; Li, L.; Erler, D.V.; Santos, I.; Lockington, D. Effects of alongshore morphology on groundwater flow and solute transport in a nearshore aquifer. Water Resour. Res. 2016, 52, 990–1008. [Google Scholar] [CrossRef]
- Wood, C.J.; Liu, H.; Riffat, S.B. Comparative performance of ‘U-tube’ and ‘coaxial’ loop designs for use with a ground source heat pump. Appl. Therm. Eng. 2012, 37, 190–195. [Google Scholar] [CrossRef]
- Abdelaziz, S.L.; Ozudogru, T.Y. Selection of the design temperature change for energy piles. Appl. Therm. Eng. 2016, 107, 1036–1045. [Google Scholar] [CrossRef]
- Chiasson, A.D. Advances in Modeling of Ground-Source Heat Pump Systems. Master’s Thesis, Faculty of the Graduate College of the Oklahoma State University, Stillwater, OK, USA, 1999. [Google Scholar]
- Molina-Giraldo, N.; Blum, P.; Zhu, K.; Bayer, P.; Fang, Z. A moving finite line source model to simulate borehole heat exchangers with groundwater advection. Int. J. Therm. Sci. 2011, 50, 2506–2513. [Google Scholar] [CrossRef]
- Wagner, I.M. Oberflächennahe Geothermiesondenanlagen : von der Praxisstudie zur modellbasierten Analyse ihrer Temperaturfahnenausbreitung. Ph.D. Thesis, Institut und Versuchsanstalt für Geotechnik der Technischen Universität Darmstadt, Darmstadt, Germany, 2016. [Google Scholar]
- Luo, J.; Tuo, J.; Huang, W.; Zhu, Y.; Jiao, Y.; Xiang, W.; Rohn, J. Influence of groundwater levels on effective thermal conductivity of the ground and heat transfer rate of borehole heat exchangers. Appl. Therm. Eng. 2018, 128, 508–516. [Google Scholar] [CrossRef]
- Montero, A.; Urchueguía, J.F.; Martos, J.; Badenes, B.; Picard, M.A. Ground temperature profile while thermal response testing. In Proceedings of the European Geothermal Congress 2013, Pisa, Italy, 3–7 June 2013; pp. 1–6. [Google Scholar]
- Badenes, B.; Mateo Pla, M.A.; Magraner, T.; Lemus, L.; Urchueguía, J.F. Experimental facility to perform Thermal Response Tests and study the thermal behaviour of the ground. In Proceedings of the European Geothermal Congress 2016, Strasbourg, Feance, 19–23 September 2016. [Google Scholar]
- Badenes, B.; Mateo Pla, Á.M.; Lemus-Zúñiga, G.L.; Sáiz Mauleón, B.; Urchueguía, J.F. On the Influence of Operational and Control Parameters in Thermal Response Testing of Borehole Heat Exchangers. Energies 2017, 10. [Google Scholar] [CrossRef]
- Zeng, H.; Diao, N.; Fang, Z. Heat transfer analysis of boreholes in vertical ground heat exchangers. Int. J. Heat Mass Transf. 2003, 46, 4467–4481. [Google Scholar] [CrossRef]
- Signorelli, S.; Bassetti, S.; Pahud, D.; Kolh, T. Numerical evaluation of Thermal Response Tests. Geothermics 2007, 36, 141–166. [Google Scholar] [CrossRef]
- Hähnlein, S.; Molina-Giraldo, N.; Blum, P.; Bayer, P.; Grathwohl, P. Ausbreitung von Kältefahnen im Grundwasser bei Erdwärmesonden [Cold plumes in groundwater for ground source heat pump systems]. Grundwasser 2010, 15, 123–133. [Google Scholar] [CrossRef]
- Molina-Giraldo, N.; Blum, P.; Bayer, P. Importance of thermal dispersion in temperature plumes. In Proceedings of the 8th International Conference on Calibration and Reliability in Groundwater Modeling, Brisbane, Australia, 2–10 August 2012; Volume 355, pp. 195–200. [Google Scholar]
- Bear, J. Dynamics of Fluids in Porous Media; Dover Civil and Mechanical Engineering Series: Dover, UK, 1972. [Google Scholar]
- Sutton, M.G.; Nutter, D.W.; Couvillion, R.J. A Ground Resistance for Vertical Bore Heat Exchangers With Groundwater Flow. J. Energy Resour. Technol. 2003, 125, 183–189. [Google Scholar] [CrossRef]
- Diao, N.; Li, Q.; Fang, Z. Heat transfer in ground heat exchangers withgroundwater advection. Therm. Sci. 2004, 43, 203–1211. [Google Scholar]
- TA3130-Temperature Transmitter-IFM Electronic. Available online: https://www.ifm.com/gb/en/product/TA3130 (accessed on 29 November 2018).
- OSAKA PP10. Available online: http://osakasolutions.com/wp-content/uploads/2012/11/Manual_ PP30-PP10-PP08.pdf (accessed on 29 November 2018).
- IFM SM8000-Flow Transmitter-IFM Electronic. Available online: https://www.ifm.com/gb/en/product/SM8000 (accessed on 29 July 2018).
- Geological Map of Spain. Scale 1:50.000, MAGNA. Page n°722 (Valencia); IGME: Madrid, Spain, 1972.
