Research on Modeling of Microgrid Based on Data Testing and Parameter Identification
Abstract
:1. Introduction
2. Parameter Identification and Data Testing for Microgrid Based on Sensitivity Analysis
2.1. Parameter Trajectory Sensitivity
2.2. Determination of Parameters to be Identified and Data Testing Scheme for the Microgrid
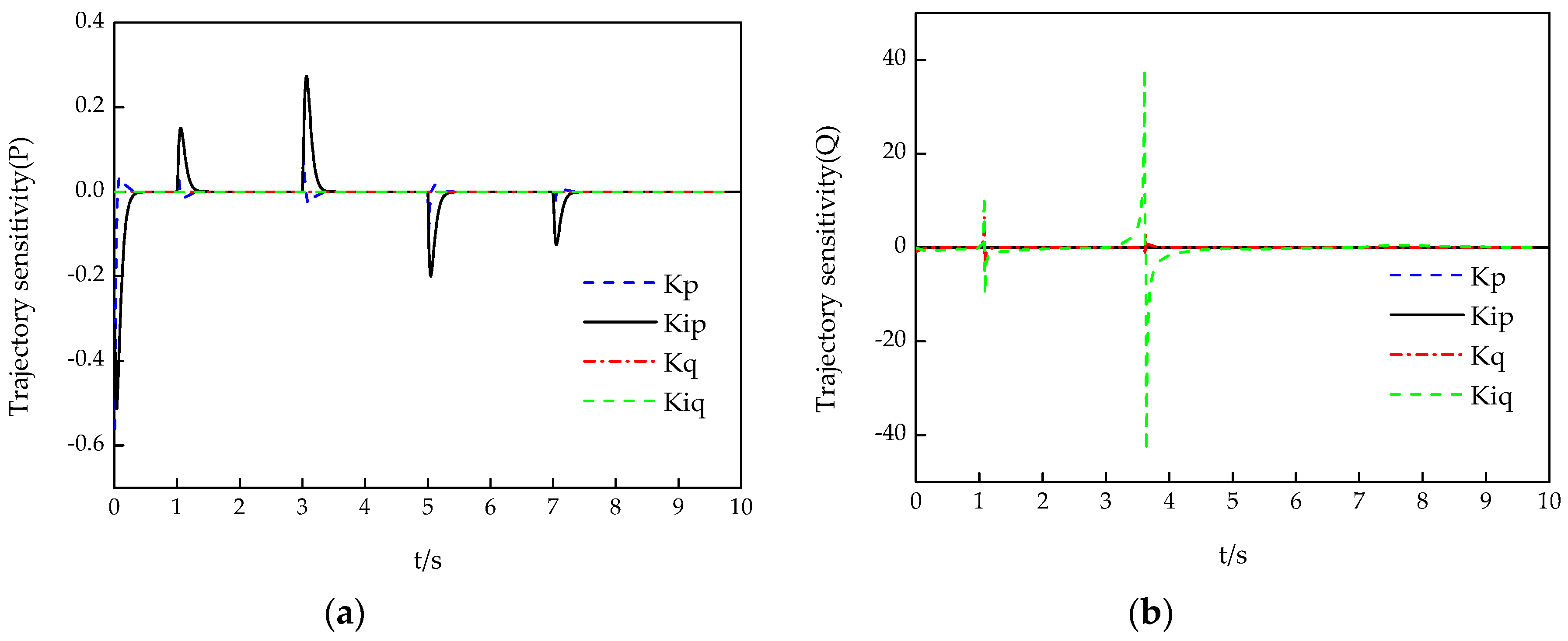
2.2.1. Sensitivity Analysis
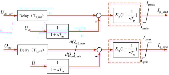
2.2.2. Test Scheme
2.3. Parameter Identification Steps Based on Particle Swarm Optimization Algorithm
2.4. Error Indicator
3. Example Analysis
3.1. Basic Information and Selection of Test Points
3.2. Effectiveness Analysis of the Microgrid Model
3.2.1. Parameter Identification Result
3.2.2. Validity Analysis of the Microgrid Model
3.3. Summary
4. Conclusions
- (1)
- The key to accurate modeling of microgrids is that the actual data used for parameter identification are consistent with the actual system operating conditions. Based on the results of the parameter sensitivity analysis, the paper designed a data test scheme to ensure the validity of the data used in the parameter identification.
