Next Article in Journal
Analysis of Vibrations in Interior Permanent Magnet Synchronous Motors Considering Air-Gap Deformation
Previous Article in Journal
Dynamic Pricing for Demand Response Considering Market Price Uncertainty
 
 
Font Type:
Arial Georgia Verdana
Font Size:
Aa Aa Aa
Line Spacing:
Column Width:
Background:
Article

Game-Based Generation Scheduling Optimization for Power Plants Considering Long-Distance Consumption of Wind-Solar-Thermal Hybrid Systems

1
School of Electrical Engineering, Dalian University of Technology, Dalian 116024, China
2
School of Electrical Engineering, Southeast University, Nanjing 210096, China
3
Electric Power Research Institute, State Grid Xinjiang Electric Power Corporation, Urumqi 830002, China
4
China Electric Power Research Institute, Nanjing 210003, China
*
Author to whom correspondence should be addressed.
Energies 2017, 10(9), 1260; https://doi.org/10.3390/en10091260
Submission received: 24 July 2017 / Revised: 13 August 2017 / Accepted: 14 August 2017 / Published: 24 August 2017

Abstract

:
With the increasing penetration of renewable energy in power systems, fluctuation of renewable energy power plants has great influence on stability of the system, and renewable power curtailment is also becoming more and more serious due to the insufficient consumptive ability of local power grid. In order to maximize the utilization of renewable energy, this paper focuses on the generation scheduling optimization for a wind-solar-thermal hybrid system considering that the produced energy will be transmitted over a long distance to satisfy the demands of the receiving end system through ultra-high voltage (UHV) transmission lines. Accordingly, a bilevel optimization based on a non-cooperative game method is proposed to maximize the profit of power plants in the hybrid system. Users in the receiving end system are at the lower level of the bilevel programming, and power plants in the transmitting end system are at the upper level. Competitive behavior among power plants is formulated as a non-cooperative game and the profit of power plant is scheduled by adjusting generation and bidding strategies in both day-ahead markets and intraday markets. In addition, generation cost, wheeling cost, and carbon emissions are all considered in the non-cooperative game model. Moreover, a distributed algorithm is presented to obtain the generalized Nash equilibrium solution, which realizes the optimization in terms of maximizing profit. Finally, several simulations are implemented and analyzed to verify the effectiveness of the proposed optimization method.

1. Introduction

Renewable energy power generation is developing rapidly in many countries. In China, some districts have rich resources in renewable energy but have low energy consumption, such as Xinjiang province [1]. Therefore, in order to make full use of renewable energy sources, the energy needs to be transmitted to other far away districts with high energy consumption. Due to the characteristics of high capacity and low loss, ultra-high voltage (UHV) transmission lines can realize renewable energy transmission at a long distance [2].
Additionally, the intermittent and random output of renewable energy will affect the stability of the voltage and frequency of the system [3,4]. Therefore, it is an effective way to combine wind, solar and other energy into a hybrid system. For example, by using the strong complementary nature of wind energy and solar energy in time and region, wind power plants and solar power plants can form a hybrid power system that contributes to reducing the fluctuation of power output [5,6]. In addition, a wind-thermal hybrid system can ensure the stability of the system through relying on peak modulation and frequency modulation from thermal power plants [7]. At present, Xinjiang has started demonstration work of wind-solar-thermal combined generation and the transmitted renewable energy has reached one billion kWh [8].
In the transmitting end system, renewable energy power can be transported with thermal power together to the load center in the receiving end system through the UHV transmission lines. It not only contributes to the development of renewable energy, but also is conducive to sending redundant thermal power to the transmitting end system. In recent years, several approaches have been proposed to study the problem of operation control when large scale renewable energy power integrates into the grid. Ummels et al. [9] presented a simulation method to assess the influence of wind power integration on power systems in terms of operation cost, reliability, and emissions. In [10], frequency related voltage control was used to solve the problem of unpredictability and randomness of wind power, which generally need more spinning reserve. Monte Carlo simulation was used to generate wind power scenarios with forecasting uncertainty in [11], which optimize the output of each power plant in wind-hydro-thermal hybrid systems for minimizing total fuel cost of thermal power plant. Khodayar et al. [12] proposed an optimization method for hourly coordination of wind power and pumped-storage hydro generation to minimize the expected operation cost and the cost of corrective actions. Although pumped-storage hydro generation can relieve the variability of wind generation, generation of the hydro station is seriously restricted by geographical conditions, which is difficult to be applied in a large scale.
Moreover, the optimization method for capacity planning of renewable energy power and thermal power bundled transmission has been studied by many scholars. Wang et al. [13] proposed a quantum particle swarm optimization algorithm for determining capacity allocation of wind power plants and thermal power plants with the constraints of power system security. In [14], a capacity planning model that takes the carbon trading into consideration was presented for wind power based on a cooperative game. In addition to planning the capacity of power plants, generation scheduling for each power plant is also significant. Xu et al. [15] proposed an integrated transmission scheduling model for bundled wind-solar-thermal power transmission UHV direct current systems. Zhou et al. [16] presented a coordination dispatch model for generation allocation of a wind-thermal hybrid system to minimize the total generation cost including fuel cost and reserve cost. A simulated annealing approach combined with an efficient constrained dynamic economic dispatch method is utilized to optimize generation scheduling of wind and thermal power plants in an isolated hybrid power system [17]. However, each power plant is selfish in practical production, and a non-cooperative game can be used to form the process for the bidding of power plants.
This paper deals with a scenario in which wind-solar-thermal hybrid power is transmitted over a long distance to satisfy the demand of consumers via UHV transmission lines. By assuming power plants are selfish and rational, a non-cooperative game approach is proposed for multiple power plants to heighten their profit, where strategies of the non-cooperative game are the power generation scheduling of the power plants. Not only generation cost is included in the cost model, but also wheeling cost, carbon emissions cost and government subsidies are considered. A distributed algorithm is presented to realize the optimization in terms of maximizing profit, and the optimal solution is the generalized Nash equilibrium of the formulated non-cooperative games. Furthermore, simulations are performed to verify the effectiveness and feasibility of the proposed approach, and discussions show that all of the power plants can benefit from the game.
The rest of the paper is organized as follows. Section 2 presents the generation cost and additional cost for power plants. Bids of power plants and market clearing model are provided in Section 3. In Section 4, the proposed method of this paper for optimizing generation scheduling is presented based on the game-theoretic method. Simulation results are presented and discussed in Section 5. Finally, conclusions are provided in Section 6.

