Dynamic Modeling of the Two-Phase Leakage Process of Natural Gas Liquid Storage Tanks
Abstract
:1. Introduction
2. NGL Thermodynamic Properties Model
2.1. Phase Behavior of NGLs
2.2. Thermodynamic Model
3. The NGL Tank Leakage Simulation Model
3.1. Leakage Process of the NGL Tank
3.2. Simulation Model
3.2.1. The HNE-DS Model
3.2.2. Improvement of the HNE-DS Model
3.2.3. The Tank Simulation Model
4. Solution Method and Model Validation
4.1. Solution Procedures
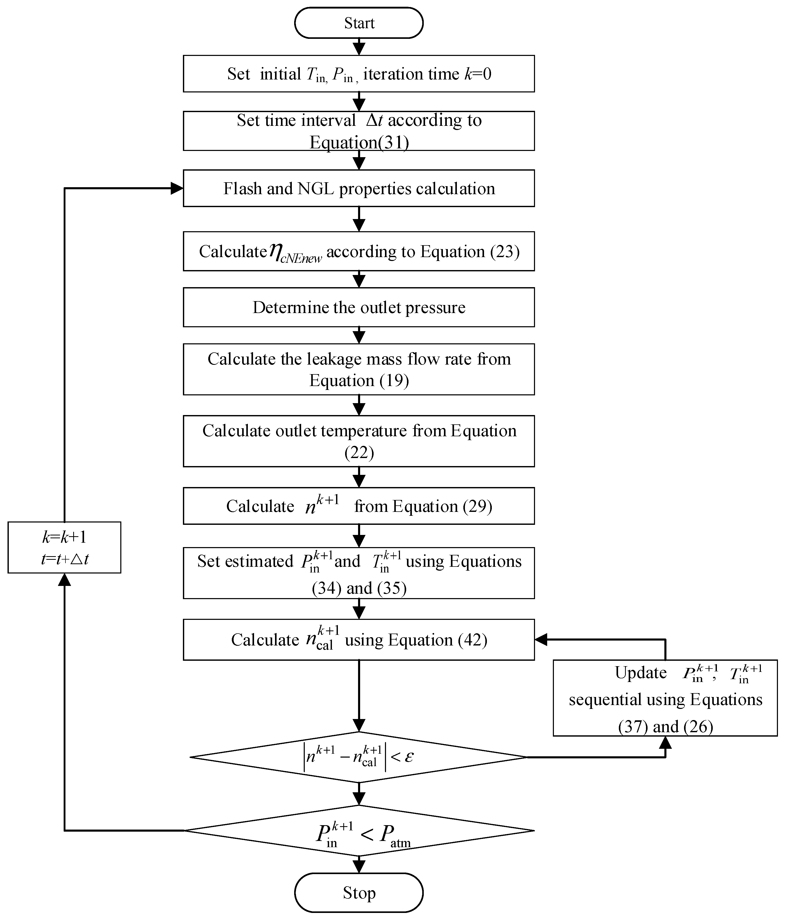
- In Section 3, the improved HNE-DS model and the NGL tank model have been described. The former one is used to predict the leakage mass flow rate and the temperature at the outlet of the leak hole. The latter one is used to simulate the pressure and temperature in the tank. Since the tank’s pressure and temperature are necessary parameters for solving the leak hole model, the tank model and the improved HNE-DS model should be sequentially solved at each time step until the tank pressure reaches the atmospheric pressure. In other words, at time step k, the tank’s pressure is updated based on the leakage mass flow rate calculated from the improved HNE-DS model. The new pressure and temperature in the tank are then set as the inlet parameters of the leak hole model in the next time step k + 1. Hence, the HNE-DS model and the tank model should be simultaneously solved. The solution procedure is described as follows:
- Step 1: Set the iteration time k = 0; input the initial tank pressure , tank temperature .
- Step 2: Set the simulation time interval Δt according to Equation (31).
- Step 3: Perform the flash calculation and calculate the molar weight, compressibility factor Z, specific volume, entropy, enthalpy and specific heat capacity of the NGL using the VTPR EOS and Equations (1)–(9).
- Step 4: Calculate ηcNEnew and ωcNEnew from Equations (14) and (23).
- Step 5: Calculate ηb from Equation (12). If ηb ≤ ηcNEnew, set Pout = ηcNEnewPin; otherwise, set Pout = Patm.
- Step 6: Calculate the leakage mass flow rate from Equation (19).
- Step 7: Calculate the temperature at the outlet of the leak hole from Equation (22).