- (2)
- Taking the microgrid demonstration system in China as an example, the important parameters of the PV, wind turbine, and energy storage unit in the system were obtained, and the accuracy of the model was verified through the comparison of the simulation data and the test data during the grid-connection/island switching process. Therefore, it can be concluded that the modeling method proposed in this paper is effective.
- (3)
- The general model of renewable power generation units were adopted in the paper. When studying the special control structure of the microgrid, the corresponding test scheme and algorithm need to be further improved.
- (4)
- In the microgrid control system, the current parameter identification focuses on the parameters in power and frequency control. Future studies should pay more attention to the increasing demand of low voltage ride through controls of the microgrid.
- (5)
- The workload of parameter identification based on test data is large. When the number of microgrids increases, the workload increases exponentially. It is necessary to develop specialized and commercial software to improve the efficiency of microgrid parameter identification and modeling.
Author Contributions
Acknowledgments
Conflicts of Interest
Appendix A
| Microgrid Composition | Technical Parameter | |||
|---|---|---|---|---|
| Wind Turbine | Horizontal Axis Wind Turbine 30 kW | Manufacturer | Shanghai Ghrepower Green Energy Co., Ltd. | |
| Type/Quantity | GNW36k3G/1 set | |||
| Rated Power | 36 kW | |||
| Rated Voltage | 380 V ± 15% | |||
| Rotor-Type Wind Turbine 5 kW | Manufacturer | Shanghai Linfeng Wind Energy Technology Co., Ltd. | ||
| Type/Quantity | 1 set | |||
| Rated Power | 5 kW | |||
| Rated Voltage | 380 V | |||
| H-Type Vertical Axis Wind Turbine 5 kW | Manufacturer | Shanghai Linfeng Wind Energy Science and Technology Co., Ltd. | ||
| Type/Quantity | P5000-AB/1 set | |||
| Rated Power | 5 kW | |||
| Rated Voltage | 380 V | |||
| Photovoltaic Inverter | Manufacturer | Sungrow Power Supply Co., Ltd. | ||
| Type/Quantity | SG30K3/1 set | |||
| Rated Power | 30 kW | |||
| Rated Voltage | 380 V | |||
| Energy Storage Converter | Manufacturer | Jiangsu Fangcheng Electric Science and Technology Co., Ltd. | ||
| Type/Quantity | 1 set | |||
| Rated Power | 500 kW | |||
| Rated Voltage | 380 V | |||
| Information about the connection to the power network | The voltage level of access point | 10 kV | ||
| Power supply distance of the grid | / | |||
| The location of point of common coupling | Distributed microgrid base platform 10 kV power distribution room | |||
| Short circuit capacity | Positive sequence short circuit capacity of bus three-phase short circuit in maximum operation mode 289 MVA | |||
| Whether there is a step-up transformer or not | ☑Yes | □ No | ||
| Quantity: 1 | Capacity per unit: 500 kVA | |||
References
- Han, P.P.; Lin, Z.H.; Wang, L.; Fan, G.J.; Zhang, X.A. A Survey on Equivalence Modeling for Large-Scale Photovoltaic Power Plants. Energies 2018, 11, 1463. [Google Scholar] [CrossRef]
- Xu, S. Modeling and Simulation of Hybrid AC and DC Power System Considering Multiple Distributed Energy Sources. Modern Electr. Power 2017, 35, 32–38. [Google Scholar]
- Liu, C.; Shi, W. Comparison of China’s Wind Power Integration Standard with Similar Foreign Standards. Smart Grid 2014, 2, 48–51. [Google Scholar]
- Chi, Y.N.; Zhang, Z.K.; Li, Y.; Wei, L.J. Development of Large-scale Wind Power Grid Integration and Technical Standard. North China Electric Power 2017, 1–7. [Google Scholar] [CrossRef]
- Xiong, X.F.; Chen, K.; Zheng, W.Z.; Shen, Z.J.; Shahzad, N.M. Photovoltaic Inverter Model Identification Based on Least Squares Method. Power Syst. Prot. Control 2012, 40, 52–57. [Google Scholar]
- Liu, L.F. Parameter Identifieation of Generators for Large Power System Dynamic Equivalence. Master’s Thesis, Wuhan University, Wuhan, China, 2004. [Google Scholar]
