Sensitivity Analysis of Seismic Velocity and Attenuation Variations for Longmaxi Shale during Hydraulic Fracturing Testing in Laboratory
Abstract
:1. Introduction
2. Materials and Methods
2.1. Sample and Experimental Setup
- Stage i:
- Confining pressure was slowly increased to 40 MPa, and inlet pressure simultaneously rose to 10 MPa to avoid the pre-existing fracture’s absolute closing. As shown in Figure 5c, the variation of in this stage indicates that the pre-existing fracture showed firstly closing and subsequently opening behaviors. At first, the fracture was closing gradually due to increasing confining pressure. Then, at the end of this stage, the closing trend stopped, and the fracture turned to open as a result of pore-pressure diffusion.
- Stage ii:
- Axial stress was linearly loaded to 150 MPa, while the inlet and outlet pressures were rapidly increased to 22 and 20 MPa, respectively. Then, the water injection pressures were kept constant throughout the remainder of this stage. In this stage, the test sample had an obvious dilatancy, which could be identified from the variation of the axial and horizontal strain.
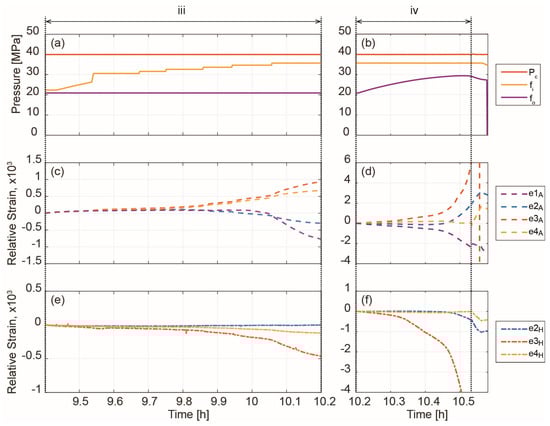
- Stage iii:
- The inlet pressure was gradually increased to approximately 35 MPa for inducing hydraulic fracturing. The outlet pressure remained stable at this stage. However, the sample did not have apparent deformation until the inlet pressure reached 32 MPa (after 9.8 h). As shown in Figure 6c,e, the sample deformation appeared mainly along the axial direction, and the pre-existing fracture had a further expansion as well (corresponding to the negative increase of the value). Then, the hydraulic fracturing process widely accelerated after the inlet pressure reached 35 MPa.
- Stage iv:
- The outlet valve was closed to simulate an undrained condition. Then gradually increasing pressure on the outlet side was observed, indicating a breakthrough of water from the inlet side (Figure 6b). From the zoomed-in view of this stage, we found that the sample had suffered further cracking than in stage iii (Figure 6d,f). When the reached 25 MPa (after 10.3 h), the negative increasing rate of showed two accelerated steps, which indicated that the swift opening had occurred firstly around the pre-existing fracture. When the value closed to 30 MPa, a comprehensive fracturing of the sample had been generated. From the change range of monitored strain value (Figure 6d), the final fracturing process only lasted about 4.5 min. Then the experiment was stopped due to the visible descending of loading stress and injection pressure.