- Step 8: Calculate nk+1 from Equations (29) and (30).
- Step 9: Calculate estimated tank parameters and using Equations (34) and (35).
- Step 10: Calculate from Equation (36), and check the convergence criterion Equation (38). If Equation (38) is satisfied, go to Step 12. Otherwise, go to Step 11.
- Step 11. Update and by subsequently use of Equations (37) and (26), and go back to step 10.
- Step 12: If , stop. Otherwise, set t = t + Δt, k = k + 1 and go back to step 2.
4.2. Model Validation
5. Results and Discussion
5.1. The Natural Gas Tank
5.2. The NGL Tank
5.3. The Analysis on Influencing Factors
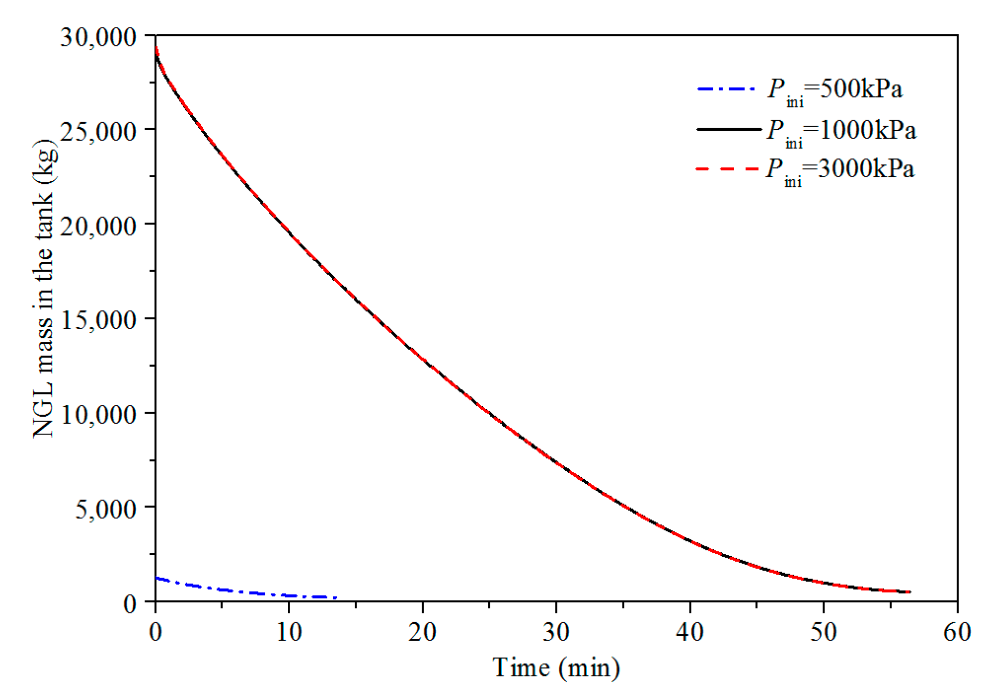
5.3.1. The Tank Pressure
5.3.2. The Tank Pressure
6. Conclusions
Acknowledgments
Author Contributions
Conflicts of Interest
Nomenclature
| Roman Symbols | |
| A | Leak hole area |
| Cp | Specific heat capacity |
| Mw | Molecular weight |
| N | Nonequilibrium effect coefficient |
| P | Pressure |
| Q | Adjustable parameter to control the time step |
| R | Gas constant |
| T | Temperature |
| V | Physical volume of the tank |
| Z | Compressibility factor |
| a | Energy parameter in the VTPR EOS |
| b | Co-volume parameter in the VTPR EOS |
| h | Enthalpy |
| Δhv | Latent heat of vaporization |
| kv | Isentropic exponent |
| m | Mass flow rate |
| s | Entropy |
| t | Time |
| Δt | Time step |
| v | Specific volume |
| vm | Molar volume |
| vs | Local sound speed at the critical flow state |
| x | Gas mass fraction |
| Greek Symbols | |
| ρ | Density |
| η | Pressure ratio |
| ω | Acentric factor in the VTPR EOS; Compressibility factor in the HNE-DS model |
| τ | Coefficient |
| ψ | Expansion coefficient |
| φ | Two-phase slip correction |
| κ | Relaxing factor |
| ε | Convergence tolerance |
| Subscripts | |
| atm | Atmospheric condition |
| b | Back pressure |
| c | Critical parameter |
| cal | Calculated values |
| cric | Critical flow condition |
| ds | Discharge parameter |
| g | Vapor phase |
| in | Inlet stagnation condition |
| l | Liquid phase |
| NE | Nonequilibrium condition |
| new | Improved HNE-DS model |
| out | Outlet of the leak hole |
| ori | Leak hole |
| Superscripts | |
| k | Index of the iteration step |
| 0 | Ideal gas |
Appendix A. Derivation of The New Compressibility Factor Equation
Appendix B. Comparison of Calculating ωNE and η by Use of the Original and Improved Models
- The procedures of original HNE-DS model:
- Step 1:
- Calculate vin according to Equation (18), vin = 0.006086 m3/kg.