- Dong, W.; Li, Y.; Xiang, J. Optimal Sizing of a Stand-Alone Hybrid Power System Based on Battery/Hydrogen with an Improved Ant Colony Optimization. Energies 2016, 9, 785. [Google Scholar] [CrossRef]
- Malik, S.; Kim, D.H. Prediction-Learning Algorithm for Efficient Energy Consumption in Smart Buildings Based on Particle Regeneration and Velocity Boost in Particle Swarm Optimization Neural Networks. Energies 2018, 11, 1289. [Google Scholar] [CrossRef]
- Zhu, M.X.; Li, J.C.; Chang, D.G.; Zhang, G.J.; Chen, J.M. Optimization of Antenna Array Deployment for Partial Discharge Localization in Substations by Hybrid Particle Swarm Optimization and Genetic Algorithm Method. Energies 2018, 11, 1813. [Google Scholar] [CrossRef]
- Liu, C.L.; Liang, W.P.; Sun, W.Y.; Su, J. Model Identification of Thermal Process in Power Plant. In Proceedings of the 2004 IEEE Region 10 Conference TENCON 2004, Chiang Mai, Thailand, 24 November 2004. [Google Scholar]
- Shi, L.J.; Zhao, C.Y.; Wu, F.; Zhao, H.Y.; Shi, J.J.; Jiang, X.X. Optimization of ESS PI Controllers Parameters Based on PSO in Smart Grid. In Proceedings of the 2015 5th International Conference on Electric Utility Deregulation and Restructuring and Power Technologies (DRPT), Changsha, China, 26–29 November 2015; pp. 2566–2570. [Google Scholar]
- Shen, W.J.; Li, H.X. A Sensitivity-Based Group-Wise Parameter Identification Algorithm for the Electric Model of Li-ion Battery. IEEE Access 2017, 5, 4377–4387. [Google Scholar] [CrossRef]
- Yang, W.; Shan, L.; Qu, Y.; Yang, B.; Sun, J. Co-Simulation and Parameters Identification Algorithm Research of Servo system based on dynamic module. In Proceedings of the 2015 International Conference on Control, Automation and Information Sciences (ICCAIS), Changshu, China, 29–31 October 2015; pp. 408–413. [Google Scholar]
- Li, Z.; Zhen, S.; Zhen, X.Q.; Bao, W. System Identification of Adaptive Reduced Order Based on PSO Algorithm. Ind. Control Comput. 2017, 30, 112–115. [Google Scholar]
- Xu, Y.; Gao, Z.; Zhu, X.R. Research on Parameter Identification of Photovoltaic Array Based on Measured Data. In Proceedings of the 2017 20th International Conference on Electrical Machines and Systems (ICEMS), Sydney, NSW, Australia, 11–14 August 2017; pp. 1–5. [Google Scholar]
- Yang, H.C.; Cheng, R.F.; Lv, C.Y.; Wang, X.W. Study on Internal Parameter Identification and Output Characteristics of Photovoltaic Module. Appl. Electron. Tech. 2018, 44, 125–128. [Google Scholar] [CrossRef]
- Xu, Y.; Gao, Z.; Zhu, X.R. Multi-scenario Parameters Identification of Photovoltaic Array Based on Hybrid Artificial Fish Swarm and Frog Leaping Algorithm. Renew. Energy 2018, 36, 519–526. [Google Scholar] [CrossRef]
- Chen, C. Research on the Identification of Synchronous Generator Parameters Based on Measured System Disturbance. Master’s Thesis, South China University of Technology, Guangzhou, China, 2017. [Google Scholar]
- Li, P.Q.; Li, H.; Li, X.R. Optimized Identification Strategy for Composite Load Model Parameters Based on Sensitivity and Correlation Analysis. Trans. China Electrotech. Soc. 2016, 31, 181–188. [Google Scholar] [CrossRef]
- Pan, X.P.; Yin, Z.H.; Jv, P.; Wu, F.; Jin, Y.Q.; Ma, Q. Model Parameter Identification of DFIG Based on Short Circuit Current. Electr. Power Autom. Equip. 2017, 37, 27–31. [Google Scholar] [CrossRef]
- Dong, Z.; Han, P.; Wang, D.F.; Jiao, S.M. Thermal Process System Identification Using Particle Swarm Optimization. IEEE Int. Symp. Ind. Electron. 2006, 1, 194–198. [Google Scholar] [CrossRef]
- Xing, H.; Pan, X.J. Application of Improved Particle Swarm Optimization in System Identification. In Proceedings of the 2018 Chinese Control and Decision Conference (CCDC), Shenyang, China, 9–11 June 2018; pp. 1341–1346. [Google Scholar]