2.2. Data Processing
3. Basic Assessment of Hydro-Fracturing Effects
3.1. Velocity vs. Injection Pressure
3.2. Attenuation vs. Injection Pressure
3.3. Discussion
4. Conclusions
Acknowledgments
Author Contributions
Conflicts of Interest
References
- Kendall, M.; Maxwell, S.; Foulger, G.; Eisner, L.; Lawrence, Z. Microseismicity: Beyond dots in a box—Introduction. Geophysics 2011, 76, Wc1–Wc3. [Google Scholar] [CrossRef]
- Song, F.; Warpinski, N.R.; Toksöz, M.N. Full-waveform based microseismic source mechanism studies in the barnett shale: Linking microseismicity to reservoir geomechanics. Geophysics 2014, 79, KS13–KS30. [Google Scholar] [CrossRef]
- Du, J.; Warpinski, N.R. Uncertainty in fpss from moment-tensor inversion. Geophysics 2011, 76, Wc65–Wc75. [Google Scholar] [CrossRef]
- Liu, Y.; Dong, N.; Fehler, M.; Fang, X.; Liu, X. Estimating the fracture density of small-scale vertical fractures when large-scale vertical fractures are present. J. Geophys. Eng. 2015, 12, 311. [Google Scholar] [CrossRef]
- Yang, Y.; Zoback, M.D. The role of preexisting fractures and faults during multistage hydraulic fracturing in the bakken formation. Interpretation 2014, 2, SG25–SG39. [Google Scholar] [CrossRef]
- Amalokwu, K.; Best, A.I.; Sothcott, J.; Chapman, M.; Minshull, T.; Li, X.Y. Water saturation effects on elastic wave attenuation in porous rocks with aligned fractures. Geophys. J. Int. 2014, 197, 943–947. [Google Scholar] [CrossRef]
- Bardainne, T.; Gaucher, E. Constrained tomography of realistic velocity models in microseismic monitoring using calibration shots. Geophys. Prospect. 2010, 58, 739–753. [Google Scholar] [CrossRef]
- Vavrycuk, V. On the retrieval of moment tensors from borehole data. Geophys. Prospect. 2007, 55, 381–391. [Google Scholar] [CrossRef]
- Eaton, D.W.; van der Baan, M.; Birkelo, B.; Tary, J.B. Scaling relations and spectral characteristics of tensile microseisms: Evidence for opening/closing cracks during hydraulic fracturing. Geophys. J. Int. 2014, 196, 1844–1857. [Google Scholar] [CrossRef]
- Grechka, V.; Yaskevich, S. Azimuthal anisotropy in microseismic monitoring: Part 1—Theory. In Seg Technical Program Expanded Abstracts 2013; Society of Exploration Geophysicists: Houston, TX, USA, 2013; pp. 1987–1991. [Google Scholar]
- Grechka, V.; Yaskevich, S. Azimuthal anisotropy in microseismic monitoring: Part 2—Case study. In Seg Technical Program Expanded Abstracts 2013; Society of Exploration Geophysicists: Houston, TX, USA, 2013; pp. 1992–1997. [Google Scholar]
- Tselentis, G.A.; Paraskevopoulos, P.; Martakis, N. Intrinsic qp seismic attenuation from the rise time of microearthquakes: A local scale application at rio-antirrio, western greece. Geophys. Prospect. 2010, 58, 845–859. [Google Scholar] [CrossRef]
- Toksoz, M.N.; Johnston, D.H.; Timur, A. Attenuation of seismic waves in dry and saturated rocks; i, laboratory measurements. Geophysics 1979, 44, 681–690. [Google Scholar] [CrossRef]
- Xue, Z.; Lei, X. Laboratory study of co2 migration in water-saturated anisotropic sandstone, based on p-wave velocity imaging. Explor. Geophys. 2006, 37, 10–18. [Google Scholar] [CrossRef]
- Lei, X.; Xue, Z. Ultrasonic velocity and attenuation during CO2 injection into water-saturated porous sandstone: Measurements using difference seismic tomography. Phys. Earth Planet. Inter. 2009, 176, 224–234. [Google Scholar] [CrossRef]
- Zhang, Y.; Nishizawa, O.; Kiyama, T.; Xue, Z. Saturation-path dependency of p-wave velocity and attenuation in sandstone saturated with CO2 and brine revealed by simultaneous measurements of waveforms and X-ray computed tomography images. Geophysics 2015, 80, D403–D415. [Google Scholar] [CrossRef]