- Step 2:
- Calculate ωN=1 according to Equation (16), ωN=1 = 2.273.
- Step 3:
- Solve ηc from Equation (15) by use of ωN=1, ηc = 0.6993.
- Step 4:
- Calculate the delay boiling factor N from Equation (17), N = 0.5315;
- Step 5:
- Calculate ωNE with accounting for the non-equilibrium effect according to Equation (16), ωNE = 1.5128.
- Step 6:
- Solve ηcNE with accounting for the non-equilibrium from Equation (14), and we get ηcNE = 0.6588.
- The procedures of the improved HNE-DS model.
- Step 1:
- Additional parameters required in Equation (23) are calculated from Equations (24) and (25), yielding m3/(kg·kPa), m3/(kg·kPa), and K/kPa.
- Step 2:
- Calculate the delay boiling factor N from Equation (16), ;
- Step 3:
- Calculate ωNEnew with accounting for the non-equilibrium effect according to Equation (23), .
- Step 4:
- Substituting N and ωNEnew obtained from Step 2 and Step 3 into Equation (14), resulting in a non-linear equation in terms of ηcNEnew. This equation is solved by use of the bisection method. As a result, ηcNEnew is calculated as 0.6096, and the corresponding ωNEnew is equal to 1.0238.
References
- Chaeles, K.; Ebinger, G.A. Natural Gas Briefing Document #1: Natural Gas Liquids; Brookings Institute Press: Washington, DC, USA, 2013. [Google Scholar]
- Demichela, M.; Piccinini, N.; Poggio, A. Analysis of an LPG accidental release. Process. Saf. Environ. Prot. 2004, 82, 128–131. [Google Scholar] [CrossRef]
- Brambilla, S.; Totaro, R.; Manca, D. Simulation of the LPG release, dispersion, and explosion in the Viareggio railway accident. Chem. Eng. Trans. 2009, 19, 195–200. [Google Scholar]
- Raimondi, L. Rigorous simulation of LPG releases from accidental leaks. Chem. Eng. Trans. 2012, 26, 64–68. [Google Scholar]
- Ikealumba, W.C.; Wu, H. Modeling of Liquefied Natural Gas Release and Dispersion: Incorporating a Direct Computational Fluid Dynamics Simulation Method for LNG Spill and Pool Formation. Ind. Eng. Chem. Res. 2016, 55, 1778–1787. [Google Scholar] [CrossRef]
- Johnson, D.W.; Cornwell, J.B. Modeling the release, spreading, and burning of LNG, LPG, and gasoline on water. J. Hazard. Mater. 2007, 140, 535–540. [Google Scholar] [CrossRef] [PubMed]
- Jaubert, J.N.; Privat, R.; Mutelet, F. Predicting the phase equilibria of synthetic petroleum fluids with the PPR78 approach. AlChE J. 2010, 56, 3225–3235. [Google Scholar] [CrossRef]
- Teng, L.; Zhang, D.; Li, Y.; Wang, W.; Wang, L.; Hu, Q.; Ye, X.; Bian, J.; Teng, W. Multiphase mixture model to predict temperature drop in highly choked conditions in CO2 enhanced oil recovery. Appl. Therm. Eng. 2016, 108, 670–679. [Google Scholar] [CrossRef]
- Jia, W.; Li, C.; Li, Z. Steady State Modeling and Simulation for Liquid Petroleum Gas Pipeline Networks. In Proceedings of the Pipelines 2013: Pipelines and Trenchless Construction and Renewals—A Global Perspective, Fort Worth, Texas, USA, 23–26 June 2013; American Society of Civil Engineers (ASCE): Reston, VA, USA, 2013; pp. 1501–1510. [Google Scholar]
- Fukushima, K.; Maeshima, R.; Kinoshita, A.; Shiraishi, H.; Koshijima, I. Gas pipeline leak detection system using the online simulation method. Comput. Chem. Eng. 2000, 24, 453–456. [Google Scholar] [CrossRef]
- Zhang, J.; Lei, D.; Feng, W. An approach for estimating toxic releases of H2S-containing natural gas. J. Hazard. Mater. 2014, 264, 350–362. [Google Scholar]