- Sonia, S.; Hari, M.P. Genetic Algorithm, Particle Swarm Optimization and Harmony Search: A quick comparison. In Proceedings of the 2016 6th International Conference-Cloud System and Big Data Engineering (Confluence), Noida, India, 14–15 January 2016; pp. 40–44. [Google Scholar]











| Test Object | Parameters to Be Identified | Test Scheme | Operation Mode |
|---|---|---|---|
| PV unit | Parameters of maximum power tracking control link dPm_max, dPm_min | Test of the DC source input disturbance | MPPT |
| Parameters of power control link Kp, Tp, Kq, Tq | Test of voltage disturbance | Power control | |
| Direct-drive wind turbine | Parameters of power control link Kp, Tp, Kq, Tq | Test of voltage disturbance | Power control |
| Energy storage unit | Parameters of power slope control link dPord_max, dPord_min | Test of power command value disturbance | Power control |
| Parameters of power control link Kp, Tp, Kq, Tq | Test of voltage disturbance | Power control |
| Name | Definition | Identification Result of PV Unit | Identification Result of 30 kW Horizontal Axis Wind Turbine | Identification Result of 5 kW Rotor Wing Wind Turbine | Identification Result of 5 kW H Wing Wind Turbine | Identification Result of Energy Storage Unit |
|---|---|---|---|---|---|---|
| dPm_max | Upper limit of maximum power tracking slope (pu/s) | 151.64 | Not included in the test | |||
| dPm_min | Lower limit of maximum power tracking slope (pu/s) | 52.1 | ||||
| Kp | PI control proportional coefficient of the active power control | 0.6372 | 1.55 | 1.72 | 0.77 | 0.53 |
| Tp | PI control integral time constant of the active power control (s) | 0.0049 | 0.0083 | 0.0013 | 0.0013 | 0.0063 |
| Kq | PI control proportional coefficient of the reactive power control | 1.1962 | 1.33 | 1.34 | 0.077 | 0.68 |
| Tq | PI control integral time constant of the reactive power control (s) | 0.0157 | 0.0022 | 0.0013 | 0.0054 | 0.0026 |
| dPord_max | Upper limit of active power control slope (pu/s) | Not included in the test | 12.46 | |||
| dPord_min | Lower limit of active power control slope (pu/s) | 3.87 | ||||
| Test Cases | Test Points |
|---|---|
| Control from grid-connected mode to island mode | AC side of PV and energy storage unit; PCC |
| Control from island mode to grid-connected mode | AC side of PV and energy storage; PCC |
| Name | F | Fulfill the Regulation |
|---|---|---|
| Voltage at PCC | 0.024 | Yes |
| Frequency at PCC | 0.0006 | Yes |
| Active power at PCC | 0.029 | Yes |
| Active power of the energy storage unit | 0.016 | Yes |
| Active power of PV unit | 0.024 | Yes |
| Name | F | Fulfill the Regulation |
|---|---|---|
| Voltage at PCC | 0.023 | Yes |
| Frequency at PCC | 0.00012 | Yes |
| Active power at PCC | 0.030 | Yes |
| Active power of energy storage unit | 0.011 | Yes |
| Active power of PV unit | 0.0047 | Yes |
© 2018 by the authors. Licensee MDPI, Basel, Switzerland. This article is an open access article distributed under the terms and conditions of the Creative Commons Attribution (CC BY) license (http://creativecommons.org/licenses/by/4.0/).
Share and Cite
Zhang, J.; Sun, Y.; Liu, M.; Dong, W.; Han, P. Research on Modeling of Microgrid Based on Data Testing and Parameter Identification. Energies 2018, 11, 2525. https://doi.org/10.3390/en11102525
Zhang J, Sun Y, Liu M, Dong W, Han P. Research on Modeling of Microgrid Based on Data Testing and Parameter Identification. Energies. 2018; 11(10):2525. https://doi.org/10.3390/en11102525
Chicago/Turabian StyleZhang, Junjun, Yaojie Sun, Meiyin Liu, Wei Dong, and Pingping Han. 2018. "Research on Modeling of Microgrid Based on Data Testing and Parameter Identification" Energies 11, no. 10: 2525. https://doi.org/10.3390/en11102525
APA StyleZhang, J., Sun, Y., Liu, M., Dong, W., & Han, P. (2018). Research on Modeling of Microgrid Based on Data Testing and Parameter Identification. Energies, 11(10), 2525. https://doi.org/10.3390/en11102525