2. System Model

As shown in Figure 1, we consider that thermal power plants, wind power plants and solar power plants integrate into the transmitting end system. Furthermore, we assume that wind-solar-thermal bundled power is transmitted over a long distance to satisfy the demand of the receiving end system through ultra-high voltage (UHV) transmission lines. Actually, renewable energy should be consumed at local areas as much as possible. However, this paper considers the situation of wind-solar-thermal hybrid systems and only focuses on the renewable energy that is transmitted to the remote receiving end system. Power plants from other systems that also supply energy to the receiving end system are not considered. Therefore, total generating volume of wind-solar-thermal hybrid systems is equal to the load demand of the receiving end system at each time slot.
Although the electricity market in China is not open completely at present, China is devoted to exploring market mechanisms that are helpful for the development of the Chinese electrical industry. Aiming for the long-distance consumption of the wind-solar-thermal hybrid system in China, it is assumed that there is a fair and free competition in the electricity market, and the market consists of the day-ahead market and intraday market [18,19]. The independent system operator of the transmitting end system can ensure stability and balance of supply and demand on the UHV transmission lines. In addition, the day-ahead market generally closes at 12:00 am on the day before the operating day, while the intraday market generally closes between 30 min and 2 h before the time of actual power delivery [20]. Power plants submit generation scheduling in both the day-ahead market and the intraday market when they receive load demand of the receiving end system from the independent system operator of the transmitting end system. The generation scheduling contains bidding curves and maximum generating volume. The independent system operator executes the clearing process for obtaining the market clearing price and cleared generating volume of each power plant. Prediction errors always inevitably exist in output of power plants, especially in wind power plants and solar power plants. The prediction error of load demand is not considered in this paper. Errors predicted on the day-ahead market are considered in the intraday market, and power plants will be fined in the intraday market if errors are too large. Moreover, the independent system operator deals with the errors on the intraday market, which ensures the balance of the system by making use of the real-time balancing market [21].

2.1. Generation Cost

With the development of renewable energy generation, wind and solar power plants have caused more concern, and the proportion of renewable generation capacity in the whole capacity has been increasing year by year. However, at present, thermal power generation is still a significant form of power generation in many countries. Generally, no matter what the power plants are, generation cost of these power plants all include fixed costs and variable costs. That is,
C g i = C f i + C v i ,
where i = 1 , 2 , 3 represents thermal power plants, wind power plants and solar power plants, respectively; C g i , C f i , C v i represents generation cost, fixed cost and variable cost for the i-th kind of power plants, respectively.
For thermal power plants, the variable cost mainly depends on the cost of fossil fuel. Currently, the demand of fossil fuel is considered a quadratic function of energy production [22]. Accordingly, the generation cost of thermal power plants is:
C g i q 1 = a 1 q 1 2 + b 1 q 1 + c 1 ,
where a 1 , b 1 , and c 1 are parameters of thermal power plants, and q 1 is the generation volume of thermal power plants.
For wind and solar power plants, since renewable generation does not need to pay for fossil fuel, the variable cost mainly depends on the cost for operation and maintenance, and the fixed cost mainly depends on the investment cost. Furthermore, the cost for operation and maintenance can be considered the linear function of energy production [23].
Accordingly, the generation cost of wind and solar power plants is:
C g i q i = b i q i + c i i = 2 , 3 ,
where b i and c i are parameters for the ith kind of power plants, and q i is the generation volume of the ith kind of power plants.

2.2. Additional Cost

Besides paying for the generation cost, power plants also have to pay for additional costs that include wheeling cost, line loss cost and carbon emissions cost. In an open electricity market, power plants can trade with consumers directly. Consequently, power companies can only provide power transmission service and then charge the fee for the service. That is, power plants have to pay the power company for the wheeling cost. In this paper, wheeling cost is considered the linear function of the amount of energy transmission, which is shown as:
C w i q i = p w q i i = 1 , 2 , 3 ,
where C w i q i is the wheeling cost for the ith kind of power plants, and p w is the wheeling cost for one unit of energy.
Since carbon dioxide emissions of fossil fuel will lead to environmental problems, the consideration of carbon emissions cost contributes to protecting the environment. Considering the difference of carbon emission prices in different districts, carbon emissions cost C c i can be calculated as:
C c i q i = p c t i μ 1 + σ q i p c r μ q i + p s i q i i = 1 , 2 , 3 ,
where μ is the unit electric energy carbon emission conversion factor of power plants, σ is line loss rate, p c t i is carbon emission price in the transmitting end and p c t i = 0 is for wind and solar power plants, p c r is carbon emission price in the receiving end, p s i is the government subsidy, and p s 1 = 0 is for thermal power plants. Based on the above analysis, the total additional cost that will be paid by power plants can be expressed as:
C a i q i = C w i q i + C c i q i = p T 1 q i i = 1 , 2 , 3 ,
where 1 T = [ 1 , 1 , 1 ] and,
p = p w p c t i μ 1 + σ + p s i p c r μ
Accordingly, the total cost for power plants is calculated as:
C i q i = C g i q i + C a i q i i = 1 , 2 , 3