- Ekanem, A.M.; Wei, J.; Li, X.Y.; Chapman, M.; Main, I.G. P-wave attenuation anisotropy in fractured media: A seismic physical modelling study. Geophys. Prospect. 2013, 61, 420–433. [Google Scholar] [CrossRef]
- Luan, X.; Di, B.; Wei, J.; Zhao, J.; Li, X. Creation of synthetic samples for physical modelling of natural shale. Geophys. Prospect. 2016, 64, 898–914. [Google Scholar] [CrossRef]
- Shi, B.; Murakami, Y.; Wu, Z.; Chen, J.; Inyang, H. Monitoring of internal failure evolution in soils using computerization x-ray tomography. Eng. Geol. 1999, 54, 321–328. [Google Scholar] [CrossRef]
- Yun, T.S.; Jeong, Y.J.; Kim, K.Y.; Min, K.-B. Evaluation of rock anisotropy using 3d X-ray computed tomography. Eng. Geol. 2013, 163, 11–19. [Google Scholar] [CrossRef]
- Li, X.; Lei, X.; Li, Q.; Li, X. Experimental investigation of sinian shale rock under triaxial stress monitored by ultrasonic transmission and acoustic emission. J. Nat. Gas Sci. Eng. 2017, 43, 110–123. [Google Scholar] [CrossRef]
- Rybacki, E.; Reinicke, A.; Meier, T.; Makasi, M.; Dresen, G. What controls the mechanical properties of shale rocks? – part i: Strength and young’s modulus. J. Pet. Sci. Eng. 2015, 135, 702–722. [Google Scholar] [CrossRef]
- Rybacki, E.; Meier, T.; Dresen, G. What controls the mechanical properties of shale rocks?—Part ii: Brittleness. J. Pet. Sci. Eng. 2016, 144, 39–58. [Google Scholar] [CrossRef]
- Hsu, S.C.; Nelson, P.P. Characterization of eagle ford shale. Eng. Geol. 2002, 67, 169–183. [Google Scholar] [CrossRef]
- Zadeh, M.K.; Mondol, N.H.; Jahren, J. Velocity anisotropy of upper jurassic organic-rich shales, norwegian continental shelf. Geophysics 2017, 82, C61–C75. [Google Scholar] [CrossRef]
- Kuila, U.; Dewhurst, D.; Siggins, A.; Raven, M. Stress anisotropy and velocity anisotropy in low porosity shale. Tectonophysics 2011, 503, 34–44. [Google Scholar] [CrossRef]
- Josh, M.; Esteban, L.; Delle Piane, C.; Sarout, J.; Dewhurst, D.N.; Clennell, M.B. Laboratory characterisation of shale properties. J. Pet. Sci. Eng. 2012, 88–89, 107–124. [Google Scholar] [CrossRef]
- Delle Piane, C.; Sarout, J.; Madonna, C.; Saenger, E.H.; Dewhurst, D.N.; Raven, M. Frequency-dependent seismic attenuation in shales: Experimental results and theoretical analysis. Geophys. J. Int. 2014, 198, 504–515. [Google Scholar] [CrossRef]
- Zhubayev, A.; Houben, M.E.; Smeulders, D.M.J.; Barnhoorn, A. Ultrasonic velocity and attenuation anisotropy of shales, whitby, united kingdom. Geophysics 2015, 81, D45–D56. [Google Scholar] [CrossRef]
- Tutuncu, A.N.; Katsuki, D.; Bui, B.T.; Padin, A.; McDowell, B. Coupling geomechanics and petrophysical measurements for production enhancement in organic-rich shales. In Proceedings of the Unconventional Resources Technology Conference, San Antonio, TX, USA, 1–3 August 2016; pp. 3308–3325. [Google Scholar]
- Bui, B.T.; Tutuncu, A.N. Contribution of osmotic transport on oil recovery from rock matrix in unconventional reservoirs. J. Pet. Sci. Eng. 2017, 157, 392–408. [Google Scholar] [CrossRef]
- Katsuki, D.; Tutuncu, A.N. Coupling Complex Resistivity, Geomechanical and Acoustic Properties and Permeability in Sandstone and Shale Reservoirs. In Proceedings of the Unconventional Resources Technology Conference (URTEC), San Antonio, TX, USA, 24–26 July 2017. [Google Scholar]
- Chen, S.; Zhu, Y.; Qin, Y.; Wang, H.; Liu, H.; Fang, J. Reservoir evaluation of the lower silurian longmaxi formation shale gas in the southern sichuan basin of china. Mar. Pet. Geol. 2014, 57, 619–630. [Google Scholar] [CrossRef]
- Liu, S.; Ma, W.; Jansa, L.; Huang, W.; Zeng, X.; Zhang, C. Characteristics of the shale gas reservoir rocks in the lower silurian longmaxi formation, east sichuan basin, china. Energy Explor. Exploit. 2013, 31, 187–219. [Google Scholar] [CrossRef]