- Henry, R.E.; Fauske, H.K. The two-phase critical flow of one-component mixtures in nozzles, orifices, and short tubes. J. Heat Transf. 1971, 93, 179–187. [Google Scholar] [CrossRef]
- Leung, J.C. Easily size relief devices and piping for two-phase flow. Chem. Eng. Prog. 1996, 92, 28–50. [Google Scholar]
- Leung, J.C. Similarity between flashing and nonflashing two-phase flows. AlChE J. 1990, 36, 797–800. [Google Scholar] [CrossRef]
- Leung, J. A generalized correlation for one-component homogeneous equilibrium flashing choked flow. AlChE J. 1986, 32, 1743–1746. [Google Scholar] [CrossRef]
- American Petroleum Institute. Sizing, Selection, and Installation of Pressure-relieving Devices. In API, RP520; American Petroleum Institute: Washington, DC, USA, 2014. [Google Scholar]
- Raimondi, L. Rigorous Calculation of Critical Flow Conditions for Pressure Safety Devices. Process Saf. Environ. Prot. 2007, 85, 277–288. [Google Scholar] [CrossRef]
- Diener, R.; Schmidt, J. Sizing of throttling device for gas/liquid two-phase flow part 1: Safety valves. Process Saf. Prog. 2004, 23, 335–344. [Google Scholar] [CrossRef]
- Schmidt, J. Sizing of nozzles, venturis, orifices, control and safety valves for initially sub-cooled gas/liquid two-phase flow—The HNE-DS method. Forsch. Ingenieurwes. 2007, 71, 47–58. [Google Scholar] [CrossRef]
- Schmidt, J. Sizing of safety valves for multi-purpose plants according to ISO 4126-10. J. Loss Prev. Process Ind. 2012, 25, 181–191. [Google Scholar] [CrossRef]
- Schmidt, J.; Claramunt, S. Sizing of rupture disks for two-phase gas/liquid flow according to HNE-CSE-model. J. Loss Prev. Process Ind. 2016, 41, 419–432. [Google Scholar] [CrossRef]
- ISO 4126-10, Safety Devices for Protection Against Excessive Pressure—Part 10: Sizing of Safety Valves for Gas/Liquid Two-Phase Flow; DIN Deutsches Institut fürNormung e.V.; Beuth Cerlag GmbH: Berlin, Gremany, 2010.
- Diener, R.; Schmidt, J. Sizing of throttling device for gas/liquid two-phase flow part 2: Control valves, orifices, and nozzles. Process Saf. Prog. 2005, 24, 29–37. [Google Scholar] [CrossRef]
- Kanes, R.; Basha, A.; Véchot, L.N.; Castier, M. Simulation of venting and leaks from pressure vessels. J. Loss Prev. Process Ind. 2016, 40, 563–577. [Google Scholar] [CrossRef]
- Michelsen, M.L. Calculation of phase envelopes and critical points for multicomponent mixtures. Fluid Phase Equilibr. 1980, 4, 1–10. [Google Scholar] [CrossRef]
- Jia, W.; Wu, X.; Li, C.; He, Y. Characteristic analysis of a non-equilibrium thermodynamic two-fluid model for natural gas liquid pipe flow. J. Nat. Gas Sci. Eng. 2017, 40, 132–140. [Google Scholar] [CrossRef]
- Tsai, J.-C.; Chen, Y.-P. Application of a volume-translated Peng-Robinson equation of state on vapor-liquid equilibrium calculations. Fluid Phase Equilibr. 1998, 145, 193–215. [Google Scholar] [CrossRef]
- Peng, D.-Y.; Robinson, D.B. A new two-constant equation of state. Ind. Eng. Chem. Fundam. 1976, 15, 59–64. [Google Scholar] [CrossRef]
- Li, Z.; Jia, W.; Li, C. An improved PR equation of state for CO2-containing gas compressibility factor calculation. J. Nat. Gas Sci. Eng. 2016, 36, 586–596. [Google Scholar] [CrossRef]
- Abudour, A.M.; Mohammad, S.A.; Robinson, R.L.; Gasem, K.A. Volume-translated Peng-Robinson equation of state for saturated and single-phase liquid densities. Fluid Phase Equilibr. 2012, 335, 74–87. [Google Scholar] [CrossRef]