3. Problem Formulation

3.1. Bids of Power Plants

Based on the total cost of power plants, the marginal cost can be calculated as:
λ i q i = C i q i q i
According to the above analysis, we can know that λ i is a linear function for thermal power plants ( i = 1 ), while λ i is a constant for wind and solar power plants ( i = 2 , 3 ). When thermal power plants submit generator bids to the independent system operator, bidding price model is generally formulated according to marginal cost of generators and is assumed as a linear function of the marginal cost [24]. Since the thermal generation cost is considered as a quadratic function, bidding price of thermal power plants is a linear function of generation output. In addition, when generating volume is increased, the variable cost of wind and solar generation increases slightly due to the low operation cost. Fixed cost can be considered as a constant, and the average cost for per unit generating volume will obviously decrease when generating volume is increased. Therefore, average generation cost will reduce when wind and solar generation produce more generating volume. This means that wind and solar power producers are willing to bid at a lower price if they can obtain more power generation. Accordingly, the bidding curve of wind and solar generation can be assumed as a monotonically decreasing and linear function [25,26,27]. That is to say, bidding price of power plants p b i is equal to:
p b i = a b i q i + b b i i = 1 , 2 , 3 ,
where a b i and b b i are bidding parameters of the ith kind of power plants, and a b i > 0 for i = 1 , a b i < 0 for i = 2 , 3 .
In the day-ahead market, power plants will broadcast the bidding price to the independent system operator. In order to prevent vicious price competition among power plants, bidding price should be limited within a reasonable range. Price of transmitting end should be not higher than the on-grid price of the receiving end system, so that the receiving end system will be willing to receive the energy from the transmitting end system:
p b min p b i p R G ,
where p b min is the minimum value of bid price, and p R G is the on-grid price of receiving end system.

3.2. Market Clearing Model

Generally, the market clearing model is purely financial. Therefore, we suppose that the market is cleared by minimizing the daily cost of the the independent system operator. When the operator obtains the optimal bidding energy amount from different power plants, bidding price of each plant is determined, and then clear market price will be obtained. In the paper, clear market price is calculated as the maximal bidding price in all power plants. Assume that the ith kind of power plants has M plants and each trading day is divided into H time slots. Accordingly, location marginal prices (LMPs) for the ith kind of power plants are calculated as follows:
min q i m h C o s t = h = 1 H i = 1 3 m = 1 M p b i m h q i m h s . t . i = 1 3 m = 1 M q i m h = 1 + σ Q T h i = 1 3 m = 1 M q i m h Q T , max q i m , min q i m h q i m , max γ d o w n q 1 m , min q 1 m h q 1 m h 1 γ u p q 1 m , max ,
where
  • p b i m h represents the bidding price of power plant m at time slot h;
    q i m h represents the trading generating volume of power plant m at time slot h;
  • Q T h represents the load demand of the receiving end system at h;
  • Q T , max denotes maximum capacity of the UHV transmission line;
  • q i m , min denotes minimum output of power plant m;
  • q i m , max denote maximum output of power plant m;
  • q 1 m , min denotes minimum output of thermal power plants;
  • q 1 m , max denotes maximum output of thermal power plants;
  • γ d o w n denotes downward ramp rate of thermal power plants;
  • γ u p denotes upward ramp rate of thermal power plants.
In Equation (11), the first equality constraint is the DC power flow equation, the second constraint is the transmission line constraint, the third is the generation capacity constraint for each unit, and the fourth is the ramp constraint for thermal power plants.