- Guo, X.; Li, Y.; Liu, R.; Wang, Q. Characteristics and controlling factors of micropore structures of the longmaxi shale in the jiaoshiba area, sichuan basin. Nat. Gas Ind. B 2014, 1, 165–171. [Google Scholar] [CrossRef]
- Ma, Y.; Pan, Z.; Zhong, N.; Connell, L.D.; Down, D.I.; Lin, W.; Zhang, Y. Experimental study of anisotropic gas permeability and its relationship with fracture structure of longmaxi shales, sichuan basin, china. Fuel 2016, 180, 106–115. [Google Scholar] [CrossRef]
- Liang, C.; Jiang, Z.; Zhang, C.; Guo, L.; Yang, Y.; Li, J. The shale characteristics and shale gas exploration prospects of the lower silurian longmaxi shale, sichuan basin, south china. J. Nat. Gas Sci. Eng. 2014, 21, 636–648. [Google Scholar] [CrossRef]
- Jiao, K.; Yao, S.; Liu, C.; Gao, Y.; Wu, H.; Li, M.; Tang, Z. The characterization and quantitative analysis of nanopores in unconventional gas reservoirs utilizing fesem–fib and image processing: An example from the lower silurian longmaxi shale, upper yangtze region, china. Int. J. Coal Geol. 2014, 128–129, 1–11. [Google Scholar] [CrossRef]
- Yang, R.; He, S.; Yi, J.; Hu, Q. Nano-scale pore structure and fractal dimension of organic-rich wufeng-longmaxi shale from jiaoshiba area, sichuan basin: Investigations using fe-sem, gas adsorption and helium pycnometry. Mar. Pet. Geol. 2016, 70, 27–45. [Google Scholar] [CrossRef]
- Deng, J.; Shen, H.; Xu, Z.; Ma, Z.; Zhao, Q.; Li, C. Dynamic elastic properties of the wufeng–longmaxi formation shale in the southeast margin of the sichuan basin. J. Geophys. Eng. 2014, 11, 035004. [Google Scholar] [CrossRef]
- Wu, Y.; Lan, H.; Gao, X.; Wang, W.; Chen, J.; Hao, S. The relationship between the volume density of cracks and acoustic properties of the shale core samples from fulin. Chin. J. Geophys. 2016, 59, 3891–3900. [Google Scholar]
- Lei, X.; Kusunose, K.; Rao, M.; Nishizawa, O.; Satoh, T. Quasi-static fault growth and cracking in homogeneous brittle rock under triaxial compression using acoustic emission monitoring. J. Geophys. Res. 2000, 105, 6127–6139. [Google Scholar] [CrossRef]
- Johnston, D.H.; Toksoz, M.; Timur, A. Attenuation of seismic waves in dry and saturated rocks; ii, mechanisms. Geophysics 1979, 44, 691–711. [Google Scholar] [CrossRef]














| Percent Change | |||
|---|---|---|---|
| (%) | −1.0 1 | −0.9 | −0.6 |
| (%) | 22.8 | 48.3 | 76.6 |
| Percent Change | //- | //- | - | - |
|---|---|---|---|---|
| (%) | −1.8 1 | −1.8 | −2.1 | −1.4 |
| (%) | 391.9 | 43.7 | 520.8 | 47.3 |
© 2017 by the authors. Licensee MDPI, Basel, Switzerland. This article is an open access article distributed under the terms and conditions of the Creative Commons Attribution (CC BY) license (http://creativecommons.org/licenses/by/4.0/).
Share and Cite
Zhai, H.; Chang, X.; Wang, Y.; Xue, Z.; Lei, X.; Zhang, Y. Sensitivity Analysis of Seismic Velocity and Attenuation Variations for Longmaxi Shale during Hydraulic Fracturing Testing in Laboratory. Energies 2017, 10, 1393. https://doi.org/10.3390/en10091393
Zhai H, Chang X, Wang Y, Xue Z, Lei X, Zhang Y. Sensitivity Analysis of Seismic Velocity and Attenuation Variations for Longmaxi Shale during Hydraulic Fracturing Testing in Laboratory. Energies. 2017; 10(9):1393. https://doi.org/10.3390/en10091393
Chicago/Turabian StyleZhai, Hongyu, Xu Chang, Yibo Wang, Ziqiu Xue, Xinglin Lei, and Yi Zhang. 2017. "Sensitivity Analysis of Seismic Velocity and Attenuation Variations for Longmaxi Shale during Hydraulic Fracturing Testing in Laboratory" Energies 10, no. 9: 1393. https://doi.org/10.3390/en10091393
APA StyleZhai, H., Chang, X., Wang, Y., Xue, Z., Lei, X., & Zhang, Y. (2017). Sensitivity Analysis of Seismic Velocity and Attenuation Variations for Longmaxi Shale during Hydraulic Fracturing Testing in Laboratory. Energies, 10(9), 1393. https://doi.org/10.3390/en10091393