- López-Buendía, A.; Whateley, M.; Bastida, J.; Urquiola, M. Origins of mineral matter in peat marsh and peat bog deposits, Spain. Int. J. Coal Geol. 2007, 71, 246–262. [Google Scholar] [CrossRef]
- Hydrogeological Map of Spain. Scale 1:200.000. Page n°56 (Valencia); IGME: Madrid, Spain, 2015.
- Badenes, B.; de Santiago, C.; Nope, F.; Magraner, T.; Urchueguía, J.F.; de Groot, M.; de Santayana, F.P.; Arcos, J.L.; Martín, F. Thermal characterization of a geothermal precast pile in Valencia (Spain). In Proceedings of the European Geothermal Congress, Strasbourg, Feance, 19–23 September 2016. [Google Scholar]
- Bristow, K.L.; Kluitenberg, G.J.; Horton, R. Measurement of Soil Thermal Properties with a Dual-Probe Heat-Pulse Technique. Soil Sci. Soc. Am. J. 1994, 58, 1288–1294. [Google Scholar] [CrossRef]
- Badenes, B.; Belliardi, M.; Bernardi, A.; Carli, M.D.; Tuccio, M.D.; Emmi, G.; Galgaro, A.; Graci, S.; Pockele, L.; Vivarelli, A.; Pera, S.; Urchueguía, J.F.; Zarrella, A. Definition of Standardized Energy Profiles for Heating and Cooling of Buildings. In Proceedings of the 12th REHVA World Congress 2016, Aalborg, Denmark, 22–25 May 2016. [Google Scholar]
- Tinti, F.; Bruno, R.; Focaccia, S. Thermal response test for shallow geothermal applications: a probabilistic analysis approach. Geotherm. Energy 2015, 3, 6. [Google Scholar] [CrossRef]
- Wolfram Research, I. Mathematica 11.2. Available online: https://www.wolfram.com/mathematica (accessed on 29 November 2018).
- Hillel, D. Fundamentals of Soil Physics; Academic Press: Cambridge, MA, USA, 1982; pp. 287–317. [Google Scholar]









| Sensor Name | Units | Description | Specification |
|---|---|---|---|
| C | Temperature at borehole inlet | IFM TA3130 [53] PT100 Class A Range: 0–140 C Output: 4–20 mA Res < 0.02 C | |
| C | Temperature at borehole outlet | ||
| °C | Ground temperature | ||
| C | Ambient temperature | ||
| Pressure | Pa | System pressure | OSAKA PP10 [54] Range: 0–1000 kPa Output: 4–20 mA Linearity: 0.3% Stability: 0.2% |
| Flow | m3 h−1 | Water Flow | IFM SM8000 [55] Range: 0.01–6.00 m3 h−1 Output: 4–20 mA Res < 0.005 m3 h−1 |
| Experiment Name | Start Date (yyyy-mm-dd) | Duration (Days) | Control | Heat Injection Rate | |
|---|---|---|---|---|---|
| Mean (W) | Std. Dev. | ||||
| test_1_2 | 2016-03-07 | 11 | PID | 1982 | 26 |
| test_2_15 | 2017-03-07 | 9 | PID | 1497 | 24 |
| test_2_25 | 2017-04-10 | 32 | PID | 2428 | 22 |
© 2018 by the authors. Licensee MDPI, Basel, Switzerland. This article is an open access article distributed under the terms and conditions of the Creative Commons Attribution (CC BY) license (http://creativecommons.org/licenses/by/4.0/).
Share and Cite
Urchueguía, J.F.; Lemus-Zúñiga, L.-G.; Oliver-Villanueva, J.-V.; Badenes, B.; Mateo Pla, M.A.; Cuevas, J.M. How Reliable Are Standard Thermal Response Tests? An Assessment Based on Long-Term Thermal Response Tests Under Different Operational Conditions. Energies 2018, 11, 3347. https://doi.org/10.3390/en11123347
Urchueguía JF, Lemus-Zúñiga L-G, Oliver-Villanueva J-V, Badenes B, Mateo Pla MA, Cuevas JM. How Reliable Are Standard Thermal Response Tests? An Assessment Based on Long-Term Thermal Response Tests Under Different Operational Conditions. Energies. 2018; 11(12):3347. https://doi.org/10.3390/en11123347
Chicago/Turabian StyleUrchueguía, Javier F., Lenin-Guillermo Lemus-Zúñiga, Jose-Vicente Oliver-Villanueva, Borja Badenes, Miguel A. Mateo Pla, and José Manuel Cuevas. 2018. "How Reliable Are Standard Thermal Response Tests? An Assessment Based on Long-Term Thermal Response Tests Under Different Operational Conditions" Energies 11, no. 12: 3347. https://doi.org/10.3390/en11123347
APA StyleUrchueguía, J. F., Lemus-Zúñiga, L.-G., Oliver-Villanueva, J.-V., Badenes, B., Mateo Pla, M. A., & Cuevas, J. M. (2018). How Reliable Are Standard Thermal Response Tests? An Assessment Based on Long-Term Thermal Response Tests Under Different Operational Conditions. Energies, 11(12), 3347. https://doi.org/10.3390/en11123347