4. Non-Cooperative Game among Power Plants

According to the load demand of the receiving end system, all power plants submit their generation scheduling and bidding price to the independent system operator in the day-ahead market. After bidding of all power plants, the independent system operator announces the market clearing price and cleared generating volume of each power plant. Once the energy market is cleared, each power plant will be paid according to its LMP times its awarded generation. Accordingly, the profit of power plants in the day-ahead market can be calculated as follows:
π i m h d q i m h d = p h d q i m h d C i m q i m h d
where p h d = max p b i m h , i 1 , 2 , 3 , m 1 , 2 , , M is clearing price LMP, q i m h d is awarded generation of power plant m, and C i m q i m h d denotes the total cost of power plant m.
Since renewable energy generation is hard to predict exactly, energy trading in the day-ahead market cannot satisfy the real-time energy demand. Therefore, intraday market can compensate for such defects. Power plants can resubmit generation scheduling on the intraday market if prediction error exists in the day-ahead market. Power plants should pay fines for errors when the practical generating volume is less than the cleared generating volume determined on the day-ahead market and the difference in excess of f k p [28,29]. Similarly, the profit in the intraday market can be written as:
π i m h r = p h r q i m h r C i m q i m h r Δ q i m h > 0 C i m Δ q i m h p h d Δ q i m h f k p q I C Δ q i m h < 0 k f p h r Δ q i m h + C i m Δ q i m h p h d Δ q i m h Δ q i m h < f k p q I C ,
where
  • p h r denotes trading price at time slot h in the intraday market;
  • q i m h r denotes generating volume at time slot h in the intraday market;
  • Δ q i m h denotes the difference between practical generation and cleared generation;
  • q I C denotes the installed capacity of power plant;
  • k f denotes the penalty coefficient.
Accordingly, the target of power plants is to maximize the total profit in the day-ahead and intraday market. That is,
max b b i m π i m = h = 1 H π i m h = h = 1 H π i m h d + π i m h r s . t . b b i m h min b b i m h b b i m h max ,
where b b i m h is bidding parameter of power plant m at time slot h, and b b i m h min and b b i m h max denote minimum and maximum value of bidding variable for power plant m at time slot h. Based on the above analysis, the optimization problem can be summarized as following equation.
maximize b b i m h π i m = h = 1 H π i m h b b 11 h , , b b 3 M h , q 11 h , , q 3 M h , minimize q i m h C o s t = C o s t b b 11 h , , b b 3 M h , q 11 h , , q 3 M h , = h = 1 H i = 1 3 m = 1 M a b i m h q i m h + b b i m h q i m h .
In the equation (15), the optimization of power plants is on the upper level and the optimization of the independent system operator is on the lower level. The target of the upper level is to optimize bidding parameter b b i m h to obtain the maximal profit for the power plant, while the target of the lower level is to optimize the trading generating volume q i m h to minimize the energy cost of the independent system operator. When the optimization of the upper level is performed, q i m h is regarded as fixed parameter while b b i m h is the decision variable. Similarly, q i m h is the decision variable and b b i m h is regarded as fixed parameter when the lower level is optimized. Additionally, competition only exists among power plants, which can be modeled as a non-cooperative game considering with selfishness of each power plant. In this game, the power plant selects bidding parameters of power generation scheduling from their strategies are set to maximize payoff π i m . Let B i m = b b i m | b b i m h min b b i m h b b i m h max , h 1 , 2 , H denote strategies set of power plant m. Therefore, strategies set of all power plants can be denoted by B = B 11 × B 12 × B 3 M . Additionally, the lower partner does not know information of payoff and strategy set about upper partners, while upper partners know payoff and strategy set of other upper partners and the lower partner. The decision that each power plant selects will be influenced by other power plants, as well as by the power generation dispatch policy from the lower partner, which can use the generalized Nash equilibrium to be the optimization solution. The solution b b i m * , b b i m * is called a generalized Nash equilibrium if [22]:
π i m b b i m * , b b i m * π i m b b i m , b b i m * ,
where b b i m * = b b 11 * , , b b i m 1 * , b b i m + 1 * , , b b 3 M * represents the bidding strategies of other power plants except plant m that belongs to the ith kind of power plant. The Nash equilibrium can be solved by using the following distributed Algorithm 1. The distributed algorithm is based on the interior point method (IPM), which is effective at solving the complicated optimization problem, especially at solving the nonlinear model [30]. Other optimization tools, like PSO (particle swarm optimization), DE (differential evolution), and GA (genetic algorithms), may also be used to obtain the Nash equilibrium. According to Algorithm 1, the Nash equilibrium is obtained as follows: (1) based on the initial bidding parameter b b i m h , the independent system operator optimizes purchase cost via determining q i m h ; (2) the power plant gives a new optimal b b i m h according to the current q i m h ; (3) the current profit of power plant π i m is higher than the previous profit π i m * , then update bidding parameter and profit of power plant; and (4) repeat steps 1–3 until ε 0 . 01 ; this demonstrates that Nash equilibrium is reached.
Algorithm 1: Calculation of the decision-making model
  Randomly initialize b b i m * , b b i m * = b b i m , b b i m , π i m * = π i m , ε = 1
  While ε > 0 . 01 do
   Determine power generation dispatch policy q i m h by solving problem (Equation (11)).
   Select optimal bidding parameter b b i m h in strategies set B by using the interior point method.
  if π i m * < π i m then
    ε = π i m * π i m
    b b i m * , b b i m * = b b i m , b b i m
    π i m * = π i m
  end if
  End while

5. Case Study

Xinjiang province in China has rich energy sources, such as wind, solar, and coal. In the case study, the ±800 kV, 8000 MW HVDC project from Hami to Zhengzhou is taken as an example to show the validity of the proposed method. Based on literature [1,13,14,31], system parameters are the following. Consider one wind power plant, one solar power plant and one thermal power plant in the transmitting end system participating in long-distance consumption by one UHV transmission line, for which installed capacities are 8000, 1250, and 7000 MW, respectively. Furthermore, the maximum capacity of the UHV transmission line is 8000 MW. On-grid price of the receiving end system is 439 Yuan/MWh (Yuan is the unit of money in China) , while the transmitting end system is 288 Yuan/MWh. Other system parameters are shown in Table 1. For the wind power plant, solar power plant and thermal power plant, minimum bid prices are 220, 200, and 200 Yuan/MWh. In addition, we suppose that each time slot is 15 min and that there are a total of 96 time slots in a day. Accordingly, load demand of the receiving end system is as shown in Figure 2. Maximum output of the wind power plant and the solar power plant correspond to the output curves at each time slot, and minimum output is zero. Maximum output of thermal power plant is 7000 MW, and minimum output of the thermal power plant is 2800 MW.