- American Petroleum Institute (API). API Technical Data Book, 7th ed.; Epcon International: Houston, TX, USA, 2005. [Google Scholar]
- Michelsen, M.L. The isothermal flash problem. Part II. Phase-split calculation. Fluid Phase Equilibr. 1982, 9, 21–40. [Google Scholar] [CrossRef]
- Zhu, D.; Okuno, R. Multiphase isenthalpic flash integrated with stability analysis. Fluid Phase Equilibr. 2016, 423, 203–219. [Google Scholar] [CrossRef]
- Li, C.; Jia, W.; Wu, X. A steady state simulation method for natural gas pressure-relieving systems. J. Nat. Gas Sci. Eng. 2014, 19, 1–12. [Google Scholar] [CrossRef]
- László, T.; Bobok, E. Flow conditions during blow-off of gas pipeline. Int. J. Comput. Appl. Mech. 2001, 2, 145–166. [Google Scholar]
- American Petroleum Institute (API). RP 581 Risk Based Inspection Technology; American Petroleum Institute: Washington, DC, USA, 2016. [Google Scholar]
- Luketa-Hanlin, A.; Koopman, R.P.; Ermak, D.L. On the application of computational fluid dynamics codes for liquefied natural gas dispersion. J. Hazard. Mater. 2007, 140, 504–517. [Google Scholar] [CrossRef] [PubMed]
- Li, C.; Jia, W.; Wu, X. Temperature Prediction for High Pressure High Temperature Condensate Gas Flow Through Chokes. Energies 2012, 5, 670–682. [Google Scholar] [CrossRef]
- Botterill, J.; Williams, I.; Woodhead, T. The transient release of pressure LPG from a small-diameter pipe. The Protection of Exothermic Reactors and Pressurised Storage Vessels. In Proceedings of the Institution of Chemical Engineers Symposium, Chester, UK, 25–27 April 1984; pp. 265–278. [Google Scholar]
- Poling, B.E.; Prausnitz, J.M.; O’connell, J.P. The Properties of Gases and Liquids, 5th ed.; Mcgraw-Hill: New York, NY, USA, 2001. [Google Scholar]
- Francis, P.; Luckhurst, G. Joule-Thomson coefficients and the principle of corresponding states. Trans. Faraday Soc. 1963, 59, 667–672. [Google Scholar] [CrossRef]




















| Component | NGL1 | NGL 2 | NGL 3 | NGL 4 |
|---|---|---|---|---|
| CH4 | 0.00 | 0.00 | 0.00 | 0.00 |
| C2H6 | 8.65 | 8.73 | 13.07 | 14.30 |
| C3H8 | 47.68 | 47.23 | 53.33 | 53.59 |
| iC4H10 | 19.26 | 18.99 | 16.85 | 15.45 |
| nC4H10 | 24.06 | 24.10 | 14.66 | 14.06 |
| iC5H12 | 0.33 | 0.88 | 1.29 | 1.56 |
| nC5H12 | 0.01 | 0.07 | 0.74 | 0.98 |
| C6+ | 0.00 | 0.00 | 0.06 | 0.06 |
| Component | N2 | CO2 | CH4 | C2H6 |
|---|---|---|---|---|
| mole fraction,% | 1.0 | 2.0 | 95.0 | 2.0 |
© 2017 by the authors. Licensee MDPI, Basel, Switzerland. This article is an open access article distributed under the terms and conditions of the Creative Commons Attribution (CC BY) license (http://creativecommons.org/licenses/by/4.0/).
Share and Cite
Wu, X.; Li, C.; He, Y.; Jia, W. Dynamic Modeling of the Two-Phase Leakage Process of Natural Gas Liquid Storage Tanks. Energies 2017, 10, 1399. https://doi.org/10.3390/en10091399
Wu X, Li C, He Y, Jia W. Dynamic Modeling of the Two-Phase Leakage Process of Natural Gas Liquid Storage Tanks. Energies. 2017; 10(9):1399. https://doi.org/10.3390/en10091399
Chicago/Turabian StyleWu, Xia, Changjun Li, Yufa He, and Wenlong Jia. 2017. "Dynamic Modeling of the Two-Phase Leakage Process of Natural Gas Liquid Storage Tanks" Energies 10, no. 9: 1399. https://doi.org/10.3390/en10091399
APA StyleWu, X., Li, C., He, Y., & Jia, W. (2017). Dynamic Modeling of the Two-Phase Leakage Process of Natural Gas Liquid Storage Tanks. Energies, 10(9), 1399. https://doi.org/10.3390/en10091399