5.1. Simulation in Winter

The typical daily output curves in winter of the wind power plant and the solar power plant as their predictive generating volume in the day-ahead market are shown in Figure 3. Based on the given data, the optimal results are obtained when the criterion of ε > 0 . 01 is achieved with the algorithm going through seven iterations. Simulation results are shown in Figure 4 and Table 2. In Table 2, we take the case without optimization into comparison, and one can see that, in the case with the game optimization, the profit of wind power plant has increased 10%, the solar power plant has increased 8.3%, and the thermal power plant has increased 28.9% compared to the initial profit. Therefore, all power plants will have motivation to participate in the proposed optimization. Energy trading and profit in each time slot is shown in Figure 4. From the figure, we can see that the energy trading of wind and solar generation has reached the maximal power plan due to the low generation cost of wind and solar generation. Accordingly, the profit of wind generation in some time slots is higher than the profit of thermal generation. In addition, due to zero generating volume of solar power plants at some time slots, zero occurs in profit for the solar power plant. For the wind power plant, solar power plant and thermal power plant, profits of per unit generating volume are 843, 1043, and 343 Yuan/MWh, respectively. One can see that profit of per unit generating volume of the solar power plant is highest, and the wind power plant is second. Carbon emission trading and government subsidies are the main reasons for considerable profit of the solar power plant and wind power plant, which will promote development of the renewable energy power plant. From Table 2, one can see that wind power plant and solar power plant realize long-distance consumption without curtailment.
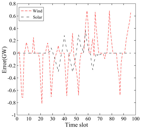
Prediction error of the wind power plant and the solar power plant in winter are as shown in Figure 5, and errors of the thermal power plant is ignored because of stable power generation. As shown in Figure 6, profit of the thermal power plant is a positive value all the time, which need not pay fines for prediction error due to stable generation. In addition, the thermal power plant can make a profit when other power plants can not generate enough electricity corresponding to the cleared generating volume determined on the day-ahead market. However, profit of the wind power plant and the solar power plant are negative sometimes for the fines. The profit being negative means that the practical generating volume is less than the cleared generating volume on the day-ahead market with a difference in excess of 8%. However, the wind power plant and the solar power plant can still make profits in some cases. Moreover, one can see that total profit of each power plant is considerable from Table 3.

5.2. Simulation in Summer

As shown in Figure 7, the typical daily output curves in summer of the wind power plant and the solar power plant as their predictive generating volume in the day-ahead market. The rest of the system parameters are the same as those in winter, and simulation results in the day-ahead market are shown in Figure 8 and Table 4 . Energy trading and profit in the day-ahead market in summer are shown in Figure 8. From the figure, we can see that all power plants make a profit by participating in the game. Table 4 shows that company’s profit will also have a growth with the game optimization. Additionally, one can see that both renewable energy power plants realize long-distance consumption without curtailment from Table 4. Profits of per unit generating volume of wind power plant, solar power plant and thermal power plant are 844, 1048, and 345 yuan/MWh, respectively. Comparing Table 2 and Table 4, the output of the wind power plant in winter is larger than output in summer, and output of solar power plant in winter is smaller than output in summer. The wind power plant and solar power plant can be consumed without curtailment in both cases. However, profit of per unit generating volume of all power plants in summer are higher than ones in winter. Therefore, generating volume proportion of the wind power plant, solar power plant and thermal power plant in summer is more suitable.
In summer, prediction error of the wind power plant and the solar power plant are shown in Figure 9. Simulation results in Figure 10 show that the thermal power plant does not make any losses the entire time, while profit in the intraday market of wind the power plant and solar power plant both have three cases: zero, negative value and positive value. The wind power plant and solar power plant can obtain gains by bidding in the intraday market when they have extra output as well as one or more power plants can not generate enough generating volume corresponding to cleared in the day-ahead market. Table 5 shows the total profit in summer and winter, and indicates that all power plants can make a profit in summer. In addition, profit of the wind power plant in summer is lower than profit in winter while profit of the solar power plant and the thermal power plant in summer is higher than profit in winter. Because output of the wind power plant in summer is lower than ones in winter, while the solar power plant and thermal power plant are higher in summer.

5.3. Discussions

5.3.1. Comparison with Different Numbers of Power Plants

In order to maximize the daily profit, power plants in the market have to take part in the non-cooperative game. For searching the Nash equilibrium, power plants need to change the strategies constantly according to the strategies of other power plants. Furthermore, the proposed model is a bi-level optimization problem. Consequently, the efficiency (e.g., running time) of the proposed algorithm mainly depends on the number of power plants. Table 6 shows the running time for different numbers of power plants. The algorithm is performed by Matlab (R2012b, the MathWorks, Natick, MA, USA) on a personal computer with processor Intel(R) Core(TM) i7-7700 CPU (central processing unit) @ 3.60 GHz and RAM (random access memory) 8.00 GB (Santa Clara, CA, USA). From the table, we can see that the running time of the algorithm increases nonlinearly with the increasing number of power plants. Although the algorithm will take more running time on the personal computer for dozens of power plants, running time will be reduced dramatically if the algorithm is performed on a large scale computing server. Therefore, the proposed method and algorithm can be employed in the real word project.

5.3.2. Comparison with a Different Game Approach

A cooperative game is utilized to optimize generation scheduling of power plants, with total profit of all power plants as the optimal objective. System parameters are the same as when the non-cooperative game is adopted. Taking the day-ahead market as an example, simulation results are shown in Table 7. One can see that renewable energy can be consumed without curtailment both in cases using the cooperative game and the non-cooperative game approach. Total profit under the cooperative game is 0.39% higher than that under the non-cooperative game in winter, and total profit under the cooperative game is 0.45% higher than that under the non-cooperative game in summer. Consequently, the cooperative game is better than the non-cooperative game in terms of total profit. However, profit allocation is significant and complex for players of the game. Renewable energy power plants should be privileged when profit is allocated among power plants due to generation with environmental properties. Meanwhile, thermal power plants are willing to participate in the cooperative game only if they can obtain considerable gains. Once renewable energy power plants transmit generation without thermal power plants, stability and safety of system can not be guaranteed. Then, consumption of wind power plants and solar power plants are limited. Moreover, only the independent system operator is necessary in a non-cooperative game approach, while an extra credibly independent organization is essential to execute profit allocation in the cooperative game approach. Extra costs are needed to establish a platform for power plants to communicate with each other.

6. Conclusions

Based on non-cooperative game theory, the power generation scheduling optimization method for wind-solar-thermal hybrid systems consumed over a long distance through UHV transmission lines is proposed in this paper. Considered with the wheeling cost, the profit model of thermal power plants, wind power plants and solar power plants are put forward. The simulation results show that: (1) wind power plants and solar power plants can obtain considerable profit from the non-cooperative game based bilevel optimization; (2) thermal power plants can make more profit under the non-cooperative game compared to without the game, which is helpful for consumption of renewable energy power; and (3) renewable energy power plants realize consumption without the curtailment condition, which is conducive to development and utilization of renewable energy.

Acknowledgments

The work is financially supported by the National Science Foundation of China (51367018), the Fundamental Research Funds for the Central Universities (2242015R30024), and the Science and Technology Program of the State Grid Corporation of China.

Author Contributions

Tiejiang Yuan, Yiqian Sun, and Bingtuan Gao contributed to developing the ideas of this research; and Tiejiang Yuan, Tingting Ma, and Ning Chen conducted this research. All of the authors were involved in preparing this manuscript.

Conflicts of Interest

The authors declare no conflict of interest.

References

  1. Liu, Z.; Zhang, Q.; Dong, C.; Zhang, L.; Wang, Z. Efficient and security transmission of wind, photovoltaic and thermal power of large-scale energy resource bases through UHVDC projects. Proc. CSEE 2014, 4, 2513–2522. (In Chinese) [Google Scholar]
  2. Huang, Y.; Wang, Z.; Liu, J.; Zhang, L.; Li, J. Economic analysis of wind power by UHV DC transmission. Electr. Power Constr. 2011, 32, 100–103. (In Chinese) [Google Scholar]
  3. Karki, R.; Hu, P.; Billiton, R. A simplified wind power generation model for reliability evaluation. IEEE Trans. Energy Convers. 2006, 21, 533–540. [Google Scholar] [CrossRef]
  4. Doherty, R.; O’Malley, M. A new approach to quantify reserve demand in systems with significant installed wind capacity. IEEE Trans. Power Syst. 2005, 20, 587–595. [Google Scholar] [CrossRef]
  5. Liu, C.; Chau, K.T.; Zhang, X. An efficient wind-photovoltaic hybrid generation system using doubly excited permanent-magnet brushless machine. IEEE Trans. Ind. Electron. 2010, 57, 831–839. [Google Scholar]
  6. Park, S.J.; Kang, B.B.; Yoon, J.P.; Cha, I.S.; Lim, J.Y. A Study on the stand-alone operating or photovoltaic/wind power hybrid generation system. In Proceedings of the 35th Annual Power Electronics Specialists Conference, Nanjing, China, 20–25 June 2004; pp. 1631–1634. [Google Scholar]
  7. Azizipanah-Abarghooee, R.; Niknam, T.; Bina, M.A.; Zare, M. Coordination of combined heat and power-thermal-wind-photovoltaic units in economic load dispatch using chance-constrained and jointly distributed random variables methods. Energy 2015, 79, 50–67. [Google Scholar] [CrossRef]
  8. National Energy Administration. Implementation Opinions on Expanding Renewable Energy Consumption and Promoting Sustained and Healthy Development of Renewable Energy Generation. Available online: http://www.nea.gov.cn/2016-07/20/c_135527502.htm (accessed on 23 July 2017).
  9. Ummels, B.C.; Gibescu, M.; Pelgrum, E.; Kling, W.L.; Brand, A.J. Impacts of wind power on thermal generation unit commitment and dispatch. IEEE Trans. Energy Convers. 2007, 22, 44–51. [Google Scholar] [CrossRef]
  10. Wei, Q.; Guo, W.; Tang, Y. A new approach to decrease reserve demand when bulky wind power or UHV is connected. In Proceedings of the 2012 IEEE International Conference on Power System Technology, Auckland, New Zealand, 30 October–2 November 2012; pp. 1–5. [Google Scholar]
  11. Shukla, A.; Singh, S.N. Cluster based wind-hydro-thermal unit commitment using GSA algorithm. In Proceedings of the 2014 IEEE PES General Meeting| Conference & Exposition, National Harbor, MD, USA, 27–31 July 2014; pp. 1–5. [Google Scholar]
  12. Khodayar, M.E.; Shahidehpour, M.; Wu, L. Enhancing the dispatchability of variable wind generation by coordination with pumped-storage hydro units in stochastic power systems. IEEE Trans. Power Syst. 2013, 28, 2808–2818. [Google Scholar] [CrossRef]
  13. Wang, Z.; Liu, L.; Liu, Z.; Wang, S.; You, Z. Optimal configuration of wind-coal power capacity and DC placement based on quantum PSO algorithm. Proc. CSEE 2014, 34, 2055–2062. (In Chinese) [Google Scholar]
  14. Liu, W.; Ling, Y.; Zhao, T. Cooperative game based capacity planning model for wind power in low-carbon economy. Autom. Electr. Power Syst. 2015, 39, 8–74. (In Chinese) [Google Scholar]
  15. Xu, D.; Wang, B.; Zhang, J.; Li, W. Integrated transmission scheduling model for wind-photocoltaic-thermal power by ultra-high voltage direct current system. Autom. Electr. Power Syst. 2016, 40, 25–29. (In Chinese) [Google Scholar]
  16. Zhou, W.; Peng, Y.; Sun, H. Optimal wind-thermal coordination dispatch based on risk reserve constraints. Eur. Trans. Electr. Power 2011, 21, 740–756. [Google Scholar] [CrossRef]
  17. Chen, C.L. Simulated annealing-based optimal wind-thermal coordination scheduling. IET Gener. Transm. Distrib. 2007, 1, 447–455. [Google Scholar] [CrossRef]
  18. Xia, Y.; Kang, C.; Chen, T.; Li, Y. Day-ahead market mode with power consumers participation in wind power accommodation. Autom. Electr. Power Syst. 2015, 39, 120–126. [Google Scholar]
  19. Sun, H.; Zhang, L.; Xu, H.; Wang, L. Mixed integer programming model for microgrid intra-day scheduling. Autom. Electr. Power Syst. 2015, 39, 21–27. [Google Scholar]
  20. Matevosyan, J.; Soder, L. Minimization of imbalance cost trading wind power on the short-term power market. IEEE Trans. Power Syst. 2006, 21, 1396–1404. [Google Scholar] [CrossRef]
  21. Skajaa, A.; Edlund, K.; Morales, J.M. Intraday trading of wind energy. IEEE Trans. Power Syst. 2015, 30, 3181–3189. [Google Scholar] [CrossRef]
  22. Zhang, G.; Zhang, G.; Gao, Y.; Lu, J. Competitive strategic bidding optimization in electricity markets using bilevel programming and swarm technique. IEEE Trans. Ind. Electron. 2011, 58, 2138–2146. [Google Scholar] [CrossRef]
  23. Fang, X.; Li, F.; Wei, Y.; Azim, R.; Xu, Y. Reactive power planning under high penetration of wind energy using Benders decomposition. IET Gener. Transm. Distrib. 2015, 9, 1835–1844. [Google Scholar] [CrossRef]
  24. Li, T.; Shahidehpour, M. Strategic bidding of transmission-constrained GENCOs with incomplete information. IEEE Trans. Power Syst. 2005, 20, 437–447. [Google Scholar] [CrossRef]
  25. Sharma, K.C.; Bhakar, R.; Padhy, N.P. Stochastic cournot model for wind power trading in electricity markets. In Proceedings of the Power and Energy Society General Meeting, National Harbor, MD, USA, 27–31 July 2014; pp. 1–5. [Google Scholar]
  26. Zhang, H.; Gao, F.; Wu, J.; Liu, K.; Zhai, Q. A stochastic cournot bidding model for wind power producers. In Proceedings of the IEEE International Conference on Automation and Logistics, Chongqing, China, 15–16 August 2011; pp. 319–324. [Google Scholar]
  27. Zhao, Z.; Li, Z.; Yao, X. Study on cost price of wind power electricity based on the certified emission reduction income. Renew. Energy Resour. 2014, 32, 662–667. (In Chinese) [Google Scholar]
  28. Kang, C.; Du, E.; Zhang, N. Renewable energy trading in electricity market: Review and prospect. IEEE Trans. Power Syst. 2009, 24, 1457–1468. (In Chinese) [Google Scholar]
  29. Sorknaes, P.; Andersen, A.N.; Tang, J.; Strom, S. Market integration of wind power in electricity system balancing. Energy Strategy Rev. 2013, 1, 174–180. [Google Scholar] [CrossRef]
  30. Mohsenian-Rad, A.H.; Wong, V.W.S.; Jatskevich, J.; Schober, R.; Leon-Garcia, A. Autonomous demand-side management based on game-theoretic energy consumption scheduling for the future smart grid. IEEE Trans. Smart Grid 2010, 1, 320–331. [Google Scholar] [CrossRef]
  31. Wang, J.; Shahidehpour, M.; Li, Z. Contingency-constrained reserve requirements in joint energy and ancillary services auction. IEEE Trans. Power Syst. 2009, 24, 1457–1468. [Google Scholar] [CrossRef]
Figure 1. Wind-solar-thermal bundled power long-distance consumption.
Figure 1. Wind-solar-thermal bundled power long-distance consumption.
Energies 10 01260 g001
Figure 2. Load demand.
Figure 2. Load demand.
Energies 10 01260 g002
Figure 3. Typical daily output curves in winter: (a) wind power plant; (b) solar power plant.
Figure 3. Typical daily output curves in winter: (a) wind power plant; (b) solar power plant.
Energies 10 01260 g003
Figure 4. Energy trading and profit in the day-ahead market in winter: (a) generation output; (b) energy profit .
Figure 4. Energy trading and profit in the day-ahead market in winter: (a) generation output; (b) energy profit .
Energies 10 01260 g004
Figure 5. Prediction error of the wind power plant and the solar power plant in winter.
Figure 5. Prediction error of the wind power plant and the solar power plant in winter.
Energies 10 01260 g005
Figure 6. Profit in the intraday market in winter.
Figure 6. Profit in the intraday market in winter.
Energies 10 01260 g006
Figure 7. Typical daily output curves in summer: (a) wind power plant; (b) solar power plant.
Figure 7. Typical daily output curves in summer: (a) wind power plant; (b) solar power plant.
Energies 10 01260 g007
Figure 8. Energy trading and profit in the day-ahead market in summer: (a) generation output; (b) energy profit.
Figure 8. Energy trading and profit in the day-ahead market in summer: (a) generation output; (b) energy profit.
Energies 10 01260 g008
Figure 9. Prediction error of the wind power plant and solar power plant in summer.
Figure 9. Prediction error of the wind power plant and solar power plant in summer.
Energies 10 01260 g009
Figure 10. Profit in the intraday market in summer.
Figure 10. Profit in the intraday market in summer.
Energies 10 01260 g010
Table 1. System parameters.
Table 1. System parameters.
ParametersValuesParametersValuesParametersValues
H96 k f 1.1 a 1 (Yuan/MWh 2 )0.0035
σ (%)8.4 μ (t/MWh)1.3 b 1 (Yuan/MWh)116.99
p c r (Yuan/t)200 p c t 1 (Yuan/t)100 c 1 (Yuan)1533.06
γ d o w n (%/min)2 γ u p (%/min)2 b 2 (Yuan/MWh)0.018
p s 1 (Yuan/MWh)215 p s 2 (Yuan/MWh)420 c 2 (Yuan)2490
p w (Yuan/MWh)104 a b 1 (Yuan/MWh)0.007 b 3 (Yuan/MWh)0.023
a b 2 (Yuan/MWh)−0.2427 a b 3 (Yuan/MWh)−0.328 c 3 (Yuan)2187
Table 2. Simulation results in the day-ahead market in winter.
Table 2. Simulation results in the day-ahead market in winter.
Power PlantWindSolarThermal
Maximum generating volume (MWh) 3 . 97 × 10 4 7 . 5775 × 10 3 1 . 68 × 10 5
Optimal trading volume (MWh) 3 . 97 × 10 4 7 . 5775 × 10 3 1 . 207025 × 10 5
Optimal profit (Yuan) 3 . 3456 × 10 7 7 . 903 × 10 6 4 . 1459 × 10 7
Initial profit (Yuan) 3 . 0424 × 10 7 7 . 299 × 10 6 3 . 2186 × 10 6
Table 3. Simulation results in the intraday market in winter.
Table 3. Simulation results in the intraday market in winter.
Power PlantProfit in Intraday Market (Yuan)Total Profit (Yuan)Total Generating Volume (MWh)
Wind 2 . 277 × 10 5 3 . 32286 × 10 7 2 . 885 × 10 4
Solar 2 . 375 × 10 5 7 . 6654 × 10 6 6 . 0875 × 10 3
Thermal 1 . 364 × 10 5 4 . 1595 × 10 7 1 . 210125 × 10 5
Table 4. Simulation results in the day-ahead market in summer.
Table 4. Simulation results in the day-ahead market in summer.
Power PlantWindSolarThermal
Maximum generating volume (MWh) 2 . 85375 × 10 4 8 . 82 × 10 4 1 . 68 × 10 5
Optimal trading volume (MWh) 2 . 85375 × 10 4 8 . 82 × 10 4 1 . 306225 × 10 5
Optimal profit (Yuan) 2 . 4084 × 10 7 9 . 246 × 10 6 4 . 5047 × 10 7
Initial profit (Yuan) 2 . 1475 × 10 7 8 . 785 × 10 6 3 . 7843 × 10 7
Table 5. Total profit.
Table 5. Total profit.
Power PlantProfit in the Intraday Market (Yuan)Total Profit in Summer (Yuan)Total Profit in Winter (Yuan)
Wind 1 . 569 × 10 5 2 . 39275 × 10 7 3 . 32286 × 10 7
Solar 5 . 152 × 10 5 8 . 7304 × 10 6 7 . 6654 × 10 6
Thermal 3 . 214 × 10 5 4 . 53682 × 10 7 4 . 1595 × 10 7
Table 6. Running time with respect to different numbers of power plants.
Table 6. Running time with respect to different numbers of power plants.
Number of Power PlantsRunning Time of Proposed Algorithm (s)
34.3
461.7
5256.1
Table 7. Trading generating volume (MWh) and total profit (Yuan).
Table 7. Trading generating volume (MWh) and total profit (Yuan).
Power PlantCooperative Game in WinterNon-Cooperative Game in WinterCooperative Game in SummerNon-Cooperative Game in Summer
Wind 3 . 97 × 10 8 3 . 97 × 10 8 2 . 85375 × 10 8 2 . 85375 × 10 8
Solar 7 . 5775 × 10 7 7 . 5775 × 10 7 8 . 82 × 10 7 8 . 82 × 10 7
Thermal 1 . 207025 × 10 9 1 . 207025 × 10 9 1 . 306225 × 10 9 1 . 306225 × 10 9
Total profit 8 . 28177 × 10 7 8 . 2489 × 10 7 7 . 83768 × 10 7 7 . 80261 × 10 7

Share and Cite

MDPI and ACS Style

Yuan, T.; Ma, T.; Sun, Y.; Chen, N.; Gao, B. Game-Based Generation Scheduling Optimization for Power Plants Considering Long-Distance Consumption of Wind-Solar-Thermal Hybrid Systems. Energies 2017, 10, 1260. https://doi.org/10.3390/en10091260

AMA Style

Yuan T, Ma T, Sun Y, Chen N, Gao B. Game-Based Generation Scheduling Optimization for Power Plants Considering Long-Distance Consumption of Wind-Solar-Thermal Hybrid Systems. Energies. 2017; 10(9):1260. https://doi.org/10.3390/en10091260

Chicago/Turabian Style

Yuan, Tiejiang, Tingting Ma, Yiqian Sun, Ning Chen, and Bingtuan Gao. 2017. "Game-Based Generation Scheduling Optimization for Power Plants Considering Long-Distance Consumption of Wind-Solar-Thermal Hybrid Systems" Energies 10, no. 9: 1260. https://doi.org/10.3390/en10091260

APA Style

Yuan, T., Ma, T., Sun, Y., Chen, N., & Gao, B. (2017). Game-Based Generation Scheduling Optimization for Power Plants Considering Long-Distance Consumption of Wind-Solar-Thermal Hybrid Systems. Energies, 10(9), 1260. https://doi.org/10.3390/en10091260

Note that from the first issue of 2016, this journal uses article numbers instead of page numbers. See further details here.

Article Metrics

Back to TopTop